Численное МГД моделирование лабораторных джетов в тороидальном магнитном поле
- Авторы: Торопина О.Д.1, Бисноватый-Коган Г.С.1, Моисеенко С.Г.1
-
Учреждения:
- Институт космических исследований
- Выпуск: Том 100, № 1 (2023)
- Страницы: 6-18
- Раздел: СТАТЬИ
- URL: https://journal-vniispk.ru/0004-6299/article/view/139051
- DOI: https://doi.org/10.31857/S0004629923010097
- EDN: https://elibrary.ru/NQAPNB
- ID: 139051
Цитировать
Полный текст
Аннотация
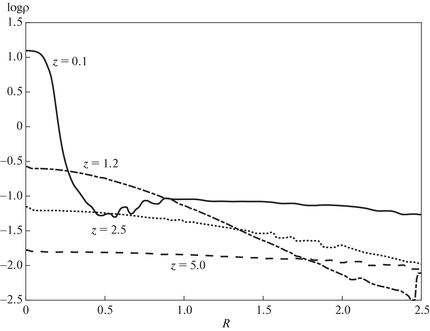
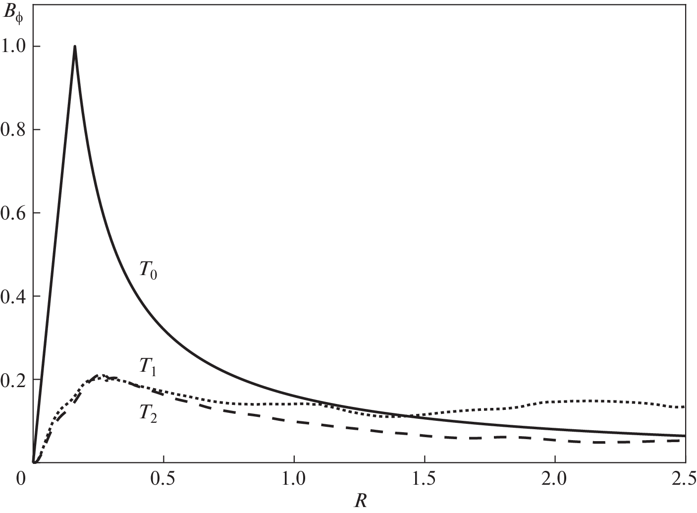
В работе представлены результаты МГД моделирования процесса образования и коллимации лабораторных джетов с тороидальным магнитным полем. Показано, что при отсутствии магнитного поля происходит существенное расширение джета в расчетной области. При наличии сильного тороидального магнитного поля джет расширяется незначительно, что подтверждает возможность магнитного механизма коллимации астрофизических джетов. Угол раствора конуса джета зависит от величины магнитной индукции поля. Чем больше \({{B}_{\phi }}\), тем меньше угол отклонения потока. При определенных значениях \({{B}_{\phi }}\) на детекторе возможно возникновение кольцевых структур в распределении плотности, характеристики которых зависят от величины поля. Выполнено сравнение результатов моделирования с лабораторными джетами, возникающими в эксперименте на лазерной установке “Неодим”, и с ранее полученными результатами МГД моделирования образования джетов в полоидальном магнитном поле.
Ключевые слова
Об авторах
О. Д. Торопина
Институт космических исследований
Email: toropina@iki.rssi.ru
Россия, Москва
Г. С. Бисноватый-Коган
Институт космических исследований
Email: toropina@iki.rssi.ru
Россия, Москва
С. Г. Моисеенко
Институт космических исследований
Автор, ответственный за переписку.
Email: toropina@iki.rssi.ru
Россия, Москва
Список литературы
- A. S. Wilson and Y. Yang, Astrophys. J. 568, 133 (2002).
- H. L. Marshall, B. P. Miller, D. S. Davis, E. S. Perlman, M. Wise, C. R. Canizares, and D. E. Harris, Astrophys. J. 564, 683 (2002).
- H. L. Marshall, D. E. Harris, J. P. Grimes, J. J. Drake, et al., Astrophys. J. 549, L167 (2001).
- G. S. Bisnovatyi-Kogan, B. V. Komberg, and A. M. Fridman, Soviet Astron. 13, 369 (1969).
- G. S. Bisnovatyi-Kogan, Proc. 6th Int. Workshop of the Astronomical Observatory of Capodimonte (OAC 6), Capri, Italy, 1991 September 18–21, edited by L. Errico and A. A. Vittone (Dordrecht: Kluwer), Astrophys. Space Sci. Library 186, 369 (1993).
- W. Fu, E. P. Liang, P. Tzeferacos, and D. Q. Lamb, High Energy Density Physics 17, 42 (2015).
- K. N. Mitrofanov, V. I. Krauz, V. V. Myalton, V. P. Vinogradov, A. M. Kharrasov, and Yu. V. Vinogradova, Astron. Rep. 61, 138 (2017).
- I. Yu. Kalashnikov, V. I. Krauz, and V. M. Chechetkin, J. Physics: Conference Series 798, id. 012008 (2017).
- I. Yu. Kalashnikov, A. V. Dodin, I. V. Il’ichev, V. I. Krauz, and V. M. Chechetkin, Astron. Rep. 65, 477 (2021).
- В. С. Бескин, Я. Н. Истомин, А. М. Киселев, В. И. Крауз и др., Изв. ВУЗов. Радиофизика 59, 1004 (2016).
- B. Albertazzi, A. Ciardi, M. Nakatsutsumi, T. Vinci, et al. Science, 346, 325 (2014).
- C. D. Gregory, B. Loupias, J. Waugh, P. Barroso, et al., Plasma Phys. Control. Fusion 50 (12), id. 124039 (2008).
- C. D. Gregory, B. Loupias, J. Waugh, S. Dono, et al., Phys. Plasmas 17, id. 052708 (2010).
- C. D. Gregory, A. Diziere, H. Aoki, H. Tanji, et al., High Energy Density Physics 11, 12 (2014).
- V. S. Belyaev, G. S. Bisnovatyi-Kogan, A. I. Gromov, B. V. Zagreev, A. V. Lobanov, A. P. Matafonov, S.G. Moiseenko, and O. D. Toropina, Astron. Rep. 62, 162 (2018).
- V. S. Belyaev, V. I. Vinogradov, A. P. Matafonov, A. M. Chekmarev, and A. G. Karabadzhak, Laser Phys. 16 (3), 477 (2006).
- V. I. Mazhukin, A. V. Shapranov, M. M. Demin, A. A. Samokhin, and A. E. Zubko, Math. Montisnigri 37, 24 (2016).
- V. I. Mazhukin, A. V. Shapranov, M. M. Demin, A. A. Sa-mokhin, and A. E. Zubko, Math. Montisnigri 38, 3 (2017).
- V. I. Mazhukin, M. M. Demin, and A. V. Shapranov, A-ppl. Surface Sci. 302, 6 (2014).
- Л. Д. Ландау, Е. М. Лившиц, Электродинамика сплошных сред (М.: Наука, 1982).
- D. D. Ryutov, R. P. Drake, and B. A. Remington, Astrophys. J. Suppl. 127, 465 (2000).
- S. Bouquet, E. Falize, C. Michaut, C. D. Gregory, B. Loupias, T. Vinci, and M. Koenig, High Energy Density Physics 6, 368, 2010.
- V. T. Zhukov, A. V. Zabrodin, and O. B. Feodoritova, Comp. Math. and Math. Physics 33, 1099 (1993).
- Э. Оран, Дж. Борис, Численное моделирование реагирующих потоков (М.: Мир, 1990).
- J. P. Boris and D. L. Book, J. Comput. Phys. 11, 38 (1973).
- V. V. Savelyev and V. M. Chechetkin, Astron. Rep. 39, 123 (1995).
- V. V. Savelyev, Yu. M. Toropin, and V. M. Chechetkin, Astron. Rep. 40, 494 (1996).
- O. D. Toropina, M. M. Romanova, Yu. M. Toropin, and R. V. E. Lovelace, Astrophys. J. 561, 964 (2001).
- O. D. Toropina, M. M. Romanova, and R. V. E. Lovelace, Monthly Not. Roy. Astron. Soc. 420, 810 (2012).
Дополнительные файлы













