Стабилизация интегратора 3-го порядка обратной связью в виде вложенных сатураторов
- Авторы: Морозов Ю.В.1, Пестерев А.В.1
-
Учреждения:
- Институт проблем управления им. В. А. Трапезникова РАН
- Выпуск: № 4 (2024)
- Страницы: 167-176
- Раздел: НАВИГАЦИОННЫЕ СИСТЕМЫ
- URL: https://journal-vniispk.ru/0002-3388/article/view/274268
- DOI: https://doi.org/10.31857/S0002338824040121
- EDN: https://elibrary.ru/TRFTDB
- ID: 274268
Цитировать
Полный текст
Аннотация
Рассматривается задача стабилизации интегратора 3-го порядка с фазовым ограничением с помощью непрерывного ограниченного управления при дополнительном условии выполнения фазового ограничения. Применение обратной связи в виде вложенных сатураторов приводит к исследованию устойчивости системы с переключениями. Установлены необходимые условия на коэффициенты обратной связи, при выполнении которых система локально устойчива. Построена функция Ляпунова, с помощью которой доказано, что необходимые условия являются и достаточными для глобальной асимптотической устойчивости замкнутой системы. Изложение иллюстрируется численными примерами.
Полный текст
Введение. Задача стабилизации цепочек интеграторов широко обсуждалась в литературе по управлению в течение нескольких последних десятилетий (например, [1-4] и приведенные там ссылки). Интерес к данной проблематике объясняется тем, что во многих приложениях исходные модели заданы в виде цепочек интеграторов, а управления, разработанные для цепочек интеграторов, легко обобщаются на более широкие классы систем. Большое распространение в последние десятилетия получил подход, основанный на применении специальных непрерывных управлений в виде вложенных негладких функций насыщения - сатураторов. Интерес к обратной связи в виде вложенных сатураторов объясняется рядом замечательных свойств полученной замкнутой системы. Такие обратные связи, в частности, позволяют автоматически учесть ограниченность ресурса управления и при этом гарантируют выполнение определенных фазовых ограничений, а также обеспечивают экспоненциальную скорость убывания отклонения вблизи положения равновесия. Преимущества обратных связей в виде вложенных сатураторов, а также актуальность задачи стабилизации цепочек интеграторов обсуждаются во многих публикациях, например в [2-11]. Применение вложенных сатураторов, однако, приводит к достаточно сложной нелинейной системе с переключениями, анализ устойчивости которой представляет нетривиальную задачу. Доказать глобальную устойчивость удается преимущественно для систем второго порядка [5, 6] и в редких случаях обратных связей специального вида - для систем третьего [9, 10] или четвертого [11] порядков. Общий случай n-мерного интегратора обсуждается, например, в [2, 3]. Но глобальная устойчивость системы замкнутой обратной связи в виде n вложенных сатураторов была доказана только для случая, когда предельные значения вложенных функций насыщения удовлетворяют определенным, на практике редко выполнимым, неравенствам [2, Theorem 2.1].
В статье рассматривается задача стабилизации в нуле цепочки трех интеграторов. В качестве стабилизирующего предлагается непрерывное управление в виде вложенных сатураторов, гарантирующее выполнение фазового ограничения на третью переменную состояния. Обсуждаются преимущества предлагаемой обратной связи и устанавливаются необходимые и достаточные условия глобальной устойчивости замкнутой системы.
1. Постановка задачи. В работах [7, 8] для стабилизации интегратора 2-го порядка
(1.1)
предложено использовать обратную связь в виде вложенных сатураторов:
(1.2)
где sat(·) - негладкая функция насыщения: sat(w) = w при |w| ≤ 1 и sat(w) = sign(w), когда |w| > 1. Правая часть (1.2) задает разбиение фазовой плоскости на множества D1, D2 и D3 (рис. 1): область D1 включает все точки, в которых оба сатуратора не насыщены (наклонная полоса, ограниченная пунктирными линиями на рис. 1); множество D2 = ∪ - точки, в которых насыщен только внутренний сатуратор; D3 = ∪ - все точки, в которых насыщен внешний сатуратор (более подробно см. [8, 11, 12]). Система (1.1), (1.2) представляет собой систему с переключениями, состоящую из пяти линейных систем, переключения между которыми зависят от состояния и происходят при пересечении границ между областями.
Рис. 1. Разбиение фазовой плоскости на множества D1, D2, D3
Главное достоинство управления (1.2) состоит в том, что оно позволяет стабилизировать систему (1.1) из любого начального положения при любых положительных коэффициентах. Доказательство глобальной устойчивости системы (1.1), (1.2) для частного случая выбора коэффициентов обратной связи из однопараметрического семейства можно найти в [11]; доказательство для общего случая произвольных положительных коэффициентов обратной связи приведено в [12]. К другим преимуществам обратной связи вида (1.2) относятся ее непрерывность и ограниченность, а также возможность обеспечить желаемые характеристики переходного процесса для любой конкретной системы простой настройкой коэффициентов. Действительно, коэффициент k4 задает ресурс управления; k2 ограничивает максимальную скорость приближения к положению равновесия (|x2(t)| ≤ k2); с помощью же коэффициентов k1 и k3 выбираются желаемые тип (узел, фокус) положения равновесия и экспоненциальная скорость убывания отклонения вблизи нуля [8, 11, 12].
Рассмотрим теперь интегратор 3-го порядка:
(1.3)
и применим к нему обратную связь:
(1.4)
где U1 (x1,x2) определено формулой (1.2). В разд. 1 будет доказана глобальная асимптотическая устойчивость системы (1.3), (1.4). Здесь же приведем обоснование такого выбора обратной связи.
- Проекция траектории на плоскость (x1,x2) стремится к траектории интегратора 2-го порядка с начальными условиями w1(0) = x1(0), w2(0) = x2(0) : x1(t) → w1(t) и x2(t) → w2(t) при t → ∞. Другими словами, выбор коэффициентов k1, … ,k4, обеспечивающих “желаемое” поведение отклонения x1(t) и скорости x2(t), можно сделать на основе решения более простой задачи стабилизации интегратора 2-го порядка.
- Решение системы (1.3), (1.4) удовлетворяет фазовому ограничению
|x3 (t)| ≤ k4, (1.5)
исходя из того, что |x3(0)| ≤ k4. Действительно, допустим фазовое ограничение выполняется в начальный момент. Из третьего уравнения системы (1.3) следует, что переменная x3(t) достигает локального экстремума на траектории при U (x) = 0, а из формулы (1.4) видно, что управление равно нулю, когда x3 = -k4sat(k1 x1). Следовательно, |x3(t)| не может быть больше k4.
Необходимость выполнения фазового ограничения на третью переменную естественным образом возникает во многих приложениях, например при стабилизации механической системы, где переменными состояния служат позиция, скорость и тяга (ускорение), а в качестве управления берется скорость изменения тяги (например, с помощью шагового мотора). Так как тяга в реальных системах ограничена, максимальное значение |x3(t)| также должно быть ограничено. Положив k4 в (1.2) равным максимальной тяге, получим управление, гарантирующее выполнение фазового ограничения.
- К преимуществам управления (1.4) относятся также а) экспоненциальная скорость убывания отклонения вблизи положения равновесия [8, 11, 12] и б) ограниченность при любых, сколь угодно больших отклонениях от положения равновесия при выполнении фазового ограничения в начальной точке (см. разд. 1).
2. Представление системы в безразмерном виде. Применим следующую замену переменных и времени [10]:
Подставляя новые переменные в систему (1.3), (1.4) и переходя к дифференцированию по безразмерному времени, получим безразмерную модель с коэффициентами:
(2.1)
Таким образом, каковы бы ни были ресурс управления (k4) и максимальная разрешенная скорость (k2), задача сводится к исследованию устойчивости модели с единичными коэффициентами k2 и k4. Всюду далее будем полагать все переменные и параметры безразмерными и использовать для них прежнее обозначение (без тильды). В безразмерной модели обратная связь (1.4) принимает вид:
(2.2)
Задача исследования - найти условия на коэффициенты, при которых предлагаемая обратная связь является стабилизирующей во всем пространстве, т.е. установить условия глобальной асимптотической устойчивости системы (1.3), (2.2).
3. Необходимые условия устойчивости.
Лемма 1. Для того, чтобы система (1.3), (2.2) была устойчива, необходимо, чтобы коэффициенты обратной связи были положительны и выполнялось неравенство k5 > k1.
Доказательство леммы 1. Для устойчивости системы (1.3), (2.2) необходимо, чтобы была устойчива определенная в D1 (см. рис. 1) линейная система:
-k5x3 - k5k3x2 - k5k3k1x1. (3.1)
Применим критерий Гурвица [13] к последней и выпишем составленный из коэффициентов характеристического полинома определитель Гурвица:
.
Условие положительности всех главных миноров определителя Гурвица дает искомые необходимые условия устойчивости системы (1.3), (2.2):
k5 > k1 > 0, k3 > 0. (3.2)
Лемма 1 доказана.
Замечание 1. Подставляя правые части формул (2.1) для безразмерных коэффициентов в (3.9), получим необходимые условия, которым должны удовлетворять размерные коэффициенты: ki > 0, i = 1, … ,5, k5 > k1k2.
4. Достаточные условия глобальной устойчивости.
Теорема 1. Пусть выполнены необходимые условия устойчивости (3.9), т.е. ki > 0, i = 1, 3, 5 и k5 > k1. Тогда система (1.3), (2.2) глобально асимптотически устойчива.
Доказательство теоремы 1. Пусть коэффициенты k1, k3 и k5 положительны. Рассмотрим функцию
(4.1)
и докажем, что она является функцией Ляпунова системы (1.3), (2.2). Доказательство опирается на следующие два неравенства, непосредственно вытекающие из монотонности
функции насыщения и ее равенству нулю в нуле:
(s)ds > 0 ∀x ≠ 0, (4.2)
[sat (s + s0) - sat(s0)]s ≥ 0 ∀s ≠ 0,∀s0. (4.3)
Обозначим через Φ1 и Φ2 первое и второе интегральные слагаемые в (4.1) соответственно и покажем, что их сумма, а значит, и функция V(x), положительна в R3.
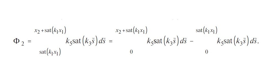
Преобразуем Φ2, применив замену s ̃= s + sat(k1x1)
Первое слагаемое положительно в силу (4.2). Обозначив второй интеграл в последней формуле как Φ22 и сделав в нем еще одну, неявную замену переменной интегрирования s ̃= sat(k1s), получим
,
где штрих означает дифференцирование по аргументу, а значение производной функции насыщения при k1s = ±1 произвольно доопределено (например, нулем). Сумма интегральных слагаемых, таким образом, равна
Так как производная функции насыщения равна единице или нулю и по условию теоремы k5 > k1 > 0, имеем
k5 - k1 sat'(k1s) > 0 ∀s, (4.4)
откуда следует положительность суммы Φ1 + Φ2 и функции V(x) при всех x ≠ 0.
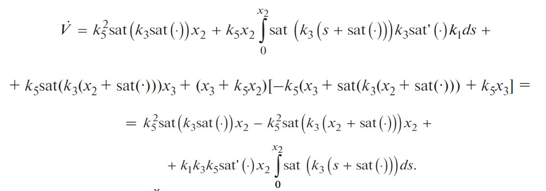
Очевидно также, что V(x) стремится к бесконечности при ||x|| → ∞. Далее, дифференцируя V(x) в силу системы (1.3), (2.2) и опуская аргумент k1x1 функций sat и sat' для сокращения записи, получим
Преобразуем интеграл в правой части последнего выражения:
Подставляя полученное выражение в формулу для , имеем
C учетом (4.3) и (4.4) ≤ 0 ∀x. При k3 < 1 выражение в квадратных скобках, а с ним и производная, обращаются в ноль только на множестве x2 = 0, которое не содержит ни одной целой траектории, кроме x = 0. Если k3 ≥ 1, производная дополнительно обращается в ноль на подмножествах областей и , в которых оба слагаемых в квадратных скобках одновременно равны +1 и -1 соответственно. Докажем, что множества и (см. рис. 1) также не могут содержать целых траекторий.
Пусть для определенности , где U1(x1,x2) ≡ -1. Третье уравнение системы (1.3) при этом принимает вид
и его решение x3(t) → -1 при t → ∞. Отсюда, каково бы ни было начальное значение x3(0) и число c, -1 < c < 0, начиная с некоторого конечного момента времени t* ≥ 0, будет выполнено неравенство x3(t) ≤ c. Из второго уравнения системы (1.3) видно, что при этом и через конечное время x2 станет меньше любого наперед заданного значения, откуда следует, что проекция траектории на плоскость (x1,x2) непременно попадет либо в область D1, либо в (рис. 1), т.е. область × R1 не может содержать целых траекторий. Аналогично доказывается, что область × R1 не содержит целых траекторий.
Таким образом, функция V(x) удовлетворяет всем условиям теоремы Барбашина-Красовского [14] и, следовательно, начало координат является асимптотически устойчивым положением равновесия системы (1.3), (2.2) в целом. Теорема 1 доказана.
5. Стабилизация при ограниченном ресурсе управления. При постановке задачи стабилизации в разд. 1 предполагалось, что ресурс управления не ограничен. В ряде приложений такое предположение вполне допустимо. Например, в упоминавшемся в разд. 1 примере механической системы ввиду ограниченности максимальной тяги и ускорения, правая часть (1.4) ограничена и при достаточно большой мощности шагового мотора коэффициенты могут быть выбраны так, чтобы управление в представляющей интерес области пространства состояний не достигало насыщения.
В случае же, когда ограниченностью управления нельзя пренебречь, применяя функцию насыщения к правой части (2.2), получим обратную связь в виде трех вложенных сатураторов:
(5.1)
где k6 ресурс управления (выражение безразмерного коэффициента k6 через размерные выводится так же, как и для остальных коэффициентов в разд. 1; см. [10]).
Необходимые условия устойчивости системы (1.3), (5.1) устанавливаются как и в случае неограниченного управления. При любых коэффициентах обратной связи найдется такая окрестность нуля, в которой все три сатуратора не насыщены и система (1.3), (5.1) линейна. Так как в окрестности нуля обе системы имеют одинаковый вид (3.8), получаем те же необходимые условия, что и для системы с неограниченным управлением: положительность всех коэффициентов и выполнение условия k5 > k1.
Исследование устойчивости системы с ограниченным управлением представляет собой гораздо более сложную задачу. Численные эксперименты показали [10], что потеря системой устойчивости сопровождается возникновением так называемых скрытых колебаний (аттракторов) [15], причем множество аттракторов может быть несчетным [10]. Как и в случае неограниченного управления, достаточные условия глобальной устойчивости могут быть получены с помощью функции Ляпунова. На настоящий момент, однако, построить функцию Ляпунова для системы (1.3), (5.1) авторам не удалось.
Очевидно, что в случае обратной связи (5.1) выполнения необходимых условий не достаточно для глобальной устойчивости. Из общих соображений очевидно, что, каковы ни были положительные коэффициенты k1, … , k5, система не может быть стабилизирована при любых отклонениях от равновесия, если ресурс управления недостаточен. Кроме того, управление, гарантирующее глобальную устойчивость, может оказаться неэффективным, не обеспечивая желаемую скорость приближения к положению равновесия. С другой стороны, на практике, требование глобальной устойчивости является излишним, так как начальные отклонения от равновесия, как и действующие на систему возмущения, обычно ограничены. В таких случаях, интерес представляют нахождение областей притяжения нулевого решения для заданного набора коэффициентов обратной связи и/или построение их оценок.
Оценки областей притяжения могут быть получены с помощью известных подходов к исследованию устойчивости, основанных, например, на построении функции Лурье-Постникова [16] или погружении в класс линейных нестационарных систем с последующим применением методов абсолютной устойчивости [4, 9, 17, 18]. Работа над нахождением достаточных условий и построением оценок областей продолжается. В настоящей же работе ограничимся одним специальным случаем достаточных условий.
Представленные далее в этом разделе достаточные условия глобальной устойчивости системы с ограниченным управлением получены сведением к рассмотренному выше случаю неограниченного управления. В разд. 1 доказано, что область
Π = {x : | x3│≤ 1} (5.2)
является инвариантным множеством безразмерной системы (1.3), (2.2). Легко видеть, что доказательство не зависит от того, ограничено или неограничено управление, так что Π является также инвариантным множеством и для системы (1.3), (5.1). Сначала докажем, что при любых начальных условиях система (1.3), (5.1) гарантировано попадет в область Π, а затем найдем, при каких условиях на коэффициенты управление не достигает насыщения в этой области.
Лемма 2. Каковы бы ни были начальные условия, система (1.3), (5.1) за конечное время попадет в область Π.
Доказательство леммы 2. Рассмотрим функцию , положительно определенную при всех x3 ≠ 0, и продифференцируем ее в силу системы (1.3), (5.1): v ̇(x) = -x3k6sat(k5 (x3 + + sat(k3(x2 + sat(k1x1)))/k6). Функция v̇(x) определенно отрицательна в области |x3| > 1, т.е. множество |x3| ≤ 1 является притягивающим для решений системы (1.1), (2.2). Пусть для определенности x3 > 0. Предположим, что утверждение леммы неверно и траектория не пересекает плоскость x3 = 1. Так как x3 → U1(x1,x2) и |U1(x1,x2)| ≤ 1, такое возможно только, если, начиная с некоторого момента t*, функция U1 тождественно равна единице на траектории системы: U1(x1(t),x2(t)) ≡1 ∀t > t*. Последнее означает, что проекция траектории на плоскость (x1,x2) лежит в области (рис. 1). Однако при доказательстве теоремы 1 было установлено, что области × R1 и × R1 не могут содержать целых траекторий. Следовательно, предположение не верно и найдется конечный момент времени, после которого траектория окажется в инвариантном множестве Π. Лемма 2 доказана.
Нетрудно видеть, что на множестве Π управление (2.2) ограничено: |U(x)| ≤ 2k5. Сравнивая правые части формул (2.2) и (5.1), находим, что если k6 ≥ 2k5, то управление (5.1) не достигает насыщения в области Π, т.е. Uc(x) ≡ U(x)∀x ∈ Π, и, значит, устойчивость системы (1.3), (5.1) следует из устойчивости системы (1.3), (1.4). Таким образом, с учетом инвариантности множества Π и леммы 2 мы доказали следующее утверждение.
Теорема 2. Пусть все коэффициенты обратной связи (5.1) положительны и удовлетворяют условиям k5 > k1 и k6 ≥ 2k5. Тогда система (1.3), (5.1) глобально асимптотически устойчива.
Замечание 2. Значение теоремы 1 в том, что она устанавливает глобальную стабилизируемость цепочки трех интеграторов с помощью ограниченного управления в виде вложенных сатураторов. Другими словами, при ограниченном ресурсе управления коэффициенты обратной связи всегда могут быть выбраны так, что система стабилизируется из любого начального состояния. На практике, однако, управление с коэффициентами, удовлетворяющими условиям теоремы 1, может оказаться достаточно консервативным при малом ресурсе управления k6 из-за малого коэффициента k1 (так как ответственного за скорость убывания отклонения в окрестности равновесия.
6. Численные примеры. В качестве иллюстрации приведены результаты численных расчетов для обратной связи (2.2) с коэффициентами k1 = 1, k3 = 3 и k5 = 9. На рис. 2 изображена инвариантная область системы, ограниченная поверхностью уровня функции Ляпунова (4.1) .
Рис. 2. Поверхность уровня функции Ляпунова (4.1)
Как видно из рисунка, форма поверхности заметно отличается от эллипсоидальной формы квадратичной функции Ляпунова линейной системы. Для систем, конструкция которых не допускает нарушения фазового ограничения (как в вышеупомянутой механической системе), больший интерес представляет множество, образованное пересечением инвариантных областей Vc = {x : V(x) ≤ c} и Π (5.2), так как “хвосты” первой, отсекаемые плоскостями x3 = ±1, содержат только траектории с начальными условиями, не удовлетворяющими фазовому ограничению. На рис. 3 и 4 показана цилиндроподобная область, полученная пересеченим множества Vc, изображенного на рис. 2 с множеством Π, вместе с несколькими траекториями, начинающимися на ограничивающей область поверхности уровня.
Рис. 3. Пересечение инвариантных областей и Π
Рис. 4. Пересечение инвариантных областей и Π
На рис. 3 изображены траектории, начинающиеся в точках, в которых производная функции Ляпунова в силу системы равна нулю. Начальные сегменты таких траекторий (показаны сплошными линиями) лежат на поверхности инвариантной области. После того, как проекция траектории на плоскость (x1,x2) пересекает границу D3 (рис. 1), производная становится отрицательной и траектория уходит внутрь области. Участки траекторий, лежащие внутри области, изображены пунктирными линиями. Траектории, начинающиеся в точках, в которых производная отрицательна, сразу уходят внутрь области (рис. 4).
Результаты решения задачи стабилизации системы для начальных условий x1(0) = -1.5, x2(0) = -1.0, x3(0) = 0.9 представлены на рис. 5, демонстрирующие эффективность стабилизации. Кривые, помеченные цифрами 1-4, показывают графики зависимостей от времени отклонения x1, скорости x2, ускорения x3 и управления U соответственно. В начальный момент времени система движется в противоположном от положения равновесия направлении, величина отклонения после естественного роста на начальном этапе быстро (экспоненциально) убывает, фазовое ограничение выполняется для любого t, управление умеренно ограничено и не приводит к перерегулированию.
Рис. 5. Графики зависимостей от времени отклонения x1(t) (1), скорости x2(t) (2), ускорения x3(t) (3) и управления U(t) (4)
Заключение. Рассмотрена задача стабилизации цепочки трех интеграторов с помощью непрерывного управления в виде вложенных сатураторов, гарантирующего выполнения фазового ограничения на третью переменную состояния. Обсуждаются преимущества предлагаемой обратной связи. С помощью перехода к безразмерным переменным исходная, зависящая от пяти коэффициентов обратной связи, задача сведена к исследованию трехпараметрической системы. Главный результат работы - построение функции Ляпунова, с помощью которой доказано, что для глобальной устойчивости замкнутой системы достаточно выполнения необходимых условий локальной устойчивости. Найдены также достаточные условия глобальной устойчивости для системы с ограниченным ресурсом управления. Приведены численные примеры, иллюстрирующие эффективность стабилизации с помощью предлагаемой обратной связи.
Об авторах
Ю. В. Морозов
Институт проблем управления им. В. А. Трапезникова РАН
Автор, ответственный за переписку.
Email: tot1983@inbox.ru
Россия, Москва
А. В. Пестерев
Институт проблем управления им. В. А. Трапезникова РАН
Email: alexanderpesterev.ap@gmail.com
Россия, Москва
Список литературы
- Kurzhanski A.B., Varaiya P. Solution Examples on Ellipsoidal Methods: Computation inHigh Dimensions. Cham, Switzerland: Springer, 2014.
- Teel A.R. Global Stabilization and Restricted Tracking for Multiple Integrators with Bounded Controls // Sys. & Cont. Lett. 1992. V. 18. № 3. P. 165–171.
- Teel A.R. A Nonlinear Small Gain Theorem for the Analysis of Control Systems with Saturation // Trans. Autom. Contr. IEEE. 1996. V. 41. № 9. P. 1256–1270.
- Li Y., Lin Z. Stability and Performance of Control Systems with Actuator Saturation. Basel: Birkhauser, 2018.
- Olfati-Saber R. Nonlinear Control of Underactuated Mechanical Systems with Application to Robotics and Aerospace Vehicles, Ph.D. Dissertation, Massachusetts Institute of Technology. Dept. of Electrical Engineering and Computer Science, 2001.
- Hua M.D., Samson C. Time Sub-optimal Nonlinear Pi and Pid Controllers applied to Longitudinal Headway Car Control // Intern. J. Control. 2011. V. 84. P. 1717–1728.
- Pesterev A.V., Morozov Yu.V., Matrosov I.V. On Optimal Selection of Coefficients of a Controller in the Point Stabilization Problem for a Robot-wheel // Communicat. Comput. Inform. Sci. (CCIS). 2020. V. 1340. P. 236–249.
- Pesterev A.V., Morozov Yu.V. Optimizing Coefficients of a Controller in the Point Stabilization Problem for a Robot-wheel // Lect. Notes Comput. Sci. 2021. V. 13078. P. 191–202.
- Pesterev A.V., Morozov Yu.V. The Best Ellipsoidal Estimates of Invariant Sets for a Third-Order Switched Affine System // Lect. Notes Comput. Sci. 2022. V. 13781. P. 66–78.
- Pesterev A.V., Morozov Yu.V. Optimizing a Feedback in the Form of Nested Saturators to Stabilize the Chain of Three Integrators // Lect. NotesComput. Sci. 2023. V. 14395. P. 88–88.
- Морозов Ю.В., Пестерев А.В. Глобальная устойчивость гибридной аффинной системы 4-го порядка // Изв. РАН. ТиСУ. 2023. № 5. С. 3–15.
- Пестерев А.В., Morozov Yu.V. Глобальная стабилизация интегратора второго порядка обратной связью в виде вложенных сатураторов // АиТ. 2024. № 4. C. 55–60.
- Поляк Б.Т., Щербаков П.С. Робастная устойчивость и управление. М.: Наука, 2002.
- Барбашин Е.А. Введение в теорию устойчивости. Сер.: Физико-математическая библиотека инженера. М.: Наука, 1967.
- Кузнецов Н.В. Теория скрытых колебаний и устойчивость систем управления // Изв. РАН. ТиСУ. 2020. № 5. C. 5–27.
- Лурье А.И., Постников В.Н. К теории устойчивости регулируемых систем // ПММ. 1944. № 3. C. 246–248.
- Рапопорт Л.Б. Оценка области притяжения в задаче управления колесным роботом // АиТ. 2006. № 9. С. 69–89.
- Generalov A., Rapoport L., Shavin M. Attraction Domains in the Control Problem of a Wheeled Robot Following a Curvilinear Path over an Uneven Surface // Lect. NotesComput. Sci. 2021. V. 13078. P. 176–190.
Дополнительные файлы












