Исследование переменности параметров Стокса и магнитного поля в G43.8–0.1 в линии OH 1665 МГц
- Авторы: Ашимбаева Н.Т.1, Лехт Е.Е.1, Краснов В.В.2, Толмачев А.М.3
-
Учреждения:
- Московский государственный университет им. М.В. Ломоносова, Государственный астрономический институт им. П.К. Штернберга
- Астрокосмический центр Физического института им. П.Н. Лебедева РАН
- Пущинская радиоастрономическая обсерватория, Астрокосмический центр Физического института им. П.Н. Лебедева РАН
- Выпуск: Том 100, № 3 (2023)
- Страницы: 243-257
- Раздел: СТАТЬИ
- URL: https://journal-vniispk.ru/0004-6299/article/view/139070
- DOI: https://doi.org/10.31857/S0004629923020019
- EDN: https://elibrary.ru/CIZGVW
- ID: 139070
Цитировать
Полный текст
Аннотация
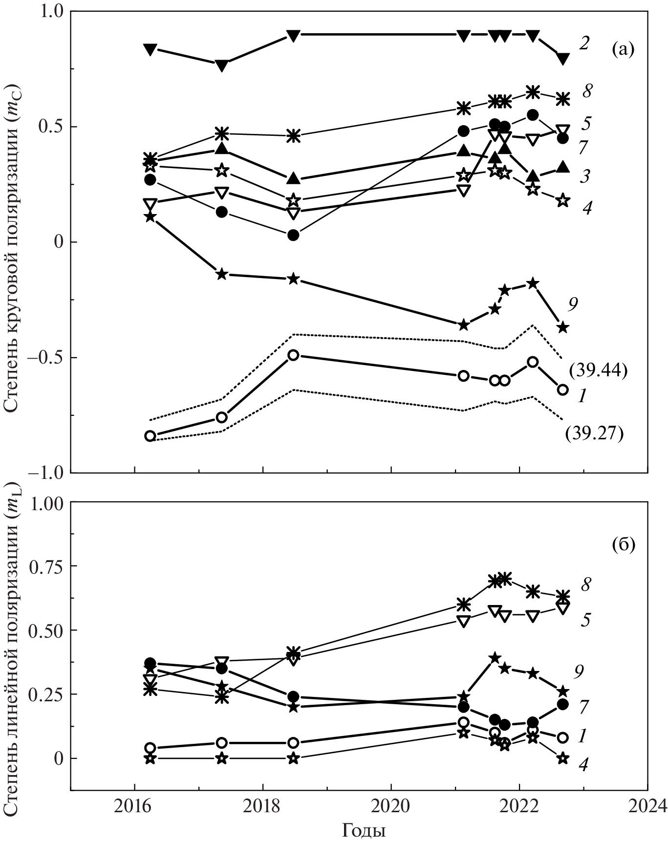
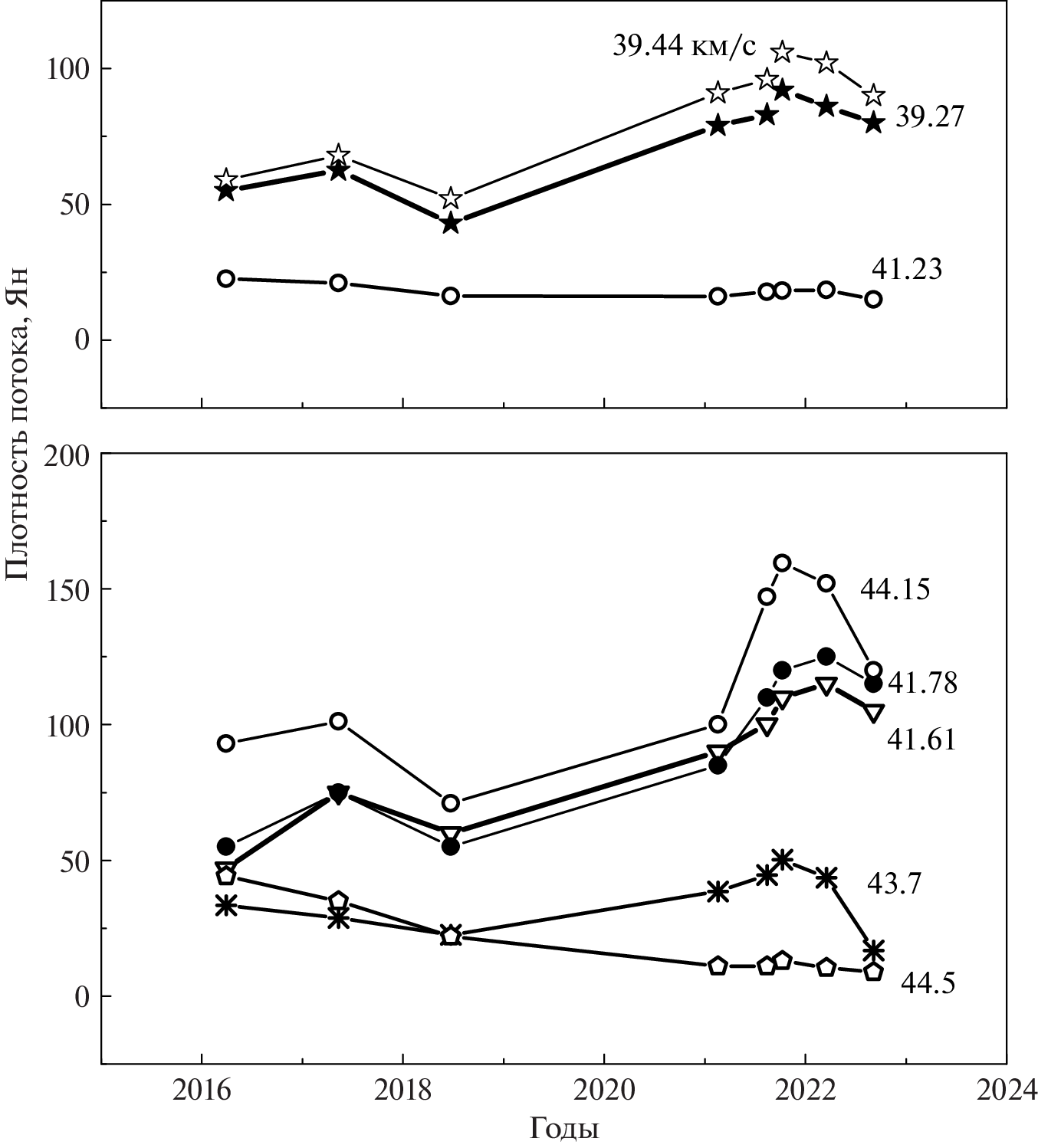
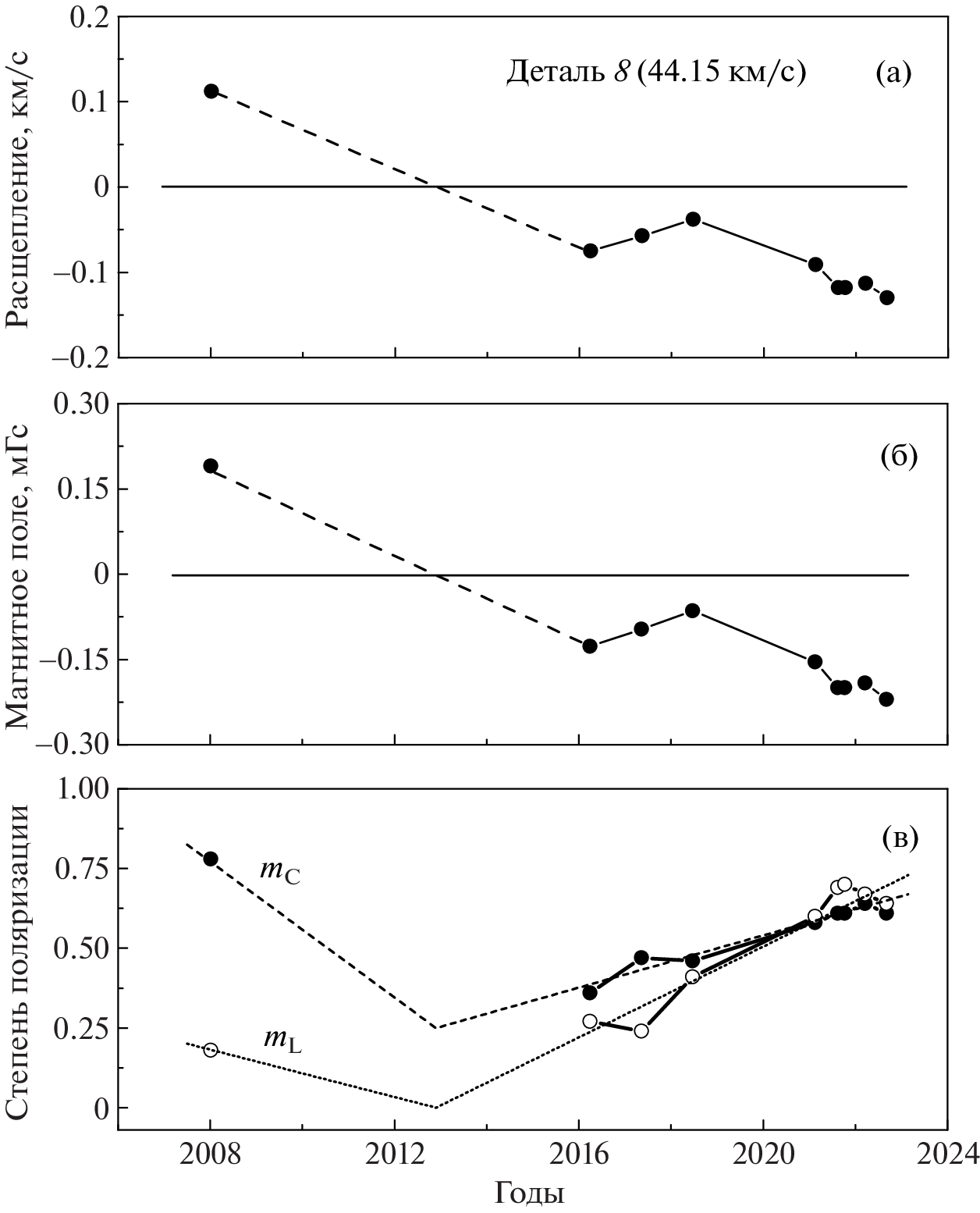
Представлены результаты исследования переменности мазерного излучения в линии OH 1665 МГц в области звездообразования G43.8–0.1 из наблюдений (мониторинга) в 2008–2022 гг. на Большом радиотелескопе в Нансэ (Франция). Обнаружена переменность всех параметров поляризации большинства спектральных деталей, которая носит монотонный регулярный характер. Проведено пространственное отождествление основных спектральных деталей OH в линии 1665 МГц с мазерными пятнами (конденсациями) на VLA карте. Для Зеемановской пары на \({{V}_{{{\text{LSR}}}}} = 44.15\) км/с обнаружено монотонное изменение расщепления со временем в течение 2008–2022 гг. и, следовательно, изменение величины продольного магнитного поля \({{{\text{H}}}_{\parallel }}\). По нашим расчетам в эпоху конца 2012 г. произошло изменение направления магнитного поля на противоположное. Коррелированно с \({{{\text{H}}}_{\parallel }}\) происходили изменения угла \(\chi \) и, как следствие, изменения направления вектора поперечного магнитного поля H\(_{ \bot }\). Для мазерной детали 44.5 км/с обнаружено изменение \({{{\text{H}}}_{ \bot }}\) на 180°. В период 2016–2022 гг. произошла некоторая переориентация глобального магнитного поля (\({{{\text{H}}}_{ \bot }}\)) в G43.8–0.1. Поле стало менее хаотичным: в восточной части поле в мазерных конденсациях перпендикулярно дуге, а в западной части параллельно дуге. Предполагается, что глобальное магнитное поле во всей области U H II источника G43.8–0.1 имеет одно направление: вдоль оси (северо-восток) – (юго-запад).
Ключевые слова
Об авторах
Н. Т. Ашимбаева
Московский государственный университет им. М.В. Ломоносова,Государственный астрономический институт им. П.К. Штернберга
Email: lekht@sai.msu.ru
Россия, Москва
Е. Е. Лехт
Московский государственный университет им. М.В. Ломоносова,Государственный астрономический институт им. П.К. Штернберга
Email: lekht@sai.msu.ru
Россия, Москва
В. В. Краснов
Астрокосмический центр Физического института им. П.Н. Лебедева РАН
Email: lekht@sai.msu.ru
Россия, Москва
А. М. Толмачев
Пущинская радиоастрономическая обсерватория,Астрокосмический центр Физического института им. П.Н. Лебедева РАН
Автор, ответственный за переписку.
Email: lekht@sai.msu.ru
Россия, Пущино
Список литературы
- S. H. Knowles, J. L. Caswell and W. M. Goss, Monthly Not. Roy. Astron. Soc. 175, 537 (1976).
- N. J. Evans, S. Beckwith, R. L. Brown, and W. Gilmore, Astrophys. J. 227, 450 (1979).
- H. E. Matthews, P. A. Shaver, W. M. Goss, and H. J. Ha-bing, Astron. and Astrophys. 63, 307 (1978).
- R. Genzel and D. Downes, Astron. and Astrophys. Suppl. Ser. 30, 145 (1977).
- S. Kurtz, E. Churchwell, and D. O. S. Wood, Astrophys. J. Suppl. 91, 659 (1994).
- A. L. Argon, M. J. Reid, and K. M. Menten, Astrophys. J. Suppl. 129, 227 (2000).
- V. L. Fish, M. J. Reid, A. L. Argon, and X-Wu. Zheng, Astrophys. J. Suppl. 160, 220 (2005).
- V. L. Fish and M. J. Reid, Astrophys. J. Suppl. 164, 99 (2006).
- D. Downes, R. Genzel, J. M. Moran, K. J. Jonston, L. I. Manveyenko, L. R. Kogan, V. I. Kostenko, and B. Rönnäng, Astron. and Astrophys. 79, 233 (1979).
- A. P. Sarma, T. H. Troland, R. M. Crutcher, and D. A. Ro-berts, Astrophys. J. 580, 928 (2002).
- M. Honma, T. Bushimata, Y. K. Choi, T. Fujii, et al., Publ. Astron. Soc. Japan 57, 595 (2005).
- Y. W. Wu, M. Sato, M. J. Reid, L. Moscadelli, et al., A-stron. and Astrophys. 566, id. A17 (2014).
- Е. Е. Лехт, Астрон. журн. 71, 59 (1994).
- E. E. Lekht, Astron. and Astrophys. Suppl. Ser. 141, 185 (2000).
- П. Колом, Н. Т. Ашимбаева, Е. Е. Лехт, М. И. Пащенко, Г. М. Рудницкий, В. В. Краснов, А. М. Толмачев, Астрон. журн. 96 (10), 815 (2019).
- П. Колом, Н. Т. Ашимбаева, Е. Е. Лехт, М. И. Пащенко, Г. М. Рудницкий, А. М. Толмачев, Астрон. журн. 98 (1), 50 (2021).
- Н. Т. Ашимбаева, Е. Е. Лехт, М. И. Пащенко, В. В. Краснов, А. М. Толмачев, Астрон. журн. 99 (8), 628 (2022).
- В. И. Слыш, М. И. Пащенко, Г. М. Рудницкий, В. М. Витрищак, П. Колом, Астрон. журн. 87 (7), 655 (2010).
- R. D. Davies, in Galactic Radio Astronomy, Proc. IAU Symp. No. 60, Maroochydore, Queensland, Australia, 3–7 September, 1973, edited by F. J. Kerr, S. C. Simonson (Dordrecht-Holland, Boston: D. Reidel, 1974), p. 275.
- П. Колом, Н. Т. Ашимбаева, Е. Е. Лехт, М. И. Пащенко, Г. М. Рудницкий, А. М. Толмачев, Астрон. журн. 96 (7), 563 (2019).
- P. Colom, N. T. Ashimbaeva, E. E. Lekht, M. I. Pashchenko, G. M. Rudnitskij, V. V. Krasnov, and A. M. Tolmachev, Monthly Not. Roy. Astron. Soc. 507, 3285 (2021).
- J. M. Torrelles, N. A. Patel, G. Anglada, J. F. Gómez, et al., Astrophys. J. Letters 598, L115 (2003).
Дополнительные файлы














