Моделирование поглощения в линии Hα для экзопланеты WASP-52b
- Авторы: Шарипов С.С.1,2, Мирошниченко И.Б.1,2, Шайхисламов И.Ф.1
-
Учреждения:
- Институт лазерной физики Сибирского отделения РАН
- Новосибирский государственный технический университет
- Выпуск: Том 100, № 3 (2023)
- Страницы: 281-288
- Раздел: СТАТЬИ
- URL: https://journal-vniispk.ru/0004-6299/article/view/139073
- DOI: https://doi.org/10.31857/S0004629923030076
- EDN: https://elibrary.ru/PODJEB
- ID: 139073
Цитировать
Полный текст
Аннотация
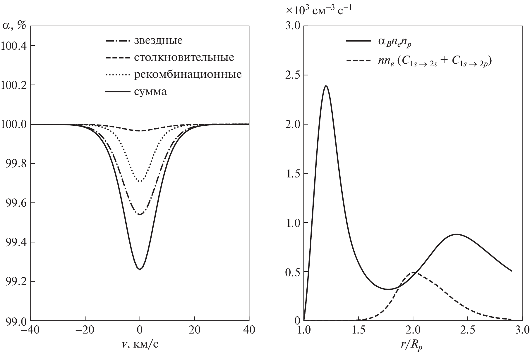
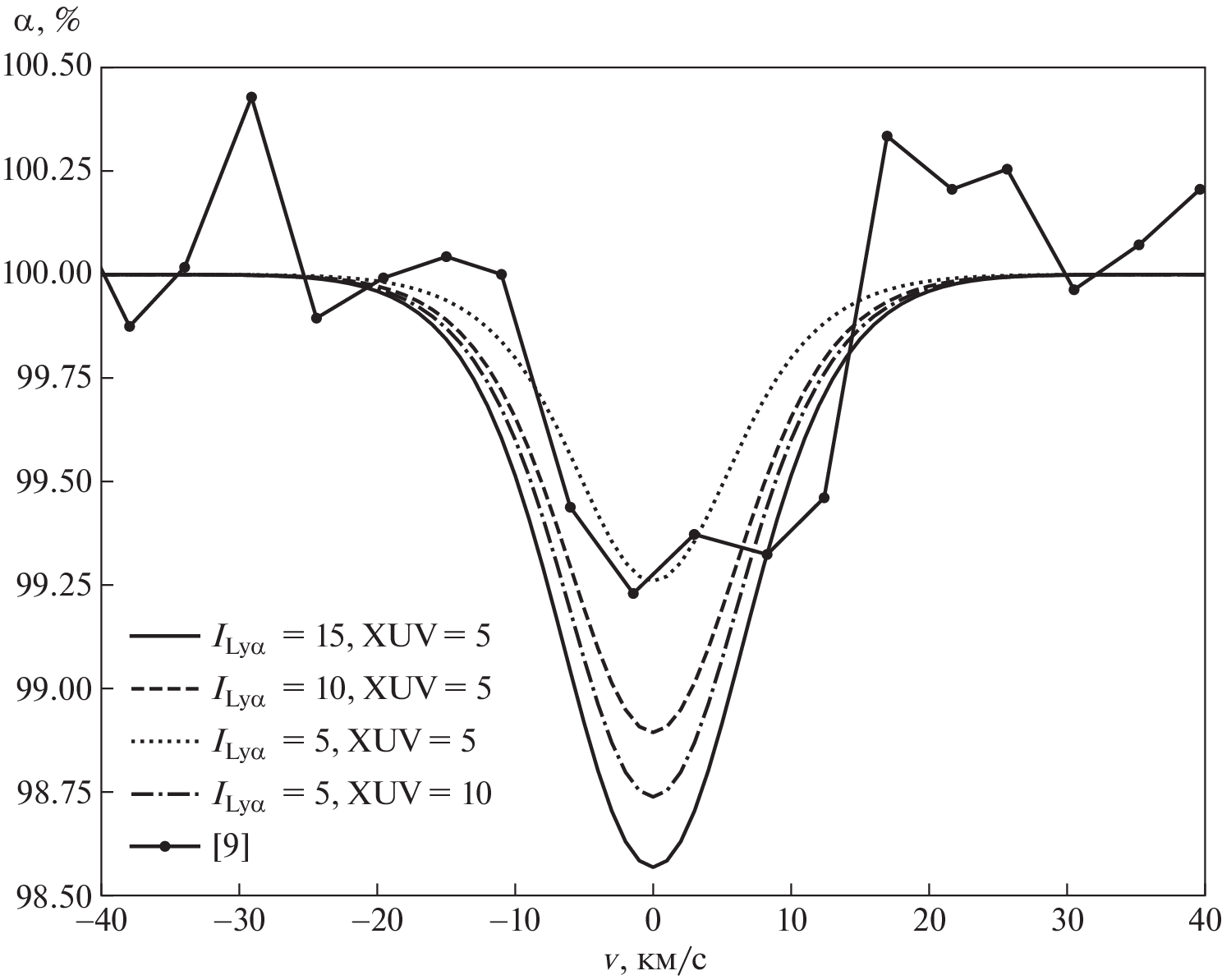
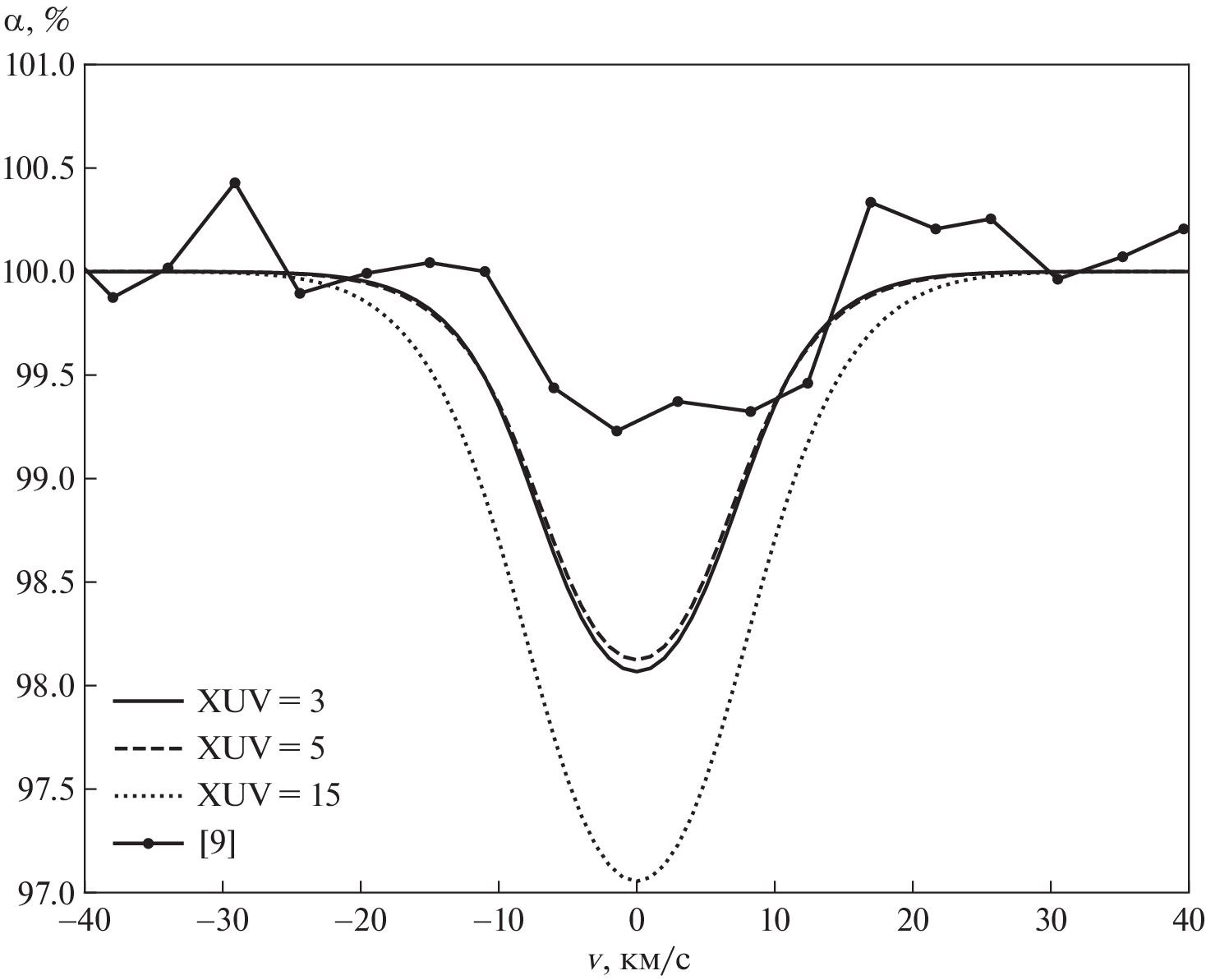
Представлены результаты моделирования Hα спектра поглощения атмосферы горячего Юпитера WASP-52b. Атмосфера моделировалась трехмерным гидродинамическим кодом. Рассматривалось несколько различных значений ионизирующего излучения XUV. Перенос Lyα фотонов в атмосфере моделировался методом Монте-Карло. Получены пространственные распределения объемной плотности возбужденных на второй энергетический уровень атомов водорода H(2), вычислены спектры поглощения в линии H\({\text{\alpha }}\), а также показано, что поглощение происходит в слое толщиной около полутора планетарных радиусов, причем наибольшее влияние на поглощение оказывают Lyα фотоны, образованные в результате рекомбинации электронов и протонов.
Ключевые слова
Об авторах
С. С. Шарипов
Институт лазерной физики Сибирского отделения РАН; Новосибирский государственный технический университет
Email: astrep@pleiadesonline.com
Россия, Новосибирск; Россия, Новосибирск
И. Б. Мирошниченко
Институт лазерной физики Сибирского отделения РАН; Новосибирский государственный технический университет
Email: astrep@pleiadesonline.com
Россия, Новосибирск; Россия, Новосибирск
И. Ф. Шайхисламов
Институт лазерной физики Сибирского отделения РАН
Автор, ответственный за переписку.
Email: astrep@pleiadesonline.com
Россия, Новосибирск
Список литературы
- A. Vidal-Madjar, J.-M. Désert, A. L. Des Etangs, G. Hébrard, G. Ballester, D. Ehrenreich, R. Ferlet, J. McConnell, M. Mayor, and C. Parkinson, Astrophys. J. 604, L69 (2004).
- A. L. Des Etangs, D. Ehrenreich, A. Vidal-Madjar, G. Ballester, J.-M. Désert, R. Ferlet, G. Hébrard, D. K. Sing, K.-O. Tchakoumegni, and S. Udry, Astron. and Astrophys. 514, A72 (2010).
- F. Yan and T. Henning, Nature Astronomy 2, 714–718 (2018).
- P. W. Cauley, E. L. Shkolnik, I. Ilyin, K. G. Strassmeier, S. Redfield, and A. Jensen, Astron. J. 157, 69 (2019).
- N. Casasayas-Barris, E. Pallé, F. Yan, G. Chen, S. Kohl, M. Stangret, H. Parviainen, C. Helling, N. Watanabe, S. Czesla, A. Fukui, P. Montañés-Rodríguez, E. Nagel, N. Narita, L. Nortmann, G. Nowak, J. H. M. M. Schmitt, and M. R. Zapatero Osorio, Astron. and Astrophys. 628, A9 (2019).
- A. G. Jensen, S. Redfield, M. Endl, W. D. Cochran, L. Koesterke, and T. Barman, Astrophys. J. 751, 86 (2012).
- P. W. Cauley, S. Redfield, A. G. Jensen, T. Barman, M. Endl, and W. D. Cochran, Astrophys. J. 810, 13 (2015).
- P. W. Cauley, S. Redfield, A. G. Jensen, and T. Barman, Astron. J. 152, 20 (2016).
- G. Chen, N. Casasayas-Barris, E. Pallé, F. Yan, M. Stangret, H. Cegla, R. Allart, and C. Lovis, Astron. and Astrophys. 635, A171 (2020).
- M. K. Alam, N. Nikolov, M. López-Morales, D. K. Sing, J. M. Goyal, G. W. Henry, J. Sanz-Forcada, M. H. Williamson, T. M. Evans, H. R. Wakeford, et al., Astron, J. 156, 298 (2018).
- J. Kirk, L. Dos Santos, M. Lopez-Morales, M. Alam, A. Oklopcic, M. MacLeod, L. Zeng, and G. Zhou, Bulletin of the American Astronomical Society 54, 102–346 (2022).
- G. Chen, E. Pallé, L. Nortmann, F. Murgas, H. Parviai-nen, and G. Nowak, Astron. and Astrophys. 600, L11 (2017).
- D. Yan, K. Seon, J. Guo, G. Chen, and L. Li, Astrophys. J. 936, 177 (2022).
- C. Huang, P. Arras, D. Christie, and Z.-Y. Li, Astrophys. J. 851, 150 (2017).
- I. Shaikhislamov, M. Khodachenko, H. Lammer, A. Be-rezutsky, I. Miroshnichenko, and M. Rumenskikh, Monthly Not. Roy. Astron. Soc. 481, 5315–5323 (2018).
- I. Shaikhislamov, M. Khodachenko, H. Lammer, A. Be-rezutsky, I. Miroshnichenko, and M. Rumenskikh, Monthly Not. Roy. Astron. Soc. 491, 3435–3447 (2020).
- I. Miroshnichenko, I. Shaikhislamov, A. Berezutskii, M. Rumenskikh, and E. Vetrova, Astronomy Reports 65, 61–69 (2021).
- M. Khodachenko, I. Shaikhislamov, H. Lammer, A. Be-rezutsky, I. Miroshnichenko, M. Rumenskikh, K. Kislyakova, and N. Dwivedi, Astrophys. J. 885, 67 (2019).
- V. Bourrier and A. L. Des Etangs, Astron. and Astrophys. 557, A124 (2013).
- Z. Zheng and J. Miralda-Escudé, Astrophys. J. 578, 33 (2002).
Дополнительные файлы









