Interval observers for hybrid continuous-time stationary systems
- Authors: Zhirabok A.N.1,2, Zuev A.V.2, Shumsky A.E.1
-
Affiliations:
- Far Eastern Federal University
- Institute of Marine Technology Problems
- Issue: No 2 (2024)
- Pages: 130-142
- Section: SYSTEM ANALYSIS AND OPERATIONS RESEARCH
- URL: https://journal-vniispk.ru/0002-3388/article/view/264495
- DOI: https://doi.org/10.31857/S0002338824020116
- EDN: https://elibrary.ru/VOETJU
- ID: 264495
Cite item
Full Text
Abstract
The problem of interval observer design for hybrid continuous-time stationary systems under external disturbances and measurement noise is studied. It is assumed that continuous-time dynamic of such systems is described by linear or nonlinear differential state equations with linear function of output. System parameters depend on system states and are switched based on the control system with finite set of states. The relations allowing designing hybrid interval observer of minimal dimension estimating the set of admissible values of the prescribed linear vector function of the system states are derived. To solve the problem, algebra of partitions and linear algebra are used. Theoretical results are illustrated by example.
Full Text
Введение. Настоящая статья является распространением результатов работы [1], в которой рассматривалась задача построения интервальных наблюдателей для систем, описываемых линейными моделями с непрерывным временем, на гибридные системы (ГС). Гибридные системы представляют собой специальный класс динамических систем, особенность которых состоит в том, что они сочетают конечно-автоматную динамику с непрерывной динамикой. Изучение ГС мотивировано фундаментальной гибридной структурой многих современных систем.
Предполагается, что непрерывная динамика зависит от параметров, значения которых определяются выходами конечного автомата (КА). Когда состояние динамической системы достигает определенной области, происходит переключение КА и соответственно изменение параметров. Такой тип ГС был рассмотрен в общем виде в [2–4] и в контексте задачи диагностирования в [5, 6]. Существует много способов описания ГС и правил переключения, включая зависимые от состояния и от времени. Наш выбор обусловлен двумя причинами. Во-первых, предлагаемое описание является достаточно общим и включает в себя другие, зависимые от состояния переключения. Во-вторых, реальные сложные системы имеют две части: управляющую с конечным числом состояний и операционную с непрерывной динамикой; предлагаемая модель хорошо подходит для описания таких систем.
Задача построения интервальных наблюдателей, которые в каждый момент времени вырабатывают гарантированную оценку множества допустимых значений вектора состояния для различных классов динамических систем с неопределенностями, активно исследуется последние годы, обстоятельные обзоры полученных за это время результатов содержатся в [7, 8], решения для различных классов систем, а также практические приложения приведены в [9–14], в том числе для гибридных систем – в [11–14]. Характерной особенностью этих работ является то, что в них определяется оценка множества допустимых значений всего вектора состояния, в то время как для практических приложений может потребоваться аналогичная оценка только для заданной линейной функции вектора состояния. Соответствующий интервальный наблюдатель может оказаться существенно проще наблюдателя полной размерности, интервал станет уже, а класс систем, для которых такой наблюдатель может быть построен, расширится.
В работе ставится и решается задача построения интервальных наблюдателей для гибридных систем, операционная часть которых описывается линейными и нелинейными непрерывными стационарными динамическими моделями, работающими в условиях действия внешних возмущений и шумов измерений, которые позволяют оценить множество допустимых значений заданной линейной функции вектора состояния.
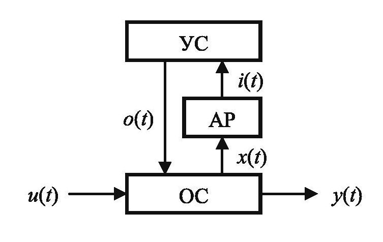
- Описание ГС. Предполагается, что ГС состоит из двух основных частей. Первая из них – управляющая система (УС) с конечным числом состояний, вторая представляет собой операционную систему (ОС) с непрерывной динамикой. Предполагается, что УС описывается моделью конечного автомата Мура
,
где I, S и O – конечные множества входов, состояний и выходов, а функции переходов δ и выходов λ имеют следующий смысл:
, (1.1)
где – состояние УС после его мгновенного перехода из состояния под входом , – выход, соответствующий состоянию s(t); обе рассмотренные функции задаются таблицами. Предполагается, что автомат A минимален (неприводим).
Для простоты вначале рассматриваются ОС, описываемые линейными уравнениями
(1.2)
влияние и учет нелинейностей будет рассмотрено в разд. 4. Здесь , и – векторы состояния, управления и выхода; F0, G0 и H – матрицы размеров n × n, n × m и l × n соответственно; L – известная матрица размера n × q; – неизвестная ограниченная функция времени, описывающая возмущения на систему, ; – неизвестная ограниченная функция времени, описывающая шумы измерений, , где – евклидова норма. Матрицы F0 и G0 соответствуют режиму ОС, активированному выходом УС. Предполагается, что элементы этих матриц представляют собой известные функции от параметров , зависимость значений этих параметров от выходов УС устанавливается специальной таблицей. Отметим, что уравнение (1.2) справедливо только между моментами времени переключения его параметров.
Для согласования работы УС и ОС используется активатор режима (АР), описываемый моделью
. (1.3)
Рассмотренная структура ГС представлена на рис. 1.
Рис. 1. Структура гибридной системы
- Постановка задачи. Требуется построить гибридный интервальный наблюдатель с минимальной размерностью операционной части, формирующий нижнюю и верхнюю границы известной линейной вектор-функции состояния x(t), заданной матрицей M в виде , , для которых гарантированно выполняется неравенство при всех t ≥ 0, которое следует понимать покомпонентно. Структура такого наблюдателя практически совпадает со структурой ГС с той разницей, что его выходом являются границы и (рис. 2); в обозначение каждого блока добавлена буква «Г», подчеркивающая его принадлежность гибридному наблюдателю. Предполагается, что для решения поставленной задачи доступными в ГС (1.1), (1.2) являются только входы и выходы ОС (1.2).
Рис. 2. Структура гибридного интервального наблюдателя
АРГ формирует выходы для работы УСГ путем преобразования выходных сигналов ГС и вектора состояния ОСГ:
(2.1)
для некоторой функции β*, где – вектор состояния ОСГ, k – ее размерность. УСГ описывается конечно-автоматной моделью в виде
(2.2)
с конечными множествами входов I*, состояний S*, выходов O* и функциями переходов и выходов, аналогичными функциям (1.1):
, (2.3)
где , , . Для согласования работы УС и УСГ должны выполняться следующие соотношения:
, (2.4)
, (2.5)
(2.6)
для некоторых функций , η и σ.
Критерием качества решения задачи является ширина интервала , поскольку она характеризует точность оценивания переменной z(t). Для ее уменьшения строится редуцированная (имеющая меньшую размерность) модель исходной системы (1.2), оценивающая заданную переменную z(t), на основе которой синтезируется ОСГ; эта модель должна быть нечувствительной к возмущению ρ(t).
Требование нечувствительности объясняется следующим. В общем случае (когда допускается чувствительность к возмущению) модель описывается уравнениями
(2.7)
где , k < n – размерность модели, F*, J*o, G*o, L*, Hz, Q – матрицы, подлежащие определению. Присутствие слагаемого L*ρ(t) в (2.7), характеризующего вклад возмущения в модель, приводит к тому, что оно в преобразованном виде войдет в уравнения, описывающие интервальный наблюдатель, увеличивая ширину интервала. В случае L* = 0 наблюдатель будет свободен от возмущения ρ(t), а ширина интервала станет меньше.
Замечание 1. В отличие от строящегося интервального наблюдателя, модель (2.7) – это виртуальный объект. Фактически она представляет собой некоторую часть системы (1.2), описываемую отдельными уравнениями; сама по себе эта часть может быть неустойчивой. То, что модель – часть системы (1.2), объясняет вид слагаемого J*oHx(t) в (2.7), в форме J*oy(t) оно появится в интервальном наблюдателе.
Известно [15], что интервальный наблюдатель может строиться на основе одной из двух канонических форм матрицы F* – идентификационной и диагональной жордановой с разными собственными числами. Для систем с непрерывным временем более предпочтительной является вторая, поскольку при выборе отрицательных собственных чисел она обладает необходимыми свойствами устойчивости и мецлеровости. Мецлеровость означает, что внедиагональные элементы матрицы неотрицательны [15].
Таким образом, первая подлежащая решению задача при синтезе гибридного интервального наблюдателя может быть сформулирована следующим образом: построить модель (2.7) минимальной размерности, нечувствительную к возмущению ρ(t), на основе чего далее найти описание ОСГ. Во второй задаче требуется найти описание автомата (2.2) при ограничениях, накладываемых соотношениями (2.1), (2.4)–(2.6). Из (2.4) следует, что УСГ может иметь число режимов меньшее, чем УС, т.е. разным режимам УС может соответствовать один режим УСГ.
- Решение первой задачи для линейных систем. Известно [1], что матрицы, описывающие модель, удовлетворят соотношениям
, (3.1)
где постоянная матрица Ф связывает векторы состояния системы и модели: . Для получения (3.1) продифференцируем обе части последнего равенства: и заменим производные x*(t) и x(t) правыми частями уравнений (1.2) и (2.7) соответственно:
Произведем преобразования, принимая во внимание :
Нетрудно видеть, что из соотношений (3.1) следует последнее равенство.
Поскольку матрица F* задается в диагональной жордановой форме
с отрицательными собственными числами λ1, λ2, ..., λk то первое уравнение в (3.1) может быть представлено в виде k независимых уравнений:
. (3.2)
Дополнительное требование – нечувствительность к возмущениям – учитывается следующим образом. Введем матрицу L0 максимального ранга, содержащую все линейно независимые решения уравнения , тогда для некоторой матрицы N. В результате уравнение (3.2) может быть записано в виде
. (3.3)
Учитывая, что и , получаем равенство
,
которое справедливо, если матрицы Hz и Q удовлетворяют уравнению
. (3.4)
Оно имеет решение, когда
, (3.5)
т.е. когда матрица системы алгебраических уравнений (3.4) и расширенная матрица имеют одинаковые ранги [16, с. 50].
Для решения первой задачи, т.е. построения модели минимальной размерности, ищется нетривиальное решение уравнения (3.3). А именно выбирается минимальное число конкретных значений λi < 0, обеспечивающих устойчивость матрицы F*, таких, что определяемые из уравнения (3.3) с помощью пакета Matlab строки формируют матрицу Ф, которая должна удовлетворять условию (3.5); вместе с Ф из этого же уравнения находится матрица J*oi. Далее из алгебраического уравнения (3.4) также с помощью пакета Matlab определяются матрицы Hz и Q, из (3.1) – матрица G*o.
С учетом найденных матриц по аналогии с [1, 8] ОСГ описывается уравнениями
(3.6)
где El – l × 1-матрица, составленная из единиц; матрица составляется из абсолютных значений соответствующих элементов матрицы J*o. Отметим, что по сравнению с моделью (2.7) ОСГ содержит дополнительный член , формирующий искомый интервал.
Теорема 1. Пусть Hz ≥ 0, и матрица F* задана в диагональной жордановой форме, тогда для интервального наблюдателя (3.6) при всех t ≥ 0 выполняются соотношения
,
Доказательство. Введем ошибки оценивания:
(3.7)
С учетом (2.7) при и (3.6) можно получить дифференциальные уравнения
(3.8)
Из условия следует и . Отметим, что в (3.8) при всех t ≥ 0 и матрица F* мецлерова; такая система называется монотонной, или неотрицательной [8]. Ее решения при , будут поэлементно неотрицательными, т.е. , для всех t ≥ 0 [8], откуда, согласно (3.7), следует . Так как , то из (2.7) и (3.6) имеем
Тогда с учетом (3.7), неравенств , и Hz ≥ 0 получаем , что эквивалентно соотношению . Теорема доказана.
Замечание 2. Теорема показывает, что переменные и , формируемые интервальным наблюдателем, действительно являются нижней и верхней границами для заданной переменной z(t). Если Hz ≥ 0, то соотношения для и в (3.6) изменяются:
- Решение первой задачи, учет нелинейностей. Если ОС описывается нелинейными уравнениями, модель (2.7) и ОСГ (3.6) также будут нелинейными. Рассмотрим этот случай детально, предполагая для простоты, что система содержит только один вид нелинейности, что отражается в (1.2) дополнительной нелинейной составляющей:
где элементы матриц Co и Ao представляют собой известные функции от параметров , скалярная функция ψ(Aox, u) может быть негладкой.
Модель (2.7) также содержит дополнительную нелинейную составляющую:
(4.1)
где , ψ*o(x*, Hx, u) – это функция ψ, в которой аргумент Aox заменен на , матрица A*o определяется из уравнения
. (4.2)
Отметим, что в ОСГ нелинейная составляющая принимает вид ψ*o(x*, y, u).
Для учета нелинейной составляющей в ОСГ (3.6) наложим дополнительное ограничение на функцию ψ*o(x*, y, u): будем полагать, что она монотонна по аргументам x*i для всех и yj для всех независимо от значений других аргументов. Будем рассматривать два типа монотонности, когда при увеличении yj значение функции ψ*o(x*, y, u) увеличивается или уменьшается; аналогично для .
- Если для всех , т.е. покомпонентно, то при всех x* и u. В этом случае эта функция входит в первое уравнение ОСГ (3.6) в виде
, (4.3)
где C*oi – i-й элемент матрицы C*o, , ,
. (4.4)
Нетрудно видеть, что для первого типа монотонности из C*oi > 0 следует , из C*oi < 0 вытекает .
- Если покомпонентно, то при всех x* и u. В этом случае эта функция входит в первое уравнение ОСГ (3.6):
, (4.5)
где
. (4.6)
Теорема 2. Указанный выбор функций (4.3) и (4.5) обеспечивает положительность всех компонент вектора ошибки .
Доказательство. Рассмотрим первый тип монотонности для переменной y, предполагая этот же тип для x*. В нелинейном случае i-е уравнение для ошибки (3.7) дополняется слагаемым
,
которое при C*oi > 0 принимает вид . Поскольку и v* ≥ 0, то покомпонентно и из-за монотонности функции ψ*o(x*, y, u) по x* и y это слагаемое неотрицательно. Так как при t = 0 по предположению , т.е. , а матрица F* в (3.7) мецлерова, то, согласно [10], по индукции получаем при всех t ≥ 0, . Подобным образом показывается, что при всех для случая C*oi > 0 и второго типа монотонности.
Для аналогичного анализа второго уравнение ОСГ (3.6) функции ф1, ..., фk в (4.3) заменяются на φ1, ..., φk из (4.6), функции φ1, ..., φk в (4.5) – на ф1, ..., фk из (4.4). Доказательство того, что для всех , производится аналогично. Теорема доказана.
Если переменная x* в ψ*o(x*, y, u) монотонна по второму типу, то в (4.5) и (4.6) заменяется на . Случай, когда ГС содержит несколько видов нелинейностей, подобен рассмотренному выше и детально изложен в [17].
Замечание 3. Введение нелинейности в устойчивую линейную модель может нарушить эту устойчивость, здесь необходим специальный анализ, который можно найти, в частности, в [18].
Поскольку матрицы J*o, G*o, C*o и A*o в (4.1) общем случае зависят от параметров, значения которых могут меняться, гибридный интервальный наблюдатель должен содержать УСГ, который может иметь число режимов меньшее, чем УС, т.е. разным режимам УС может соответствовать один режим УСГ. Вторая задача посвящена построению минимальной УСГ, для решения которой используется нетрадиционный математический аппарат парной алгебры разбиений, поэтому коротко опишем его.
- Парная алгебра разбиений. Математический аппарат парной алгебры разбиений, используемой для анализа конечных автоматов, содержит три конструкции, ее элементами являются разбиения на множестве s [19, 20], каждое из которых представляет собой совокупность непересекающихся подмножеств этого множества, называемых блоками, объединение которых дает S. Если два элемента s и s' содержатся в некотором блоке разбиения πα, это обозначается в виде .
5.1. Отношение частичного предпорядка. Для двух разбиений πα и πβ выполняется отношение πα ≤ πβ, если каждый блок разбиения πα содержится в некотором блоке разбиения πβ. Существуют два разбиения, обозначаемые символами 0 и 1 соответственно, такие, что 0 ≤ πα ≤ 1 для произвольного разбиения πα; 0 означает, что каждый элемент множества содержится в отдельном блоке, 1 – все элементы в одном блоке.
5.2. Бинарные операции. Поскольку пара (S, ≤) – решетка, то для заданных разбиений πα и πβ можно ввести бинарные операции × и , определяемые как наибольшая нижняя и наименьшая верхняя грани этих разбиений.
5.3. Операторы m и M. Для заданного π разбиение m(π) представляет собой наименьшее разбиение, для которого выполняется соотношение
при всех , где I – множество входов, δ – функция переходов автомата. Оператор m вычисляется по правилу
,
где разбиение πi задается соотношением
.
Для заданного π разбиение M(π) представляет собой наибольшее разбиение, для которого выполняется соотношение
при всех . Оператор M вычисляется по правилу
,
где разбиение πi задается соотношением
.
Установим соответствие между разбиениями на S и функциями с множеством определения S по правилу для всех , т.е. элементы s и s' находятся в одном блоке разбиения πα, соответствующего функции α, если их образы для этой функции совпадают.
Основные свойства операций × и + и оператора m состоят в следующем [19, 20]:
1) ,
2) ,
3) ,
где π, ρ и μ – произвольные разбиения.
- Решение второй задачи. Предположение о том, что для решения поставленной задачи доступными в ГС (1.1), (1.2) являются только входы и выходы ОС (1.2), накладывает определенные ограничения на возможность реализации УСГ, рассмотрим их. Из соотношений , и следует . Поскольку и , то . Для получения конструктивного результата предположим, что аргументы функций β и β* представляют собой линейные комбинации компонент вектора x, задаваемые матрицами B и B* соответственно. Тогда из следует . Это уравнение имеет решение, когда
. (6.1)
Если это условие не выполняется, задача синтеза гибридного интервального наблюдателя с построенной ОСГ решения не имеет; при увеличении размерности k оно может быть получено.
Введем на множестве O семейство разбиений πj: , если коэффициент aj имеет одинаковые значения в режимах o и o', , q – число коэффициентов. Кроме того, введем разбиение πη на O, определяемое функцией η в (2.5), по правилу .
Теорема 3. Если модель (4.1) содержит параметры ac1, ac2, …, acd, то выполняются неравенства
. (6.2)
Доказательство. Пусть (4.1) содержит параметр aj и режимы o и o' принадлежат некоторому блоку разбиения πη. Это означает, что значения параметра aj одинаковы для режимов o и o', т.е. эти режимы находятся в некотором блоке разбиения πj. Тогда по определению отношения частичного порядка для разбиений отсюда следует, что πη ≤ πj. Теорема доказана.
Условие (6.2) можно использовать для построения минимального по числу состояний УСГ следующим образом. Пусть модель (4.1) содержит параметры ac1, ac2, …, acd. Поскольку, согласно теореме 3, πη ≤ πj, , то . Если , примем .
На основе разбиения πη на O введем разбиение π на S по правилу: . Построим семейство разбиений:
, (6.3)
где , . Когда при некотором j получается , разбиение имеет свойство подстановки [18]; индекс подчеркивает, что разбиение соответствует функции в (2.4). Если , его можно использовать для минимизации автомата A, т.е. уменьшения числа его состояний, обозначая блоки разбиения состояниями s* нового автомата , заменяя в таблице переходов автомата исходные состояния новыми состояниями и сжимая ее, удаляя повторяющиеся строки.
Таким образом, множество S* – это множество блоков разбиения , число элементов множества S* равно числу блоков этого разбиения; множество O* – множество блоков разбиения πη, число элементов множества O* равно числу блоков этого разбиения. Функция δ* описывается сжатой таблицей переходов автомата A, в которой удалены повторяющиеся строки. Функция λ* описывается таблицей выходов автомата A, которая также сжимается после замены состояний и выходов исходного автомата состояниями из множества S* и выходами из множества O* соответственно: если состояние s* соответствует некоторому блоку разбиения πθ, то , . Можно принять I* = I, хотя в некоторых случаях число входов можно также сократить, объединяя одинаковые столбцы матрицы переходов автомата A* (если таковые имеются).
Если или , минимизация УС невозможна, поскольку по предположению автомат неприводим; тогда УСГ совпадает с УС.
- Пример. Рассмотрим систему управления:
(7.1)
Уравнения (7.1) описывают так называемую трехтанковую систему, состоящую из трех резервуаров, соединенных между собой трубами. Жидкость поступает в первый и второй танки и выливается из третьего танка. Уровни жидкости в танках обозначены x1(t), x2(t) и x3(t); a1–a6 – коэффициенты, значения которых определяются геометрическими размерами системы. Предполагается, что значения коэффициентов a1, a2 и a3 могут меняться в зависимости от логического выхода УС o(t) согласно табл. 1, остальные коэффициенты постоянны; УС описывается табл. 2, функция активатора режима задана в виде
(7.2)
Таблица 1. Зависимость коэффициентов ОС от режима УС
Коэффициент | O | |||
| o1 | o2 | o3 | o4 | |
| a1 | 0 | 0.5 | 0.5 | 2 |
| a2 | 0.2 | 0.9 | 0.9 | 0.1 |
| a3 | 4 | 4 | 2 | 0.5 |
Таблица 2. Описание автомата A
| s(t) | s(t+) | o(t) | ||
| i1(t) | i2(t) | i2(t) | ||
| s1 | s1 | s2 | s3 | o1 |
| s2 | s1 | s2 | s4 | o2 |
| s3 | s1 | s3 | s4 | o3 |
| s4 | s2 | s4 | s4 | o4 |
Требуется найти интервальную оценку для неизмеряемой переменной x1(t).
Поскольку уравнения (7.1) содержат только нелинейные члены, для них F = 0 и решение задачи описанным методом невозможно. Для устранения этого недостатка добавим в первое уравнение формальный член , первый элемент которого отнесем к линейной части, второй – к нелинейной. Аналогично во второе уравнение добавим член , в третье – член . В результате получим следующее описание системы:
.
Так как , то уравнение (3.3) можно записать в виде
.
Примем и получим , , откуда и . Так как , условие (3.5) с очевидностью выполняется, из (3.4) следует Hz = 1, Q = 0. Поскольку активатор режима (7.2) имеет линейную основу с матрицей , нетрудно проверить, что условие (6.1) выполняется.
Линейная модель, нечувствительная к возмущению, при принимает вид
Решение уравнения (4.2) – это матрица ; . Нелинейная составляющая описывается выражением
.
В результате получаем итоговую нелинейную модель:
(7.3)
Из (7.3) следует, что переменные x*(t) и H1x(t) влияют на нелинейную составляющую монотонно, а исходя из типа этой монотонности и результатов разд. 4 получаем описание ОСГ:
(7.4)
Из табл. 2 следует, что , . Поскольку в описание (7.3) входят параметры a1 и a2, то и . На основе табл. 1 получаем , а тогда по формуле (6.3) . Обозначая блоки разбиений πη и символами o*1, o*2, o*3 и s*1, s*2, s*3 соответственно, построим на основе табл.1 и 2 автомат A* (табл. 3) и зависимость коэффициентов ОСГ (7.4) от режима УСГ (табл. 4). Поскольку входы УС и УСГ совпадают, ρ представляет собой тождественную функцию; тогда из уравнения следует, что . В результате АРГ принимает вид
Таблица 3. Описание автомата A*
| s*(t) | s*(t+) | o*(t) | ||
| i1(t) | i2(t) | i2(t) | ||
| s*1 | s*1 | s*2 | s*2 | o*1 |
| s*2 | s*1 | s*2 | s*3 | o*2 |
| s*3 | s*2 | s*3 | s*3 | o*3 |
Таблица 4. Зависимость коэффициентов ОСГ от режима УСГ
Коэффициент | O* | ||
| o*1 | o*2 | o*3 | |
| a1 | 0 | 0.1 | 2 |
| a2 | 0.2 | 0.2 | 0.1 |
При моделировании с начальными условиями , и примем , . Результаты моделирования представлены на рис. 3 и 4. На рис. 3 переключения сохраняются на всем интервале моделирования, на рис. 4 они отключаются при , что дает возможность увидеть влияние переключений на процесс интервального оценивания. Нижняя линия на рис. 2 и 3 представляет поведение автомата A, где состояниям s1–s4 соответствуют числа 1–4.
Рис. 3. Поведение интервальной оценки при наличии переключений
Рис. 4. Поведение интервальной оценки при прерывании переключений
Заключение. Работа посвящена проблеме интервального оценивания в гибридных системах. Полученное решение проблемы предполагает на первом этапе построение интервального наблюдателя для заданной линейной функции вектора состояния исходной системы, на втором – построение конечного автомата, управляющего работой интервального наблюдателя. Для решения используются парная алгебра разбиений и линейная алгебра – для управляющей и операционной подсистем соответственно.
About the authors
A. N. Zhirabok
Far Eastern Federal University; Institute of Marine Technology Problems
Author for correspondence.
Email: zhirabok@mail.ru
Russian Federation, Vladivostok; Vladivostok
A. V. Zuev
Institute of Marine Technology Problems
Email: zhirabok@mail.ru
Russian Federation, Vladivostok
A. E. Shumsky
Far Eastern Federal University
Email: zhirabok@mail.ru
Russian Federation, Vladivostok
References
- Жирабок А.Н., Зуев А.В., Ким Чхун Ир Метод построения интервальных наблюдателей для стационарных линейных систем // Изв. РАН. ТиСУ. 2022. № 4. С. 22–32.
- Cocquempot V., Mezyani T., Staroswiecki M. Fault Detection and Isolation for Hybrid Systems Using Structured Parity Residuals // Proc. 5th Asian Control Conf. Tokyo, 2004. P. 1204–1212.
- Gruyitch L. Nonlinear Hybrid Control Systems // Nonlinear Anal. Hybrid Syst. 2007. V. 1. P. 139–140.
- Leth J., Wisniewski R. Local Analysis of Hybrid Systems on Polyhedral Sets with State-dependent Switching // Int. J. Appl. Math. Comput. Sci. 2014. V. 24. P. 341–355.
- Yang H., Jiang B., Cocquempot V. Fault Tolerant Control Design for Hybrid Systems, Berlin-Heidelberg: Springer-Verlag, 2010.
- Shumsky A., Zhirabok A., Jiang B., Yang H. Transformation of Hybrid Systems: Application to Reduced Order Observer Design // IASTED Int. Conf. Control and Applications. Crete, 2012. P. 98–103.
- Shumsky A., Zhirabok A. Redundancy Relations for Fault Diagnosis in Hybrid Systems // IFAC Symposium SAFEPROCESS’2012. Mexico, 2012. P. 1226–1231.
- Ефимов Д.В., Раисси Т. Построение интервальных наблюдателей для динамических систем с неопределенностями // АиТ. 2016. № 2. С. 5–49.
- Khan A., Xie W, Zhang L., Liu L. Design and Applications of Interval Observers for Uncertain Dynamical Systems // IET Circuits Devices Syst. 2020. V. 14. P. 721–740.
- Chebotarev S., Efimov D., Raissi T., Zolghadri A. Interval Observers for Continuous-time LPV Systems with L1/L2 Performance // Automatica. 2015. V. 51. P. 82–89.
- Efimov D., Raissi T., Chebotarev S., Zolghadri A. Interval State Observer for Nonlinear Time Varying Systems // Automatica. 2013. V. 49. P. 200–206.
- Dinh T., Marouani G., Raïssi T., Wang Z., Messaoud H. Optimal Interval Observers for Discrete-time Linear Switched Systems // Intern. J. Control. 2019. № 2. doi: 10.1080/00207179.2019.1575518.
- Zammali C., Van Gorp J., Wang Z., Raïssi T. Sensor Fault Detection for Switched Systems Using Interval Observer with L∞ Performance // European J. Control. 2020. No. 4. DOI: https://doi.org/10.1016/j.ejcon.2020.06.004.
- Marouani G., Dinh T., Raïssi T., Wang X., Messaoud H. Unknown Input Interval Observers for Discrete-time Linear Switched Systems // European J. Control. 2020. No. 4. DOI: https://doi.org/10.1016/j.ejcon.2020.09.004
- Жирабок А.Н., Зуев А.В., Филаретов В.Ф., Шумский А.Е., Ким Ч.И. Каноническая форма Жордана в задачах диагностирования и оценивания // АиТ. 2022. № 9. С. 36–54.
- Корн Г., Корн Т. Справочник по математике. М. Наука, 1968.
- Жирабок А.Н., Зуев А.В., Филаретов В.Ф., Шумский А.Е. Идентификация дефектов в нелинейных системах на основе скользящих наблюдателей с ослабленными условиями существования // Изв. РАН. ТиСУ. 2022. № 3. С. 21–30.
- Жирабок А.Н., Ким Чхун Ир Виртуальные датчики в задаче функционального диагностирования нелинейных систем // Изв. РАН. ТиСУ. 2022. № 1. С. 67–75.
- Hartmanis J., Stearns R. The Algebraic Structure Theory of Sequential Machines. N.Y.: Prentice-Hall, 1966.
- Жирабок А.Н., Шумский А.Е. Соотношения избыточности для диагностирования гибридных систем // Изв. РАН. ТиСУ. 2018. № 4. С.122–138.
Supplementary files






