Effect of the Eccentricity of the Planet’s Orbit on the Limb Darkening Coefficients of the Eclipsed Star
- Autores: Bekesov E.V.1,2, Cherepashchuk A.M.1,2
-
Afiliações:
- Sternberg Astronomical Institute
- Moscow State University
- Edição: Volume 100, Nº 2 (2023)
- Páginas: 173-185
- Seção: Articles
- URL: https://journal-vniispk.ru/0004-6299/article/view/139064
- DOI: https://doi.org/10.31857/S0004629923020020
- EDN: https://elibrary.ru/CIZPKY
- ID: 139064
Citar
Texto integral
Resumo
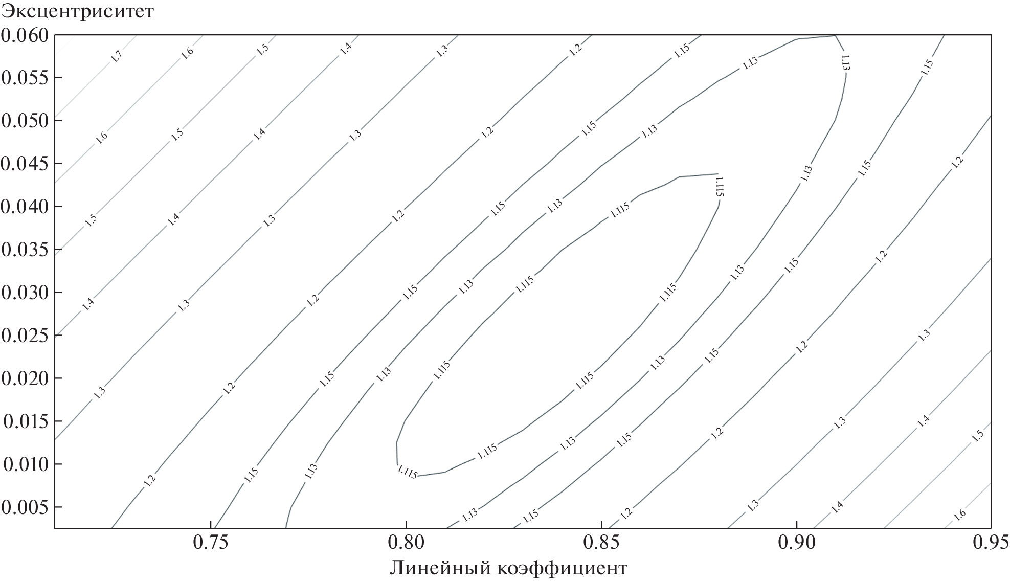
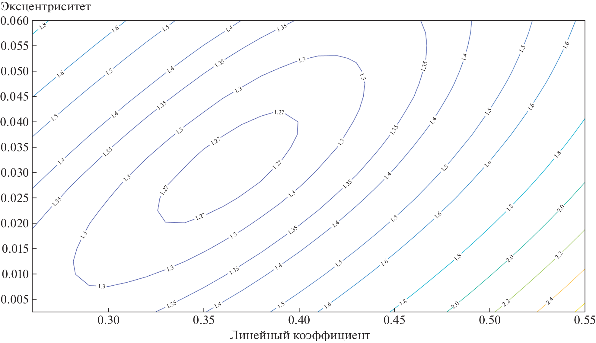
It is shown that the introduction of a small orbital eccentricity into the model of a binary system with an exoplanet, which is allowed by errors in determining the radial velocities of the eclipsed star, makes possible to significantly reduce and even eliminate the difference in the wavelength dependences between the observed and theoretical values of the limb darkening coefficients of the star HD 209458.
Palavras-chave
Sobre autores
E. Bekesov
Sternberg Astronomical Institute; Moscow State University
Email: egor03121996@mail.ru
Moscow, Russia; Moscow, Russia
A. Cherepashchuk
Sternberg Astronomical Institute; Moscow State University
Autor responsável pela correspondência
Email: cherepashchuk@gmail.com
Moscow, Russia; Moscow, Russia
Bibliografia
- M. Mayor and D. Queloz, Nature 378, 355 (1995).
- Н. А. Сахибулин, Экзопланеты (Казань: Изд-во Казанского университета, 2020).
- B. Charbonneau, T. M. Brown, D. W. Latham, and M. Mayor, Astrophys. J. 529, L45 (2000).
- G. W. Henry, G. W. Marcy, R. P. Butler, and S. S. Vogt, Astrophys. J. 529 L41 (2000).
- J. Southworth, Monthly Not. Roy. Astron. Soc. 386, 1644 (2008).
- T. M. Brown, D. Charbonneau, R. L. Gilleand, and R. W. Noyes, Astrophys. J. 552, 699 (2001).
- J. F. Rowe, Astrophys. J. 646, 1241 (2006).
- М. К. Абубекеров, Н. Ю. Гостев, А. М. Черепащук, Астрон. журн. 88 (12), 1139 (2011).
- H. A. Knutson, D. Charbonneau, L. Allen, A. Burrows, and S. T. Megeath, Astrophys. J. 673, 526 (2007).
- A. Claret, Astron. and Astrophys. 428, 1001 (2004).
- М. К. Абубекеров, Н. Ю. Гостев, А. М. Черепащук, Астрон. журн. 87, 1199 (2010).
- A. Claret, Astron. and Astrophys. 506, 1335 (2009).
- M. K. Abubekerov and N.Y. Gostev, Monthly Not. Roy. Astron. Soc. 459, 2078 (2016).
- M. K. Abubekerov and N. Y. Gostev, Astron. and Astrophys. 633, id. A96 (2020).
- P. E. Cubillos, L. Fossati, T. Koskinen, M. E. Young, M. Salz, K. France, A. G. Sreejith, and C. A. Haswell, Astron. J. 159 (3), 111 (2020).
- И. Кудзей, Бюлл. Абастум. Астрофиз. обсерв. 58 (1985).
- И. Кудзей, Астрон. циркуляр № 1363 (1985).
- S. Kasuya, M. Honda, and R. Mishima, Monthly Not. Roy. Astron. Soc. 411, 1863 (2011).
- S. Faigler and T. Mazeh, Monthly Not. Roy. Astron. Soc. 415, 3921 (2011).
- A. G. Snellen, E. J. W. de Mooij, and S. Albrecht, Nature 459 (7246), 543 (2009).
- L. J. Rosenthal, B. J. Fulton, L. A. Hirsch, H. T. Isaacson, et al., Astrophys. J. 255 (1), id. 8 (2021).
- A. S. Bonomo, S. Desidera, S. Benatti, F. Borsa, et al., Astron. and Astrophys. 602, id. A107 (2017).
- Е. В. Бекесов, А. А. Белинский, С. Б. Попов, Астрон. журн. 98 (12), 1043 (2021).
- А. М. Черепащук, Тесные двойные звезды. Часть 1 (М.: ФИЗМАТЛИТ, 2013), с. 180.
- S. Poddaný, L. Brát, and O. Pejcha, New Astronomy 15 (3), 297 (2010).
- J. Southworth, Monthly Not. Roy. Astron. Soc. 408 (3), 1689 (2010).
- A. Claret and S. Bloemen, Astron. and Astrophys. 529, id. A75 (2011).
- J. Eastman, B. S. Gaudi, and E. Agol, Publ. Astron. Soc. Pacific 125 (923), 83 (2013).
- C. del Burgo and C. A. Prieto, Monthly Not. Roy. A-stron. Soc. 462 (2), 1400 (2016).
- T. Boyajian, K. von Braun, G. A. Feiden, D. Huber, et al., Monthly Not. Roy. Astron. Soc. 447 (1), 846 (2015).
- K. G. Stassun, K. A. Collins, and B. S. Gaudi, Astron. J. 153 (3), 136 (2017).
Arquivos suplementares










