Кинетическая модель воздействия звездного ветра на протяженную водородную атмосферу экзопланеты π Men c
- Авторы: Автаева А.А.1, Шематович В.И.1
-
Учреждения:
- Институт астрономии РАН
- Выпуск: Том 100, № 10 (2023)
- Страницы: 858-870
- Раздел: СТАТЬИ
- URL: https://journal-vniispk.ru/0004-6299/article/view/147882
- DOI: https://doi.org/10.31857/S000462992310002X
- EDN: https://elibrary.ru/SSGKWV
- ID: 147882
Цитировать
Полный текст
Аннотация
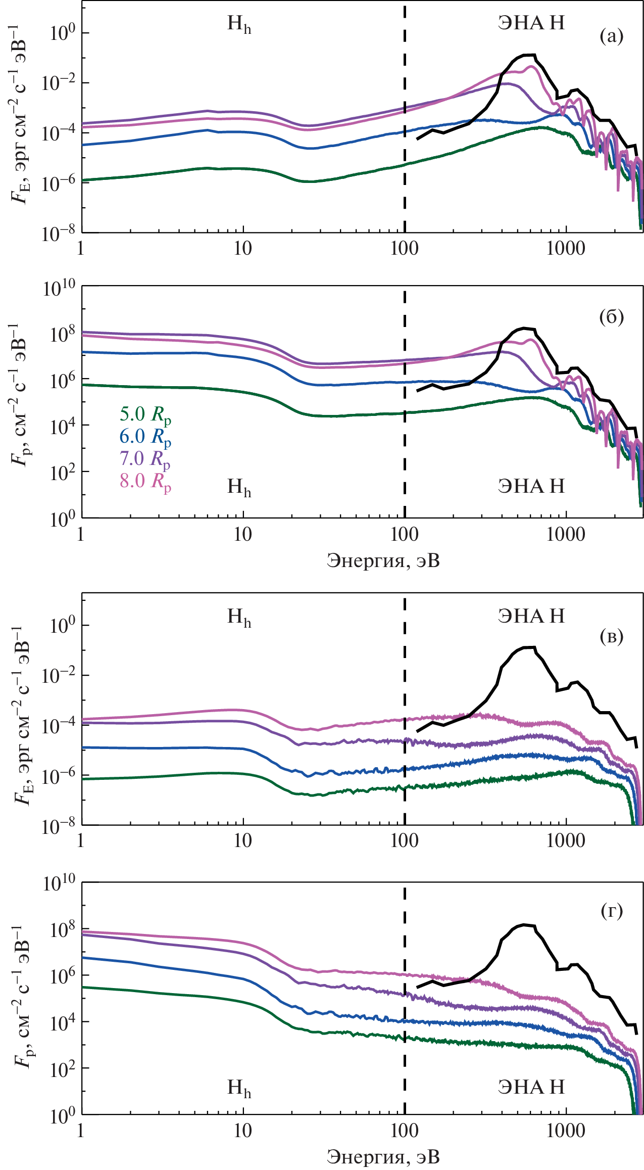
В данной работе выполнено расширение кинетической модели аэрономии верхней атмосферы экзопланеты за счет включения процессов воздействия плазмы звездного ветра на протяженную водородную корону горячего суб-нептуна. Для этого были использованы разработанные ранее кинетические модели Монте-Карло для исследования высыпания протонов и атомов водорода с высокими энергиями в планетные атмосферы. Кинетическая модель адаптирована к верхним атмосферам горячих суб-нептунов, что позволило провести расчеты скорости поглощения энергии плазмы звездного ветра в планетной короне и уточнить оценки скорости нетепловой потери атмосферы за счет воздействия звездного ветра родительской звезды. Проведенные расчеты для горячего суб-нептуна π Men c показали, что энергия проникающего в атмосферу потока энергетических нейтральных атомов водорода (ЭНА Н), образующегося при перезарядке протонов звездного ветра с тепловыми атомами водородной короны, преимущественно идет на нагрев водородной короны горячей экзопланеты.
Об авторах
А. А. Автаева
Институт астрономии РАН
Автор, ответственный за переписку.
Email: astrep@pleiadesonline.com
Россия, Москва
В. И. Шематович
Институт астрономии РАН
Email: astrep@pleiadesonline.com
Россия, Москва
Список литературы
- F. Fressin, G. Torres, D. Charbonneau, S. T. Bryson, et al., Astrophys. J. 766, 81 (2013).
- J. E. Owen, A. P. Jackson, Monthly Not. Roy. Astron. Soc. 425, 2931 (2012).
- E. D. Lopez, J. J. Fortney, N. Miller, Astrophys. J. 761, 59 (2012).
- S. Ginzburg, H. E. Schlichting, R. Sari, Astrophys. J. 825, 29 (2016).
- B. J. Fulton, E. A. Petigura, A. W. Howard, H. Isaacson, et al., Astrophys. J. 154, 109 (2017).
- J. E. Owen, Annual Review of Earth and Planetary Sciences 47, 67 (2019).
- J. E. Owen, I. F. Shaikhislamov, H. Lammer, L. Fossati, and M. L. Khodachenko, Space Sci. Rev. 216, 129 (2020).
- D. V. Bisikalo, V. I. Shematovich, P. V. Kaygorodov, and A. G. Zhilkin, Physics Uspiekhy 64, 747 (2021).
- V. Van Eylen, C. Agentoft, M. S. Lundkvist, H. Kjeldsen, et al., Monthly Not. Roy. Astron. Soc. 479, 4786 (2018).
- A. Vidal-Madjar, A. Lecavelier des Etangs, J. M. Désert, G. E. Ballester, et al., Nature 422(6928), 143 (2003).
- A. Lecavelier Des Etangs, D. Ehrenreich, A. Vidal-Madjar, G. E. Ballester, et al., Astron. and Astrophys. 514, A72, 10 (2010).
- J. R. Kulow, K. France, J. Linsky, R. O. Parke Loyd, A-strophys. J. 786, id. 132, 9 (2014).
- V. Bourrier, A. L. Des Etangs, D. Ehrenreich, J. Sanz-Forcada, et al., Astron. and Astrophys. 620, A147 (2018).
- A. García Muñoz, L. Fossati, A. Youngblood, N. Nettelmann, et al., Astrophys. J. Lett. 907, 2, L36 (2021).
- M. Lampón, M. López-Puertas, L. M. Lara, A. Sánchez-López, et al., Astron. and Astrophys. 636, A13, 14 (2020).
- V. I. Shematovich, M. Ya. Marov, Physics Uspekhi 61, 217 (2018).
- A. A. Avtaeva, V. I. Shematovich., Solar System Research 55, 150 (2021).
- A. A. Avtaeva, V. I. Shematovich, Astronomy Reports 66, 1254 (2022).
- A. A. Avtaeva, V. I. Shematovich, Solar System Research 56, 67 (2022).
- D. V. Bisikalo, P. Kaygorodov, D. Ionov, V.I. Shematovich, H. Lammer, L. Fossati, Astrophys. J. 764, id. 19, 5 (2013).
- T. Matsakos, A. Uribe, A. Königl, Astron. and Astrophys. 578, id. A6, 17 (2015).
- I. Pillitteri, A. Maggio, G. Micela, S. Sciortino, S. J. Wolk, T. Matsakos, Astrophys. J. 805, 1, id. 52, 18 (2015).
- I. F. Shaikhislamov, M. L. Khodachenko, H. Lammer, K. G. Kislyakova, et al., Astrophys. J. 832, id. 173, 20 (2016).
- J. E. Owen, R. A. Murray-Clay, E. Schreyer, H. E. Schli-chting et al., Monthly Not. Roy. Astron. Soc. 518, 4357 (2023).
- V. I. Shematovich, D. V. Bisikalo, J. C. Gérard, B. Hubert, Astronomy Reports 63, 835 (2019).
- V. I. Shematovich, D. V. Bisikalo, A. G. Zhilkin, Astronomy Reports 65, 203 (2021).
- C. X. Huang, J. Burt, A. Vanderburg, M. N. Guenther, et al., Astrophys. J. Lett. 868, id. L39, 8 (2018).
- D. Gandolfi, O. Barragán, J. H. Livingston, and 29 more, Astron. and Astrophys. 619, L10, 10 (2018).
- A. García Muñoz, A. Youngblood, L. Fossati, D. Gandolfi, J. Cabrera, H. Rauer, Astrophys. J. Lett. 888, L21, 12 (2020).
- I. F. Shaikhislamov, L. Fossati, M. L. Khodachenko, H. Lammer, et al., Astron, and Astrophys. 639, A109 (2020).
- J. S. Halekas, R. J. Lillis, D. L. Mitchell, T. E. Cravens, et al., Geophysical Research Letters 42, 8901 (2015).
- V. I. Shematovich, Solar System Research 44, 96 (2010).
- V. I. Shematovich, D. V. Bisikalo, C. Dieval, S. Barabash, et al., Journal of Geophysical Research 116, A11320 (2011).
- V. I. Shematovich, D. V. Bisikalo, Astronomy Reports 64, 863 (2020).
- A. A. Vidotto, A. Cleary, Monthly Not. Roy. Astron. Soc. 494, 2417 (2020).
- S. Carolan, A. A. Vidotto, C. Villarreal D’Angelo, G. Hazra, Monthly Not. Roy. Astron. Soc. 500, 3382 (2021).
Дополнительные файлы








