Влияние полоидального магнитного поля на параметры и динамику плазменного потока, генерируемого в плазмофокусном разряде, при лабораторном моделировании струйных выбросов молодых звездных объектов
- Авторы: Крауз В.И.1, Виноградов В.П.1, Харрасов А.М.1, Мялтон В.В.1, Митрофанов К.Н.2, Бескин В.С.3,4, Виноградова Ю.В.1, Ильичев И.В.1
-
Учреждения:
- НИЦ “Курчатовский институт”
- ТРИНИТИ
- Физический институт им. П.Н. Лебедева РАН
- Московский физико-технический институт (национальный исследовательский университет)
- Выпуск: Том 100, № 1 (2023)
- Страницы: 19-31
- Раздел: СТАТЬИ
- URL: https://journal-vniispk.ru/0004-6299/article/view/139052
- DOI: https://doi.org/10.31857/S0004629923010048
- EDN: https://elibrary.ru/NPODNE
- ID: 139052
Цитировать
Полный текст
Аннотация
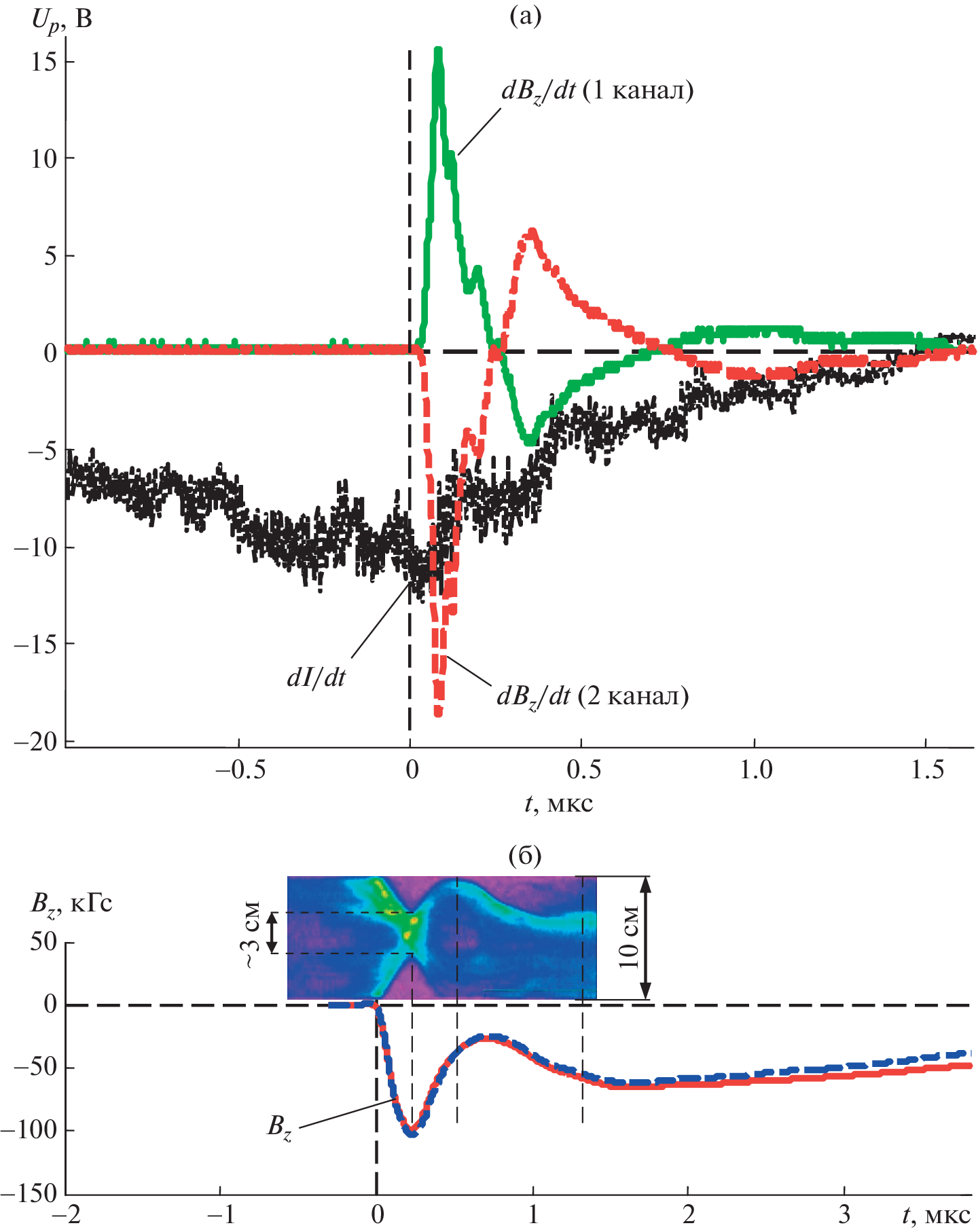
Лабораторное моделирование является эффективным инструментом исследования астрофизических процессов. В работе рассмотрена схема моделирования джетов молодых звездных объектов с помощью установки плазменный фокус при наложении внешнего полоидального магнитного поля. Обсуждаются механизмы усиления полоидального магнитного поля в области формирования плазменного потока токопроводящей плазменной оболочкой при ее сжатии к оси системы вплоть до значений ~100 кГс. Магнитозондовые измерения показали, что существенно возрастает величина компонента поля и непосредственно в плазменном потоке, при этом направление захваченного потоком поля соответствует направлению внешнего приложенного поля. Также наблюдается увеличение и тороидального компонента магнитного поля. Сделан вывод, что данный эксперимент достаточно точно моделирует процессы в молодых звездных объектах, включая вопросы аккреции и работы “центральной машины”.
Ключевые слова
Об авторах
В. И. Крауз
НИЦ “Курчатовский институт”
Email: astrep@pleiadesonline.com
Россия, Москва
В. П. Виноградов
НИЦ “Курчатовский институт”
Email: astrep@pleiadesonline.com
Россия, Москва
А. М. Харрасов
НИЦ “Курчатовский институт”
Email: astrep@pleiadesonline.com
Россия, Москва
В. В. Мялтон
НИЦ “Курчатовский институт”
Email: astrep@pleiadesonline.com
Россия, Москва
К. Н. Митрофанов
ТРИНИТИ
Email: astrep@pleiadesonline.com
Россия, Троицк
В. С. Бескин
Физический институт им. П.Н. Лебедева РАН; Московский физико-технический институт (национальный исследовательский университет)
Email: astrep@pleiadesonline.com
Россия, Москва; Россия, Долгопрудный
Ю. В. Виноградова
НИЦ “Курчатовский институт”
Email: astrep@pleiadesonline.com
Россия, Москва
И. В. Ильичев
НИЦ “Курчатовский институт”
Автор, ответственный за переписку.
Email: astrep@pleiadesonline.com
Россия, Москва
Список литературы
- B. A. Remington, R. P. Drake, D. D. Ryutov, Rev. of Mod. Phys. 78, 755 (2006).
- G. Haro, Astron. J. 55, 72 (1950).
- G. H. Herbig, Astrophys. J. 111, 11 (1950).
- V. S. Beskin MHD flows in compact astrophysical objects (Heidelberg: Springer, 2010).
- V. S. Beskin, A. V. Chernoglazov, A. M. Kiselev, E. E. Nokh-rina, Monthly Not. Roy. Astron. Soc. 472, 3971 (2017).
- V. I. Krauz, V. S. Beskin, E. P. Velikhov, International Journal of Modern Physics D. 27, 1844009 (2018).
- В. С. Бескин, Я. Н. Истомин, А. М. Киселев, В. И. Крауз, К. Н. Митрофанов, В. В. Мялтон, Е. Е. Нохрина, Д. Н. Собьянин, А. М. Харрасов, Известия высших учебных заведений: Радиофизика 59, 1004 (2016).
- В. И. Крауз, Д. А. Войтенко, К. Н. Митрофанов, В. В. Мялтон, Р. М. Аршба, Г. И. Астапенко, А. И. Мар-колия, А. П. Тимошенко, ВАНТ. Сер. Термоядерный синтез 38 (2), 19 (2015).
- V. I. Krauz, M. Paduch, K. Tomaszewski, K. N. Mitrofa-nov, A. M. Kharrasov, A. Szymaszek, E. Zielinska, EPL 129, 15003 (2020).
- К. Н. Митрофанов, В. И. Крауз, В. В. Мялтон, Е. П. Ве-лихов, В. П. Виноградов, Ю. В. Виноградова, ЖЭТФ 146, 1035 (2014).
- К. Н. Митрофанов, В. И. Крауз, В. В. Мялтон, В. П. Виноградов, А. М. Харрасов, Ю. В. Виноградова, Астрон. журн. 94, 152 (2017).
- В. И. Крауз, К. Н. Митрофанов, Д. А. Войтенко, Г. И. Астапенко, А. И. Марколия, А. П. Тимошенко, Астрон. журн. Т. 96, 156 (2019).
- V. I. Krauz, K. N. Mitrofanov, M. Paduch, K. Tomaszewski, A. Szymaszek, E. Zielinska, V. I. Pariev, V. S. Bes-kin, Ya. N. Istomin, Journal of Plasma Physics 86, 905860607 (2020).
- В. И. Крауз, К. Н. Митрофанов, В. В. Мялтон, И. В. Ильичев, А. М. Харрасов, Ю. В. Виноградова, Физика плазмы 47, 829 (2021).
- Г. Г. Зукакишвили, К. Н. Митрофанов, Е. В. Грабовский, Г. М. Олейник, Физика плазмы 31, 707 (2005).
- F. Suzuki-Vidal, S. V. Lebedev, S. N. Bland, G. N. Hall, A. J. Harvey-Thompson, J. P. Chittenden, A. Marocchino, S. C. Bott, J. Palmer, A. Ciardi, IEEE Trans. Plasma Sci. 38, 581 (2010).
- T. Byvank, J. T. Banasek, W. M. Potter, J. B. Greenly, C. E. Seyler, B. R. Kusse, Phys. Plasmas 24, 122701 (2017).
- B. Albertazzi, A. Ciardi, M. Nakatsutsumi, T. Vinci, J. Béard, R. Bonito, J. Billette, M. Borghesi, Z. Burkley, S. N. Chen, T. E. Cowan, T. Herrmannsdörfer, D. P. Higginson, F. Kroll, S. A. Pikuz, K. Naughton, L. Romagnani, C. Riconda, G. Revet, R. Riquier, H. P. Schlenvoigt, I. Yu. Skobelev, A. Ya. Faenov, A. Soloviev, M. Huarte-Espinosa, A. Frank, O. Portugall, H. Pépin, J. Fuchs, Science 17(10), 325 (2014).
- K. Burdonov, W. Yao, A. Sladkov, R. Bonito, S. N. Chen, A. Ciardi, A. Korzhimanov, A. Soloviev, M. Starodubtsev, R. Zemskov, S. Orlando, M. Romanova, J. Fuchs., Astron. and Astrophys. 657, A112 (2022).
- Ю. П. Захаров, А. Г. Пономаренко, В. А. Терехин, В. Г. Посух, И. Ф. Шайхисламов, А. А. Чибранов, Квантовая электроника 49, 181 (2019).
- V. I. Krauz, K. N. Mitrofanov, M. Scholz, M. Paduch, P.Kubes, L. Karpinski, E. Zielinska, EPL 98, 45001 (2012).
- В. П. Виноградов, В. И. Крауз, А. Н. Мокеев, В. В. Мял-тон, А. М. Харрасов, Физика плазмы 42, 1033 (2016).
- Д. А. Войтенко, С. С. Ананьев, Г. И. Астапенко, А. Д. Басилая, М. Марколия, К. Н. Митрофанов, В. В. Мялтон, А. П. Тимошенко, А. М. Харрасов, В. И. Крауз, Физика плазмы 43, 967 (2017).
- В. И. Крауз, К. Н. Митрофанов, В. В. Мялтон, В. П. Виноградов, Ю. В. Виноградова, Е. В. Грабовский, Г. Г. Зукакишвили, В. С. Койдан, А. Н. Мокеев, Физика плазмы 36, 997 (2010).
- V. Krauz, V. Myalton, V. Vinogradov, E. Velikhov, S. Ana-nyev, S. Dan’ko, Yu. Kalinin, A. Kharrasov, K. Mitrofa-nov, Yu. Vinogradova, in 42nd EPS Conference on Plasma Physics Lisbon, Portugal, 2015, Vol. 39E, ISBN 2‑914771-98-3, 4.401 http://ocs.ciemat.es/EPS2015PAP/pdf/P4.401.pdf.
- I. Il’ichev, V. Krauz, V. Myalton, A. Kharrasov, Eur. Phys. J. Plus. 136, 557 (2021) https://doi.org/10.1140/epjp/s13360-021-01514-9
- В. И. Крауз, К. Н. Митрофанов, А. М. Харрасов, И. В. Ильичев, В. В. Мялтон, С. С. Ананьев, В. С. Бес-кин, Астрон. журн. 98, 29 (2021).
- В. С. Бескин, И. Ю. Калашников, ПАЖ 46, 494 (2020).
- В. С. Бескин, Астрон. журн. 100, принято в печать (2023).
- R. E. Pudritz, T. P. Ray, Frontiers in Astronomy and Space Sciences 6, 54 (2019).
Дополнительные файлы















