Влияние радиационных сил на наблюдаемое положение и эволюцию орбиты объектов космического мусора с большим отношением площади к массе
- Авторы: Санникова Т.Н.1
-
Учреждения:
- Крымская астрофизическая обсерватория РАН
- Выпуск: Том 100, № 10 (2023)
- Страницы: 898-917
- Раздел: СТАТЬИ
- URL: https://journal-vniispk.ru/0004-6299/article/view/147885
- DOI: https://doi.org/10.31857/S0004629923080091
- EDN: https://elibrary.ru/HNLPQU
- ID: 147885
Цитировать
Полный текст
Аннотация
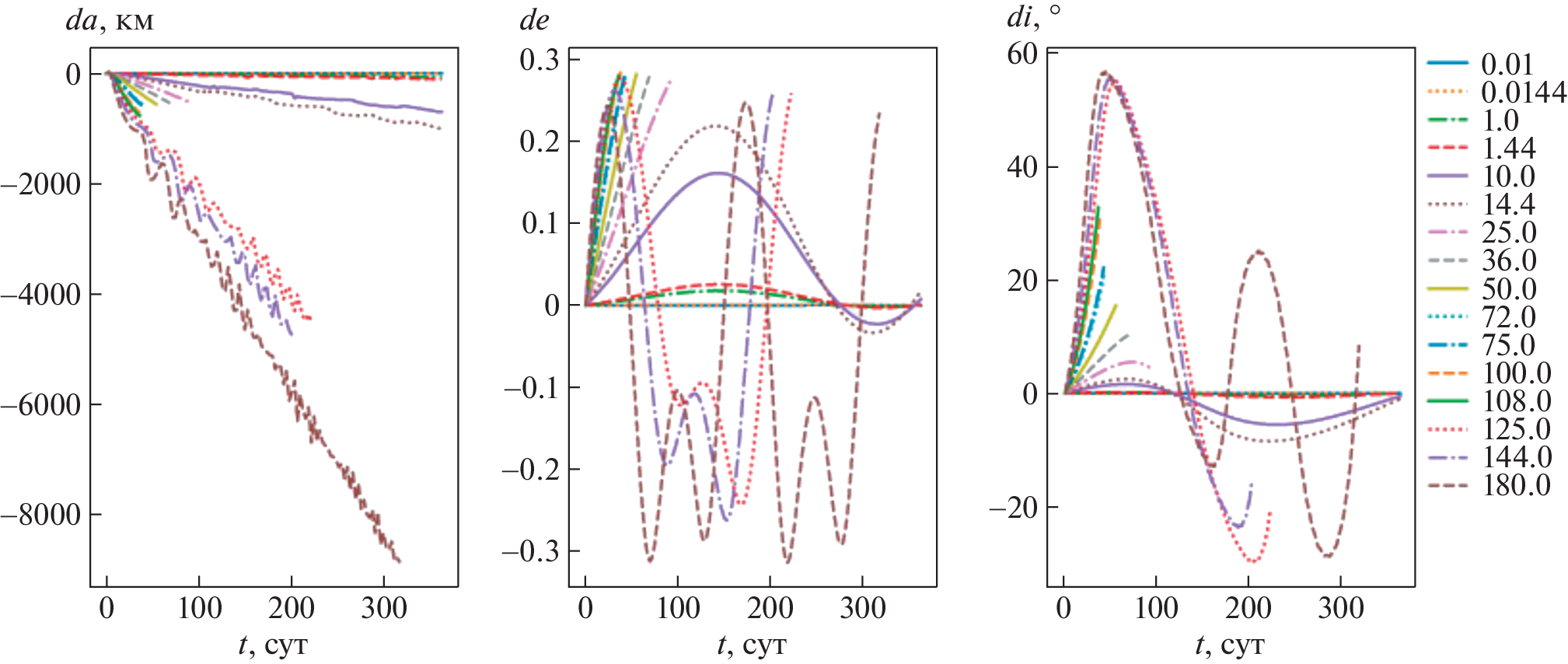
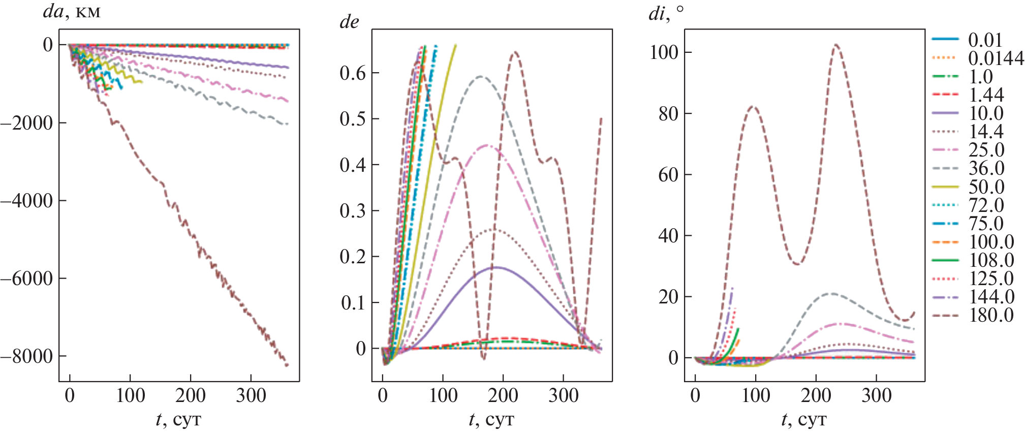
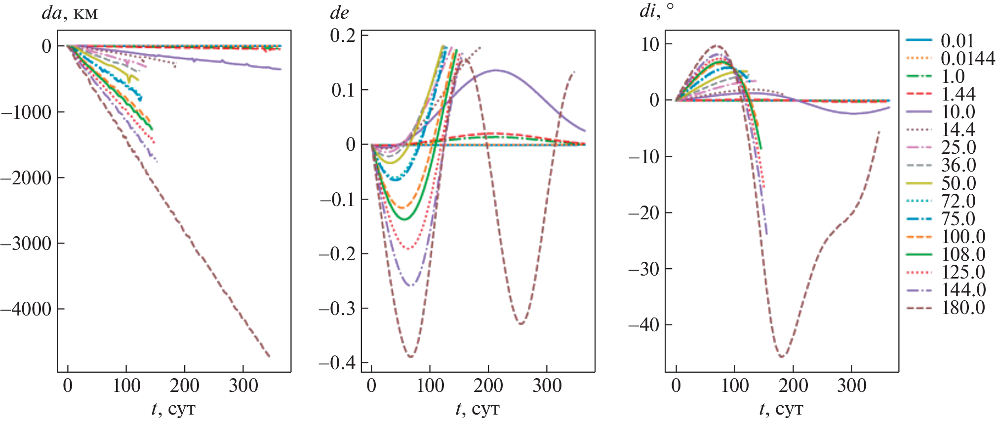
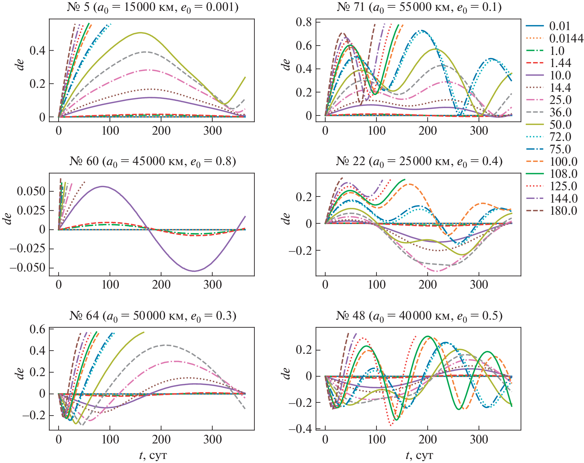
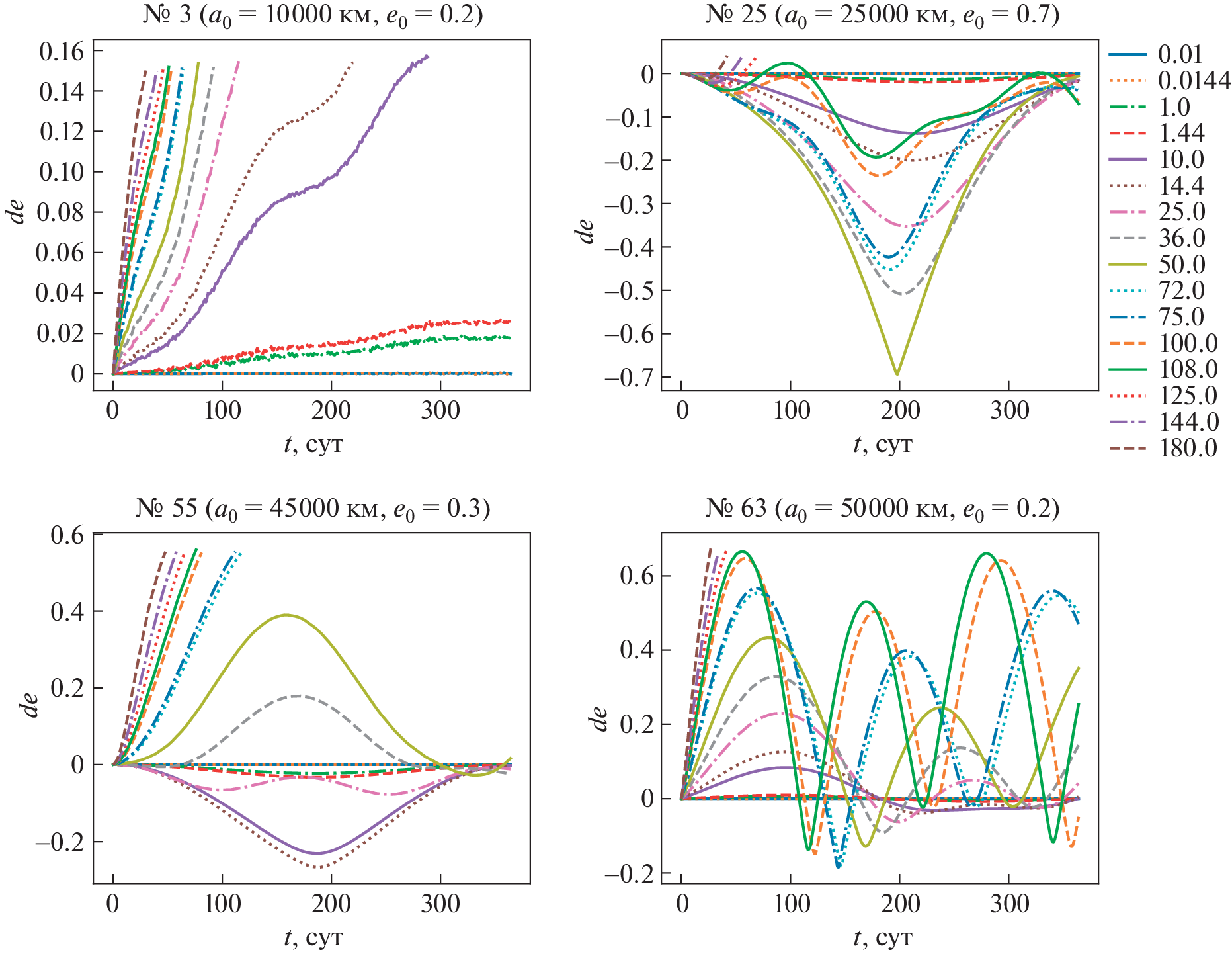
Данное исследование посвящено оценке влияния светового давления на наблюдаемое положение и элементы орбиты объектов космического мусора с большим отношением площади к массе \(A{\text{/}}m\) в области средневысоких, геостационарных и высокоэллиптических орбит на коротких интервалах времени (до 1 года). Выполнено численное интегрирование орбит 78 модельных объектов при 8 значениях \(A{\text{/}}m\) от 0.01 до 125 м2/кг и двух значениях коэффициента отражения \(k = 1.0\) и 1.44. Определены максимальные (в течение заданных периодов времени) угловые расстояния относительно подспутниковой точки на поверхности Земли между положениями, найденными с учетом радиационных сил и без их учета, а также максимальные в течение времени интегрирования изменения большой полуоси, эксцентриситета и наклона орбиты под влиянием радиационных сил. Получено, что для всех объектов наблюдается отрицательный дрейф большой полуоси. У моделей с большими полуосями 10 000, 15 000 и 20 000 км вариации наклона не превышают \(15^\circ \). Среди остальных объектов при \(\gamma = kA{\text{/}}m \geqslant 50\) м2/кг зафиксированы случаи обусловленных световым давлением переходов от прямого движения к обратному (и наоборот), что говорит о возможности флипов плоскости орбиты под влиянием радиационных сил даже в краткосрочной перспективе. Приведены продолжительности успешного интегрирования (время жизни объекта на орбите): для большинства моделей с \(\gamma \geqslant 50.0\) м2/кг оно составило менее 1 года. Также представлены интервалы времени, в течение которых смещение возмущенного под влиянием радиационных сил положения от невозмущенного не превышает \(5{\kern 1pt} '\), \(45{\kern 1pt} '\) и \(3^\circ \) в зависимости от величины \(\gamma \), большой полуоси и эксцентриситета в начальную эпоху. Опираясь на результаты статьи, можно оценить необходимую периодичность наблюдений объектов с большим \(A{\text{/}}m\).
Об авторах
Т. Н. Санникова
Крымская астрофизическая обсерватория РАН
Автор, ответственный за переписку.
Email: tnsannikova@craocrimea.ru
Россия, Научный
Список литературы
- ESA’s Space Debris Office at ESOC, Darmstadt. Space Debris by the numbers. (2023). https://www.esa.int/Safety_Security/Space_Debris/Space_debris_by_the_numbers
- A. Horstmann, S. Hesselbach, C. Wiedemann, S. Flegel, M. Oswald, and H. Krag, Enhancement of S/C Fragmentation and Environment Evolution Models, ESA contract No. 4000115973/15/D/SR (2020).
- ESA’s Space Debris Office at ESOC, Darmstadt. About space debris. (2023). https://www.esa.int/Space_Safety/Space_Debris/About_space_debris
- Г. Г. Ступак, Научно-практическая конференция с международным участием “Околоземная астрономия – 2022”, Москва, 18–21 апреля 2022 г. Тезисы http://www.inasan.ru/wp-content/uploads/2022/04/Abstract-Book-2022.pdf, с. 24 (2022).
- В. М. Агапов, И. Е. Молотов, Г. К. Боровин, А. И. Стрельцов, Инженерный журнал: наука и инновации № 2 (98), 6 (2020).
- ПАО МАК “Вымпел”, информационный портал. Параметры орбит новых обнаруженных высокоорбитальных объектов космического мусора. http://spacedata.vimpel.ru/ru
- R. Sun, C. Zhao, M. Zhang, and Y. Hou, Adv. Space Research 51 (11), 2136 (2013).
- L. Anselmo and C. Pardini, Adv. Space Research 43 (10), 1491 (2009).
- L. Anselmo and C. Pardini, Acta Astronautica 67 (1–2), 204 (2010).
- E. D. Kuznetsov and E. A. Avvakumova, Acta Astronautica 158, 140 (2019).
- A. J. Rosengren and D. J. Scheeres, Adv. Space Research 52 (8), 1545 (2013).
- S. Valk, N. Delsate, A. Lemaître, and T. Carletti, Adv. Space Research 43 (10), 1509 (2009).
- E. D. Kuznetsov, V. Gusev, and I. Malyutin, J. Space Safety Engineering 6 (4), 276 (2019).
- S. O. Belkin and E. D. Kuznetsov, Acta Astronautica 178, 360 (2021).
- S. Channumsin, M. Ceriotti, and G. Radice, Adv. Space Research 61 (4), 1066 (2018).
- Е. Н. Поляхова, Вестн. СПбГУ. Сер. 1: Математика. Механика. Астрономия № 4, 89 (2004).
- Э. Д. Кузнецов, Астрон. вестн. 45 (5), 444 (2011).
- В. А. Авдюшев, Численное моделирование орбит (Томск: Изд-во НТЛ, 2010).
- А. Г. Александрова, Т. В. Бордовицына, И. Н. Чувашов, Изв. ВУЗов. Физика 60 (1), 69 (2017).
- A Community Python Library for Astronomy Astropy v5.3.2. Astropy Documentation. Astronomical Coordinate Systems (astropy.coordinates). https://docs.astropy.org/en/stable/coordinates/index.html
Дополнительные файлы















