Сравнение неустойчивостей кольцеобразных возмущений на фоне пульсирующих 2-x и 3-x-мерных самогравитирующих моделей
- Авторы: Миртаджиева К.Т.1,2, Нуритдинов С.Н.2
-
Учреждения:
- Астрономический институт АН РУз
- Национальный университет Узбекистана им. Мирзо Улугбека
- Выпуск: Том 100, № 5 (2023)
- Страницы: 461-471
- Раздел: СТАТЬИ
- URL: https://journal-vniispk.ru/0004-6299/article/view/139085
- DOI: https://doi.org/10.31857/S0004629923050079
- EDN: https://elibrary.ru/YWRUMH
- ID: 139085
Цитировать
Полный текст
Аннотация
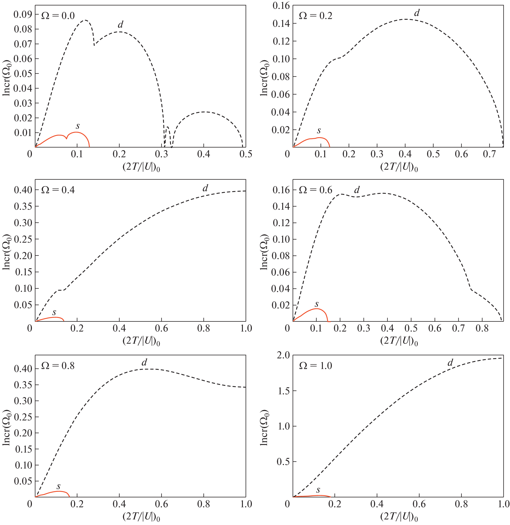
Исследована проблема гравитационной неустойчивости наблюдаемых кольцеобразных структурных мод возмущений на фоне нелинейно пульсирующей сферической модели, которая была построена на основе известного равновесного шара Камма. Нами получены нестационарные аналоги дисперсионных уравнений для рассматриваемых мод возмущений в рамках данной модели. Построены критические диаграммы начального вириального отношения от параметра вращения модели для каждого случая. Выполнен также сравнительный анализ инкрементов гравитационной неустойчивости кольцеобразных мод возмущений на фоне сферической и дисковой нелинейно пульсирующих моделей. Анализ полученных результатов показывает, что кольцеобразные моды возмущений являются более неустойчивыми преимущественно в нестационарном диске по сравнению, чем в сферической неравновесной модели независимо от значений параметров вращения и начального вириального отношения систем. Статья частично основана на докладе, представленном на конференции “Современная звездная астрономия-2022”, прошедшей в Кавказской горной обсерватории ГАИШ МГУ им. М.В. Ломоносова 8–10 ноября 2022 г.
Об авторах
К. Т. Миртаджиева
Астрономический институт АН РУз; Национальный университет Узбекистана им. Мирзо Улугбека
Email: mkt1959@mail.ru
Узбекистан, Ташкент; Узбекистан, Ташкент
С. Н. Нуритдинов
Национальный университет Узбекистана им. Мирзо Улугбека
Автор, ответственный за переписку.
Email: mkt1959@mail.ru
Узбекистан, Ташкент
Список литературы
- L. Shamir, Monthly Not. Roy. Astron. Soc. 491(3), 3767 (2020).
- R. Buta, Astrophys. J. Suppl. 96, 39 (1995).
- R. Buta, Monthly Not. Roy. Astron. Soc. 471(4), 4027 (2017).
- J. Fernandez, S. Alonso, V. Mesa, F. Duplancic, and G. Coldwell, Astron. and Astrophys. 653, id. 12 (2021).
- A. M. Fridman and V. L. Polyachenko, Physics of gravitating systems. I: Equilibrium and Stability (New-York: Springer-Verlag, 1984).
- J. Binney and S. Tremaine, Galactic dynamics (New Jersey, Princeton University Press, 2008).
- В. Г. Горбацкий, Введение в физику галактик и скоплений галактик (М.: Наука, 1986).
- С. Н. Нуритдинов, Астрон. журн. 68, 763 (1991).
- С. Н. Нуритдинов, Нелинейные модели и физика неустойчивости неравновесных бесстолкновительных самогравитирующих систем, Автореферат диссертации на соискание ученой степени доктора физ.-мат. наук, (Санкт-Петербург, 1993).
- S. N. Nuritdinov, K. T. Mirtadjieva, and Sultana Mariam, Astrophysics 51(3), 487 (2008).
- K. T. Mirtadjieva, S. N. Nuritdinov, K. A. Mannapova, and T. O. Sadibekova, Astrophysics 65(2), 247 (2022).
- Г. С. Бисноватый-Коган, Я. Б. Зельдович, Астрофизика 6(3), 387 (1970).
- И. Г. Малкин, Теория устойчивости движения (М.: Наука, 1967).
Дополнительные файлы












