Теплопроводность монокристаллов твердого раствора Ca1-x-ySrxNdyF2+y
- Authors: Попов П.А.1, Щёлоков А.В.1, Зенцова А.И.1, Александров А.А.2,3, Чернова Е.В.2, Федоров П.П.2
-
Affiliations:
- Брянский государственный университет им. И.Г. Петровского
- Институт общей физики им. А.М. Прохорова Российской академии наук
- Институт общей и неорганической химии им. Н.С. Курнакова Российской академии наук
- Issue: Vol 60, No 5 (2024)
- Pages: 590–600
- Section: Articles
- URL: https://journal-vniispk.ru/0002-337X/article/view/279700
- DOI: https://doi.org/10.31857/S0002337X24050082
- EDN: https://elibrary.ru/MWPGBK
- ID: 279700
Cite item
Full Text
Abstract
Абсолютным стационарным методом продольного теплового потока в интервале температур 50–300 К измерена теплопроводность серии монокристаллов тройного твердого раствора Ca1-x-ySrxNdyF2+y с вариациями содержаний SrF2 и NdF3 в пределах 0–30 и 10–30 мол. % соответственно. Увеличение содержания второго и, особенно, третьего компонента твердого раствора сопровождается снижением коэффициента теплопроводности. Температурная зависимость теплопроводности всех исследованных образцов характерна для разупорядоченных материалов.
Full Text
ВВЕДЕНИЕ
Монокристаллы фторидов со структурой флюорита являются активными и пассивными материалами фотоники [1–12]. Потенциал однокомпонентных материалов в значительной мере исчерпан, что диктует переход к исследованию и разработке способов получения двух- и трехкомпонентных материалов [13–22]. Для получения монокристаллов высокой степени однородности и высокого оптического качества важны составы твердых растворов, отличающиеся конгруэнтным характером плавления, при котором коэффициенты распределения всех компонентов системы при кристаллизации равны единице [23–25]. В бинарных системах такими точками являются минимумы или максимумы на кривых плавления твердых растворов [24]. В тройных системах могут появляться также точки конгруэнтного плавления твердых растворов седловинного типа [25, 26]. Точки седловинного типа на поверхностях ликвидуса твердых растворов в тройных системах были предсказаны еще Гиббсом [27]. Несмотря на то что аналоги таких точек хорошо известны для равновесия жидкость–пар, экспериментально такие равновесия кристалл–расплав были выявлены только при изучении систем CaF2–SrF2–RF3, где R – редкоземельные элементы, в работах [28–31]. Система CaF2–SrF2–NdF3 является модельной. Фазовые равновесия в ней изучены методами термического и рентгенофазового анализа отожженных и закаленных образцов [27, 32]. В бинарных системах образуются твердые растворы флюоритовой структуры на основе CaF2 с содержанием до 44 мол.% NdF3., и на основе SrF2 с содержанием до 50 мол.% NdF3, причем на кривой плавления твердого раствора имеется максимум на составе Sr0.75Nd0.25F2.25. В тройной системе образуется пояс твердого раствора Ca1-x-ySrxNdyF2+y. На поверхностях ликвидуса и солидуса имеет место седловинная точка с координатами 58 мол. % CaF2–21 мол.% SrF2–21 мол.% NdF3, 1400 °C. Исследованы особенности кристаллизации расплава в окрестности этой седловинной точки [33]. Теплопроводность монокристаллов Ca1-x-ySrxNdyF2+y ранее не изучалась.
Кристаллы с высоким содержанием неодима представляют интерес как твердые электролиты с фтор-ионной проводимостью [34–36] и оптические фильтры в интервале длин волн 2.3–2.7 мкм.
Теплопроводность является одной из основных технологических характеристик материалов. Имеется большой объем экспериментальных данных по теплопроводности оптических материалов со структурой флюорита [37]. Выяснено, что образование гетеровалентных твердых растворов приводит к резкому падению теплопроводности. Причем происходит изменение температурной зависимости от характерной для монокристаллов до типичной монотонно возрастающей с температурой, присущей аморфным материалам.
Для описания температурных зависимостей теплопроводности в работах [38, 39] было предложено использование двучленной зависимости, включающей суммирование вклада от кристаллической матрицы и “аморфной составляющей” твердого раствора. Поскольку такое представление нарушает принцип Матиссена [40, 41], нами была предложена модификация этого подхода с суммированием не теплопроводностей, а обратных величин – термических сопротивлений. В рамках модели получено полное количественное описание экспериментальных данных для твердых растворов Ca1-xYbxF2+x [42] и Ca1-xYxF2+x [43]. Интерес представляет проверка возможности применения этой модели для тройных твердых растворов.
Целью данной работы является исследование влияния изо- и гетеровалентного катионного замещения в кристаллах твердого раствора Ca1-x-ySrxNdyF2+y на их теплопроводность в интервале температур от субазотной до комнатной, а также проверка возможности количественного аналитического описания температурных зависимостей теплопроводности в тройных системах с изо- и гетероваленым изоморфизмом.
ЭКСПЕРИМЕНТАЛЬНАЯ ЧАСТЬ
Монокристаллы твердого раствора выращены методом вертикальной направленной кристаллизации (метод Стокбаргера) в графитовых тиглях во фторирующей атмосфере (рис. 1).
Рис. 1. Фотография монокристаллов твердого раствора Ca1-x-ySrxNdyF2+y.
Теплопроводность в интервале температур измерялась абсолютным стационарным методом продольного теплового потока. Аппаратура и методика измерений описаны в [37, 44]. Образцы представляли собой цилиндры диаметром 11 и длиной 20 мм. Погрешность определения коэффициента теплопроводности была в пределах ± 5%.
Рентгенофазовый анализ проводился на дифрактометре BrukerD8 Advance, излучение CuKα (рис.2). Спектр пропускания монокристалла снимался на спектрометре Carry-5000 (рис. 3).
Рис. 2. Рентгенограмма перетертого монокристалла состава Ca0.7Sr0.2Nd0.1F2.1. (параметр решетки a = 5.612(1) Å).
Рис. 3. Спектр пропускания монокристалла Ca0.6Sr0.2Nd0.2F2.2 (толщина образца 15 мм)
РЕЗУЛЬТАТЫ И ОБСУЖДЕНИЕ
Результаты измерений теплопроводности представлены в виде графиков ее температурной зависимости k(T) на рис. 4 (содержание компонент в мол. %, маркерами обозначены экспериментльные точки k(T), сплошные линии представляют собой результат аппроксимации с применением приведенной далее формулы (1). Численные значения теплопроводности для нескольких температур приведены в табл. 1.
Рис. 4. Температурные зависимости теплопроводности монокристаллов твердого раствора системы CaF2–SrF2–NdF3 (кривые – результат численной аппроксимации).
Таблица 1. Коэффициент теплопроводности, монокристаллов твердого раствора Ca1-x-ySrxNdyF2+y для различных температур
CaF2, SrF2, NdF3, мол.% | k, Вт/(м·К) | |||||
50К | 100К | 150К | 200К | 250К | 300К | |
76–24.5–0.5 | 6.16 | 3.54 | 2.82 | 2.56 | 2.40 | 2.30 |
70–29.5–0.5 | 6.18 | 3.39 | 2.69 | 2.40 | 2.24 | 2.16 |
55–44.5–0.5 | 5.34 | 2.96 | 2.35 | 2.09 | 1.96 | 1.89 |
70–20–10 | 2.28 | 2.25 | 2.27 | 2.34 | 2.41 | 2.46 |
80–00–20 | 1.94 | 1.68 | 1.70 | 1.75 | 1.80 | 1.85 |
70–10–20 | 1.39 | 1.52 | 1.56 | 1.56 | 1.59 | 1.63 |
60–20–20 | 1.28 | 1.39 | 1.44 | 1.48 | 1.51 | 1.54 |
50–30–20 | 1.17 | 1.31 | 1.38 | 1.42 | 1.46 | 1.47 |
50–20–30 | 0.97 | 1.14 | 1.22 | 1.27 | 1.30 | 1.35 |
Из представленных данных видно, что при малой концентрации иона активатора – неодима, подходящей для создания активных лазерных сред, температурная зависимость коэффициента теплопроводности k(T) носит убывающий характер. Теплопроводность уменьшается с повышением температуры. Это соответствует типичному поведению кристаллических материалов [45]. При этом с увеличением содержания фторида стронция в матрице Ca1-xSrxF2 теплопроводность падает.
Совершенно иная картина наблюдается для кристаллов с содержанием 10–30 мол.% NdF3. Для этих кристаллов коэффициент теплопроводности слабо зависит от температуры в исследованном интервале 50–300 К. С учетом погрешности эксперимента можно считать, что теплопроводность для состава 70CaF2–20SrF2–10NdF3 не зависит от температуры и составляет k = 2.34 ± 0.12 Вт/(м К). Такое поведение не характерно ни для кристаллов, ни для стекол, однако появляется у кристаллических материалов со значительной степенью структурной разупорядоченности. В частности, слабая температурная зависимость теплопроводности отмечена, например, для состава Ca0.65Sr0.30Yb0.05F2.05, отвечающего седловинной точке в системе CaF2–SrF2–YbF3 [37], а также Ca1-xRxF2+x, R =La, Ce, Pr, x ≥ 0.05 [45].
Выявленные слабые температурные зависимости k(T) характерны для материалов со значительной степенью структурной разупорядоченности. Теплопроводность четырех образцов трехкомпонентных твердых растворов Ca1-x-ySrxNdyF2+y при Т=300 К ниже величины 1.7 Вт/(м К), что близко к теплопроводности кварцевого стекла (1.4 Вт/(м К)).
Полученные результаты можно объяснить с учетом наличия в данных материалах центров фонон-дефектного рассеяния, возникших вследствие комбинации изо- и гетеровалентного катионного замещения. Теплопроводность неограниченного изовалентного твердого раствора Ca1-xSrxF2 подробно исследована в [13]. Влияние крупных кластеров дефектов, образующихся при внесении в состав фторидных кристаллов с флюоритовой структурой трехвалентных редкоземельных элементов, на теплопроводность детально исследовано для ряда твердых растворов (см., например, [37, 47, 48]).
На рис. 4 можно проследить следующие закономерности. Видно, что теплопроводность снижается в ряду образцов с составами 80–00–20, 70–10–20, 60–20–20, 50–30–20 при увеличении доли стронция за счет соответствующего снижения доли кальция. Для двух крайних температур (Т=50 и 300 К) этот эффект представлен на рис. 5 в виде концентрационных зависимостей теплопроводности k(x). Видно, что эти зависимости слабые, но четко выраженные монотонно убывающие. Напомним, что в случае изовалентного твердого раствора Ca1-xSrxF2 в области содержания второго компонента от 0 до 30 мол. % наблюдается убывающая концентрационная зависимость теплопроводности [13].
Рис. 5. Зависимости теплопроводности твердого раствора Ca0.8-x-ySrxNd0.2F2.2 от содержания дифторида стронция.
Низкая абсолютная величина теплопроводности кристаллов данного твердого раствора и особый характер ее температурной зависимости соответствуют значительной разупорядоченности их структуры (при сохранении дальнего порядка) и свидетельствуют об интенсивном фонон-дефектном рассеянии на кластерах дефектов [37, 49]. Кластерное строение этого твердого раствора не уточнено. Кластеры типа R6F36–7 с к.ч. 8–9 характерны для твердых растворов трифторидов РЗЭ иттриевой подгруппы во флюоритовых матрицах [50, 51]. Для цериевой подгруппы предполагается наличие других кластеров с большим координационным числом катионов [51–59]. Сложность интерпретации объясняется отсутствием упорядоченных флюоритоподобных фаз в системах со фторидами цериевой подгруппы (в отличие от иттриевой), кристаллическое строение которых могло бы прояснить ситуацию с кластерами. Литературные данные свидетельствуют о том, что в структуре твердых растворов Ca1-x-ySrxNdyF2+y наиболее вероятно образование тетраэдрических кластеров типа Sr4-nNdnF26 [51, 57–59].
Высокая степень беспорядка в кристаллических фазах проявляется в ряде аномальных свойств. В частности, стеклоподобное поведение теплопроводности гетеровалентных твердых растворов с переменным числом ионов в элементарной ячейке обычно коррелирует с высокой ионной проводимостью [60, 61], что и подтверждает сравнение результатов данного исследования теплопроводности с измерением ионной проводимости [35].
АППРОКСИМАЦИЯ
Аппроксимация экспериментальных значений k(T) проведена нами следующим образом. На основе идей авторов [38, 39] в работе [42] мы предложили сравнительно простое формульное выражение для описания удельного теплового сопротивления w = 1/k гетеровалентных твердых растворов в виде
(1)
Здесь A – вклад теплового сопротивления, связанный с внесением трехвалентных редкоземельных ионов и образованием кластеров дефектов; β – параметр, зависящий от вида редкоземельного допанта; k0 – коэффициент теплопроводности нелегированного кристалла; d – концентрация редкоземельного допанта; D, В и С – коэффициенты полинома, описывающего “аморфную составляющую” коэффициента теплопроводности. Выражение “аморфная составляющая” относится только к виду температурной зависимости теплопроводности и не имеет отношения к реальной структуре кристаллов.
В качестве коэффициента k0 в настоящей работе мы использовали выражение вида
, (2)
являющееся аппроксимирующим для значений k(T), определенных для кристаллов Ca1-xSrxF2. Для использования формулы (1) необходимо установить соответствие между составом исследованного кристалла и матрицы Ca1-xSrxF2, не содержащей фторид неодима (см. табл. 2). Значения k(T) конкретных составов кристаллов Ca1-xSrxF2 мы нашли методом интерполяции из большого массива экспериментальных данных [13] по теплопроводности этого твердого раствора.
Таблица 2. Соответствие содержания компонентов исследованных кристаллов и их “матриц” (мол.% CaF2, SrF2, NdF3)
Кристалл Ca1-x-ySrxNdyF2+у | Матрица Ca1-xSrxF2 |
75–24.5–0.5 | 75.38–24.62 |
70–29.5–0.5 | 70.35–29.65 |
55–44.5–0.5 | 55.28–44.72 |
70–20–10 | 77.8–22.2 |
80–00–20 | 100–0 |
70–10–20 | 87.5–12.5 |
60–20–20 | 75–25 |
50–30–20 | 62.5–37.5 |
50–20–30 | 71.4–28.6 |
В табл. 3 приведены значения всех подгоночных параметров, входящих в выражении (1) и (2). Кривые на рис.4 демонстрируют хорошее соответствие экспериментальных данных и проведенной численной аппроксимации.
Таблица 3. Значения подгоночных параметров в уравнениях (1) и (2)
CaF2, SrF2, NdF3, мол.% | a1 | a2 | a3 | A | C | B | D | β |
75–24.5–0.5 | 2.85 | 273.7 | 70.79 | 0.15 | 1.336×10–5 | –6.186×10–3 | 1.401 | 0.4 |
70–29.5–0.5 | 2.58 | 283.9 | 65.28 | 0.15 | 1.504×10–5 | –6.895×10–3 | 1.426 | |
55–44.5–0.5 | 2.263 | 270.4 | 61.98 | 0.15 | 1.322×10–5 | –6.088×10–3 | 1.235 | |
70–20–10 | 2.97 | 267.5 | 73.5 | 0.6 | –1.128×10–7 | 3.487×10–3 | 1.357 | |
80–00–20 | 3.386 | 1499 | 104.7 | 0.75 | 6.559×10–6 | –1.426×10–3 | 1.511 | |
70–10–20 | 3.705 | 285.1 | 85.0 | 0.75 | –3.913×10–6 | 2.538×10–3 | 1.088 | |
60–20–20 | 2.81 | 275.7 | 70.0 | 0.75 | –3.925×10–6 | 2.752×10–3 | 0.969 | |
50–30–20 | 2.387 | 270.5 | 63.23 | 0.75 | –5.766×10–6 | 3.572×10–3 | 0.835 | |
50–20–30 | 2.635 | 287 | 65.43 | 0.8 | –5.575×10–6 | 3.433×10–3 | 0.764 |
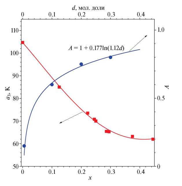
Можно отметить четкую корреляцию значений параметра А и содержания трехвалентных ионов неодима (рис. 6), что отражает увеличение “аморфного вклада” в тепловое сопротивление исследованных кристаллов. Как и в случае двойных твердых растворов Ca1-xYbxF2+x и Ca1-xYxF2+x [42, 43], для составов Ca1-x-ySrxNdyF2+y зависимость A(y) можно аппроксимировать логарифмическим выражением с постоянной составляющей (параметр d в выражении (2) равен значению y в составе Ca1-x-ySrxNdyF2).
Параметр a3, в значительной степени определяющий крутизну температурной зависимости теплопроводности малодефектных кристаллов [45], убывает в ряду “матриц” Ca1-xSrxF2 с увеличением х (рис. 6). Значения параметров a2 и a1 для кристаллов Ca1-xSrxF2 (х≠0) варьировались в узких пределах и составляли a2 = 277 ± 10 Вт/м и a1 = = 2.7 ± 0.4 Вт/(м К). Каких-либо четких корреляций для параметров B, С и D обнаружить не удается. В грубом приближении убывающий с ростом содержания Nd характер параметров С и D и возрастающий параметра B, по-видимому, нарушается вследствие влияния различного содержания Sr.
Рис. 6. Зависимости параметра А от содержания NdF3 в кристаллах Ca1–x–ySrxNdyF2+y и параметра a3 от содержания Sr в «матрицах» Ca1–xSrxF2.
Как видно на рис. 4, полученные интерполяционные кривые имеют небольшие отклонения от экспериментальных точек k(T).
Можно заключить, что предложенная в [42] расчетная модель в определенном приближении верно описывает температурное поведение коэффициента теплопроводности твердого раствора фторидов с комбинацией изо- и гетеровалентного ионного замещения. С другой стороны, очевидно, что она требует совершенствования с учетом особенностей различных механизмов фононного рассеяния.
ЗАКЛЮЧЕНИЕ
Измеренные величины теплопроводности показывают, что по этому параметру монокристаллы данного семейства не оптимальны для использования в лазерной технике. Однако исследованные материалы можно отнести к классу термических изоляторов, и они представляют интерес для создания низкотемпературных термобарьерных покрытий. Проведенная апробация расчетной математической модели выявила ее способность к аппроксимации экспериментальных данных по температурной зависимости теплопроводности тройных твердых растворов типа M1-x-yM’xRyF2+y (M, M’ – щелочноземельные, R – редкоземельные металлы) с флюоритовой структурой.
БЛАГОДАРНОСТЬ
Авторы благодарят В.А. Стасюка за выращивание кристаллов.
Работа выполнена с использованием оборудования ЦКП Брянского госуниверситета им. акад. И.Г. Петровского и Института общей физики им. А.М. Прохорова РАН.
КОНФЛИКТ ИНТЕРЕСОВ
Авторы заявляют, что у них нет конфликта интересов.
About the authors
П. А. Попов
Брянский государственный университет им. И.Г. Петровского
Email: ppfedorov@yandex.ru
Russian Federation, 241036 Брянск, ул. Бежицкая, 14
А. В. Щёлоков
Брянский государственный университет им. И.Г. Петровского
Email: ppfedorov@yandex.ru
Russian Federation, 241036 Брянск, ул. Бежицкая, 14
А. И. Зенцова
Брянский государственный университет им. И.Г. Петровского
Email: ppfedorov@yandex.ru
Russian Federation, 241036 Брянск, ул. Бежицкая, 14
А. А. Александров
Институт общей физики им. А.М. Прохорова Российской академии наук; Институт общей и неорганической химии им. Н.С. Курнакова Российской академии наук
Email: ppfedorov@yandex.ru
Russian Federation, 119991 Москва, ул. Вавилова, 38; 119991 Москва, Ленинский пр., 31
Е. В. Чернова
Институт общей физики им. А.М. Прохорова Российской академии наук
Email: ppfedorov@yandex.ru
Russian Federation, 119991 Москва, ул. Вавилова, 38
П. П. Федоров
Институт общей физики им. А.М. Прохорова Российской академии наук
Author for correspondence.
Email: ppfedorov@yandex.ru
Russian Federation, 119991 Москва, ул. Вавилова, 38
References
- Юшкин Н.П. Оптический флюорит. М.: Наука, 1983.
- Зверев В.А., Кривопустова Е.В., Точилина Т.В. Оптические материалы. Ч. 2. С.-Петербург: ИТМО, 2013. 248 с.
- Родный П.А. Электронно-дырочные и экситонные процессы в кристаллах CaF2, SrF2 и BaF2 // Физика твердого тела. 2024. Т. 66. № 2. С. 161–178. https://doi.org/0.61011/FTT.2024.02.57239.215
- Kaminskii A.A. Laser Crystals. Their Physics and Properties. Berlin: Springer, 1990.
- Шаронов М.Ю., Братусь А.Л., Севастьянов Б.К., Жмурова З.И., Быстрова А.А., Кривандина Е.А., Демьянец Л.Н., Соболев Б.П. Исследование люминесценции, поглощения из возбужденного состояния в нестехиометрических кристаллах со структурой флюорита // Кристаллография. 1993. Т. 38. № 6. С.184–193.
- Orlovskii Y.V., Basiev T.T., Osiko V.V., Gross H., Heber J. Fluorescence Line narrowing (FLN) and Site-Selective Fluorescence Decay of Nd3+ Centers in CaF2 // J. Lumin. 1999. V. 82. P. 251–258.
- Alimov O.K., Basiev T.T., Doroshenko M.E., Fedorov P.P., Konyuskin V.A., Nakladov A.N., Osiko V.V. Investigation of Nd3+ Ions Spectroscopic and Laser Properties in SrF2 Fluoride Single Crystal // Opt. Mater. 2012. V. 34. № 5. P. 799–802. https://doi.org/10.1016/j.optmat.2011.11.010
- Basiev T.T., Doroshenko M.E., Konyushkin V.A., Osiko V.V. SrF2:Nd3+ Laser Fluoride Ceramics // Opt. Lett. 2010. V. 35. № 23. P. 4009–4011. https://doi.org/10.1364/OL.35.004009
- Гришуткина Т.Е., Дорошенко М.Е., Карасик А.Я., Конюшкин В.А., Конюшкин Д.В., Накладов А.Н., Осико В.В, Цветков В.Б. Фторидные планарные волноводы для усилителей и лазеров // Квантовая электроника. 2015. Т. 8. С. 717–719.
- Moncorge R., Braud A., Camy P., Doualan J.L. Fluoride Laser Crystals. // Handbook on Solid-State Lasers: Materials, Systems and Applications/ Ed. Denker B., Shklovsky E. Woodhead Publishing Series in Electronic and Optical Materials. 2013. Р. 82–109.
- Sobolev B.P. The Rare Earth Trifluorides. Part 2. Introduction to Materials Science of Multicomponent Metal Fluoride Crystals. Barcelona: Institut d`Estudis Catalans, 2001. 459 p.
- Осико В., Щербаков И. Твердотельные лазеры. Часть 2 // Фотоника. 2013. Т. 4. № 40. С. 24–45.
- Попов П. А., Моисеев Н. В., Каримов Д. Н., Сорокин Н.И., Сульянова Е.А., Соболев Б. П., Конюшкин В.А., Федоров П.П. Теплофизические характеристики кристаллов твердого раствора Ca1-xSrxF2 (0 £ x £ 1) // Кристаллография. 2015. Т. 60. № 1. С. 116–122.
- Takahashi K, Cadatal-Raduban M., Sarukura N., Kawamata T., Sugiyama K., Fukuda T. Crystal Growth and Characterization of Large Ca0.582Sr0.418F2 Single Crystal by Czochralski Method Using Cone Die // J. Cryst. Growth. 2024. V. 628. Р. 127541.
- Ушаков С.Н., Усламина М.А., Нищев К.Н., Мишкин В.П., Царев В.С., Судьин А.В., Юдина Я.А. Параметры джадда-офельта и спектроскопические характеристики ионов Er3+ в кристаллах CaF2 и твердом растворе CaF2-SrF2 // Оптика и спектроскопия конденсированных сред. Матер. XXVII междунар. конф. Краснодар. 2021. С. 156–160.
- Попов П.А., Круговых А.А., Конюшкин В.А., Накладов А.Н., Ушаков С.Н., Усламина М.А., Нищев К.Н., Кузнецов С.В., Федоров П.П. Теплопроводность монокристаллов твердых растворов системы CaF2–SrF2–BaF2–YbF3 // Неорган. материалы. 2023. Т. 59. № 5. С. 529–533. https://doi.org/10.31857/S0002337X23050135
- Басиев Т.Т., Васильев С.В., Дорошенко М.Е., Конюшкин В.А., Кузнецов С.В., Осико В.В., Федоров П.П. Эффективная генерация кристаллов твердых растворов CaF2-SrF2:Yb3+ при диодной лазерной накачке // Квантовая электроника. 2007. Т. 37. № 10. С. 934–937.
- Karimov D.N., Buchinskaya I.I., Ivanova A.G., Il’ina O.N., Ivanovskaya N.A., Sorokin N.I., Sobolev B.P., Glushkova T.M., Ksenofontov D.A. Growth of Fluorite Solid Solution Crystals in the Ternary SrF2-BaF2-LaF3 System and Investigation of their Properties // Cryst. Rep. 2018. V. 63. P. 1015–1021.
- Chunhui Zhu, Bingchu Mei, Jinghong Song, Weiwei Li, Zuodong Liu. Fabrication and Optical Characterizations of CaF2–SrF2–NdF3 Transparent Ceramic // Mater. Lett. 2015. V. 167. № 10. P. 115–117. https://doi.org/10.1016/j.matlet.2015.12.083
- Hongran Ling, Bingchu Mei,Weiwei Li, Yu Yang, Yongqiang Zhang, Xinwen Liu. Synthesis and Optical Characterizations of Yb3+:CaxSr1-xF2 Transparent Ceramics // Crystals. 2021. V. 11. № 6. P. 652. https://doi.org/10.3390/cryst11060652
- Basyrova L., Loiko P., Benayad A., Brasse G., Doualan J.-L., Braud A., Hideur A., Camy P. Growth and Mid-Infrared Emission Properties of “Mixed” Fluorite-Type Er:(Ca,Sr)F2 and Er:(Ba,Sr)F2 Crystals // EPJ Web of Conferences. 2022. V. 266. Р.06001. https://doi.org/10.1051/epjconf/202226606001
- Normani S., Loiko P., Basyrova L., Benayad A., Braud A., Dunina E., Fomicheva L., Kornienko A., Hideur A., Camy P. Mid-Infrared Emission Properties of Erbium-Doped Fluorite-Type Crystals // Opt. Mater. Express. 2023. V. 13. № 7. P. 1836–1850.
- Fratello V.J., Boatner L.A., Dabkowska H.A., Dabkowski A., Siegrist Th., Wei K., Guguschev Ch., Klimm D., Brützam M., Schlom D.G., Subramanian Sh. Solid Solution Perovskite Substrate Materials with Indifferent Points // J. Cryst. Growth. 2024. V. 634. Р. 127606. https://doi.org/10.1016/j.jcrysgro.2024.127606
- Kuznetsov S.V., Fedorov P.P. Morphological Stability of Solid-Liquid Interface During Melt Crystallization of Solid Solutions M1-xRxF2+x // Inorg. Mater. 2008. V. 44. № 13 (Supplement). P. 1434–1458. https://doi.org/10.1134/S0020168508130037
- Федоров П.П., Бучинская И.И. Проблемы пространственной однородности кристаллических материалов и точки конгруэнтного плавления седловинного типа в тройных системах // Успехи химии. 2012. Т. 81. № 1. С. 1–20.
- Стасюк В.А. Изучение седловинных точек на поверхностях ликвидуса и солидуса в тройных системах с трифторидами редкоземельных элементов: Дис. … канд. хим. наук. М.: МИТХТ им. М.В.Ломоносова, 1998.
- Гиббс Д.У. Термодинамика. Статистическая механика. М.: Наука, 1982.
- Fedorov P.P. Сompositions of Congruently Melting Three-Component Solid Solutions Determined by Finding Acnodes on Ternary System Fusion Surfaces // Growth of Crystals. V.20/ Ed. Givargizov E.I, Melnicova A.M. N.Y., L.: Consultants Bureau, 1996. P. 103–116.
- Федоров П.П., Бучинская И.И., Стасюк В.А., Бондарева О.С. Седловинные точки на поверхности ликвидуса твердых растворов в системах PbF2-CdF2-RF3 (R – редкоземельные элементы) // Журн. неорган. химии. 1996. Т. 41. № 3. С.464–468.
- Стасюк В.А., Бучинская И.И., Устьянцева Н.А., Федоров П.П., Арбенина В.В. Изучение поверхностей ликвидуса и солидуса твердых растворов со структурой флюорита в системе CaF2-SrF2-LaF3 // Журн. неорган. химии. 1998. Т. 43. № 8. С.1372–1375.
- Федоров П.П., Ивановская Н.И., Стасюк В.А., Бучинская И.И., Соболев Б.П. Изучение фазовых равновесий в системе SrF2 -ВaF2-LaF3 // Докл. РАН. 1999. Т. 366. № 4. С. 500–502.
- Стасюк В.А., Бучинская И.И., Устьянцева Н.А., Федоров П.П. Фазовая диаграмма системы CaF2-SrF2-NdF3 // Журн. неорган. химии. 1998. Т. 43. № 5. С. 844–848.
- Федоров П.П., Стасюк В.А., Ивановская Н.А., Бучинская И.И., Исаев С.В., Папашвили А.Г. Кристаллизация твердого раствора флюоритовой структуры в системе СaF2 - SrF2 - NdF3 в окрестности седловинной точки на поверхности ликвидуса // Докл. РАН. 1999. Т. 369. № 2. С. 217–219.
- Trnovcová V., Fedorov P.P., Furár I. Fluoride Solid Electrolytes // Russ. J. Electrochem. 2009. V. 45. № 6. P. 630–639.
- Сорокин Н.И., Каримов Д.Н., Кривандина Е.А., Жмурова З.И., Комарькова О.Н. Ионная проводимость конгруэнтно плавящихся монокристаллов Ca0.6Sr0.4F2 и Ca1-x-ySryRxF2+x (R = La, Ce, Pr, Nd) со структурой флюорита // Кристаллография. 2008. Т. 53. № 2. С. 297–303.
- Ming Zhang, Xiaocao Cao, Yaowei Hao, Haodong Wang, Jian Pu, Bo Chi, Zhongrong Shen. Recent Progress, Challenges and Prospects of Electrolytes for Fluoride-ion Batteries // Energy Rev. 2024. Р. 100083. https://doi.org/10.1016/j.enrev.2024.100083
- Попов П.А., Федоров П.П. Теплопроводность фторидных оптических материалов. Брянск: группа компаний “Десяточка”, 2012. 210 с. ISBN 978–5-91877–093–1
- Liu K., Bian G., Zhang Z., Ma F., Su L. Modelling and Analyzing the Glass-Like Heat Transfer Behavior of Rare-Earth Doped Alkaline Earth Fluoridecrystals // CrystEngComm. 2022. V. 24. P. 6468.
- Liu K., Bian G., Zhang Z., Ma F., Su L. Simulation and Demonstration of Glass-Like Heat Transfer Equations in Rare-Earth Doped Alkaline Earth Fluoride Crystals // Chin. J. Phys. 2024. V. 88. P. 584–593.
- Matthiessen A., Vogt C. On the Influence of Temperature on the Electric Conducting-Power of Alloys // Phil. Trans. Royal Soc. London. 1864. V. 154. P. 167–200.
- Lifshits I.M. Electron Theory of Metals. N.Y.: Springer, 1973.
- Popov P.A., Shchelokov A.V., Fedorov P.P. Numerical Model of Temperature-Dependent Thermal Conductivity in M1-xRxF2+x Heterovalent Solid Solution Nanocomposites, where M Stands for Alkaline-Earth Metals and R for Rare-Earth Metals // Nanosyst.: Phys., Chem., Math. 2024. V. 15. № 2. P. 255–259. https://doi.org/10.17586/2220-8054-2024-15-2-255-259
- Popov P.A., Shchelokov A.V., Konyushkin V.A., Nakladov A.N., Fedorov P.P. Application of the Numerical Model of Temperature-Dependent Thermal Conductivity in Ca1-xYxF2+x Heterovalent Solid Solution Nanocomposites Metals // Nanosyst.: Phys., Chem., Math. 2024. V. 15 (в печати)
- Popov P.A., Sidorov А.А., Kul’chenkov Е.А., Аnishchenko А.М., Аvetisov I.Sh., Sorokin N.I., Fedorov P.P. Thermal Conductivity and Expansion of PbF2 Single Crystal // Ionics. 2017. V. 23. № 1. P. 233–239. https://doi.org/101007/s11581-016-1802-2
- Берман Р. Теплопроводность твердых тел. М.: Мир, 1979. 286 с.
- Попов П.А., Федоров П.П., Конюшкин В.А. Теплопроводность гетеровалентных твердых растворов Ca1-xRxF2+x (R = La, Ce, Pr) // Кристаллография. 2015. Т. 60. № 5. С. 810–815.
- Попов П.А., Федоров П.П., Кузнецов С.В., Конюшкин В.А., Осико В.В., Басиев Т.Т. Теплопроводность монокристаллов твердого раствора Ca1-xYbxF2+x // Докл. РАН. 2008. Т. 419. № 5. С. 615–617.
- Попов П.А., Федоров П.П., Конюшкин В.А., Накладов А.Н., Басиев Т.Т. Переход от кристаллического к стеклообразному характеру температурной зависимости теплопроводности в твердом растворе Sr0.16Ba0.54La0.30F2.30 // Неорган. материалы. 2010. Т. 46. № 5. С. 621–625.
- Sobolev B.P, Golubev A.M., Herrero P. Fluorite M1-xRxF2+x Phases (M = Ca, Sr, Ba; R = Rare Earth Elements) as Nanostructured Materials // Crystallogr. Rep. 2003. V. 48. P. 141–161. https://doi.org/10.1134/1.1541755
- Greis O., Haschke J.M. Rare Earth Fluorides. In Handbook on the Physics and Chemistry of Rare Earths/ Eds. Gscheidner K.A., Eyring L.R. Netherlands: Elsevier, 1982. V. 5. P. 387−460.
- Fedorov P.P. Association of Point Defects in Non Stoichiometric M1-xRxF2+x Fluorite-Type Solid Solutions // Bull. Soc. Cat. Cien. 1991. V. 12. № 2. P. 349–381.
- Andeen C.G., Fontanella J.J., Wintersgill M.C., Welcher P.J., Kimble R.J., Matthews G.E. Clustering in Rare-Earth-Doped Alkaline Earth Fluorides // J. Phys. C.: Solid State Phys. 1981. V. 14. № 24. P. 3557–3574.
- Meuldijk J., Mulder H. H., Hartog den H. W. Depolarization Experiments on Space Charges in Concentrated Solid Solutions of NdF3 in SrF2 // Phys. Rev. B: Condens. Matter. 1982. V. 25. № 8. P. 5204–5213. https://doi.org/10.1103/PhysRevB.25.5204
- Мурадян Л.А., Максимов Б.А., Мамин Б.Ф., Быданов Н.Н., Сарин В.А., Соболев Б.П., Симонов В.И. Атомное строение нестехиометрической фазы Sr0.69La0.31F2.31 // Кристаллография. 1986. Т. 31. № 2. С. 248–251.
- Sulyanova E.A., Karimov D.N., Sobolev B.P. Displacements in the Cationic Motif of Nonstoichiometric Fluorite Phases Ba1-xRxF2+x as a Result of the Formation of {Ba8[R6F68–69]} Clusters: III. Defect Cluster Structure of the Nonstoichiometric Phase Ba0.69La0.31F2.29 and Its Dependence on Heat Treatment // Crystals. 2021. V. 11. № 4. P. 447. https://doi.org/10.3390/cryst11040447
- Sulyanova E.A., Sobolev B.P. The Universal Defect Cluster Architecture of Fluorite-Type Nanostructured Crystals // CrystEngComm. 2022. V. 24. P. 3762−3769.
- Sulyanova E.A., Sobolev B.P. Application of KR3F10 (R = Gd−Lu and Y) Polymorphism for Modeling the Defect Structure of Nonstoichiometric Multicomponent Fluorite-type Crystals in T-x Systems // J. Phys. Chem. C. 2024. V. 128. P. 4200–4207. https://doi.org/10.1021/acs.jpcc.3c08137
- Сульянова Е.А., Болотина Н.Б., Каримов Д.Н., Верин И.А., Соболев Б.П. Наноструктурированные кристаллы флюоритовых фаз Sr1–xRxF2+x (R – редкоземельные элементы) и их упорядочение. 14. Концентрационная зависимость дефектной структуры нестехиометрической фазы Sr1–xNdxF2+x “as grown” (x = 0.10, 0.25, 0.40, 0.50) // Кристаллография. 2019. Т. 64. № 2. С. 196–202. https://doi.org/10.1134/S0023476119020310
- Сульянова Е.А., Болотина Н.Б., Калуканов А.И., Сорокин Н.И., Каримов Д.Н., Верин И.А., Соболев Б.П. Наноструктурированные кристаллы флюоритовых фаз Sr1–xRxF2+x (R – редкоземельные элементы) и их упорядочение. 13. Кристаллическая структура SrF2 и концентрационная зависимость дефектной структуры нестехиометрической фазы Sr1-xLaxF2+x “as grown” (x = 0.11, 0.20, 0.32, 0.37, 0.47) // Кристаллография. 2019. Т. 64. № 1. С.47–56. https://doi.org/10.1134/S0023476119010284
- Федоров П.П., Попов П.А. Принцип эквивалентности источников беспорядка и теплопроводность твердых тел // Наносистемы: физика, химия, математика. 2013. T. 4. № 1. C. 148–159.
- Федоров П.П., Сорокин Н.И., Попов П.А. Обратная корреляция ионной проводимости и теплопроводности монокристаллов твердых растворов М1-xRxF2+x (М = = Сa, Ba; R – редкоземельные элементы) флюоритовой структуры // Неорган. материалы. 2017. Т. 53. № 6. С. 626–632. https://doi.org/10.7868/S0002337X17060033
Supplementary files








