EVOLUTION OF THE X-RAY BINARY SYSTEM Sco X-1
- Authors: Fedorova A.V.1, Tutukov A.V.1
-
Affiliations:
- Institute of Astronomy of the RAS
- Issue: Vol 100, No 11 (2023)
- Pages: 939-957
- Section: Articles
- URL: https://journal-vniispk.ru/0004-6299/article/view/148082
- DOI: https://doi.org/10.31857/S0004629923100043
- EDN: https://elibrary.ru/STTPRU
- ID: 148082
Cite item
Full Text
Abstract
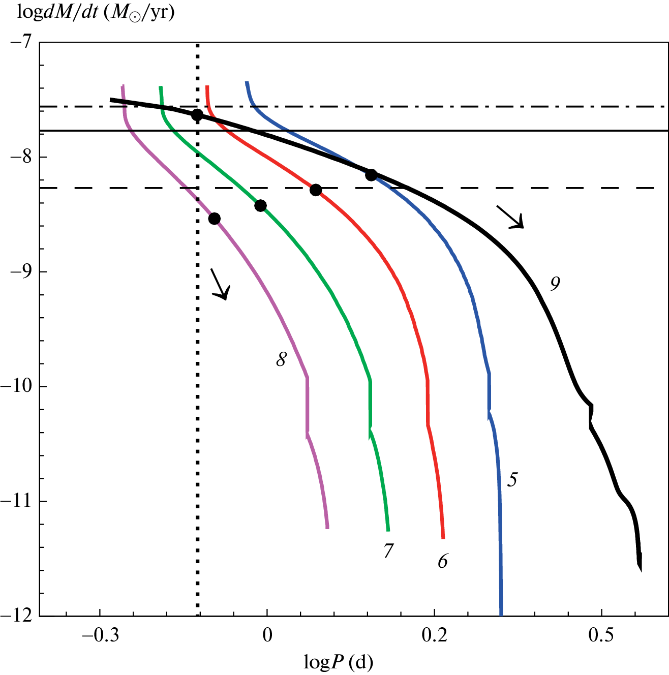
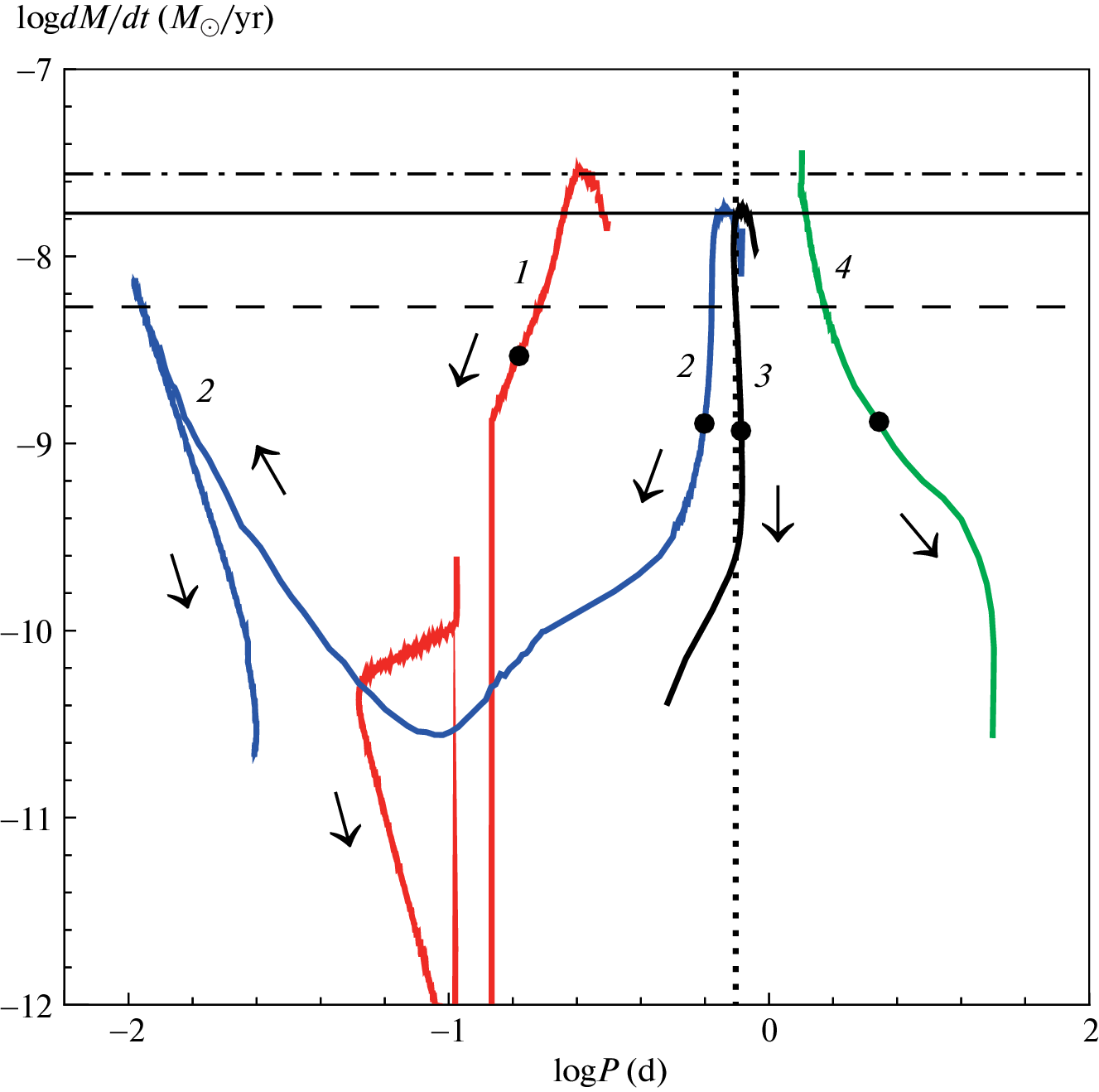
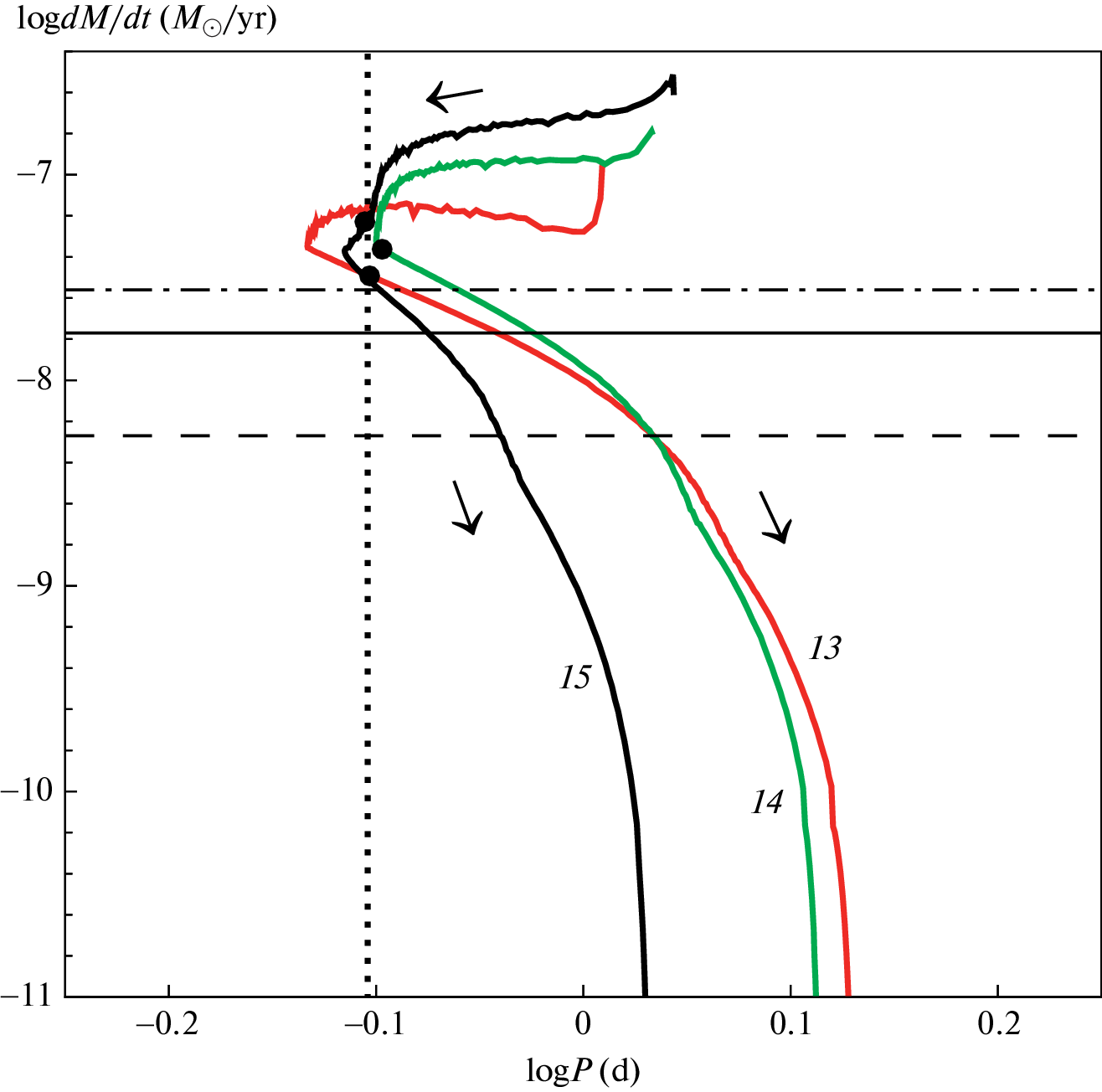
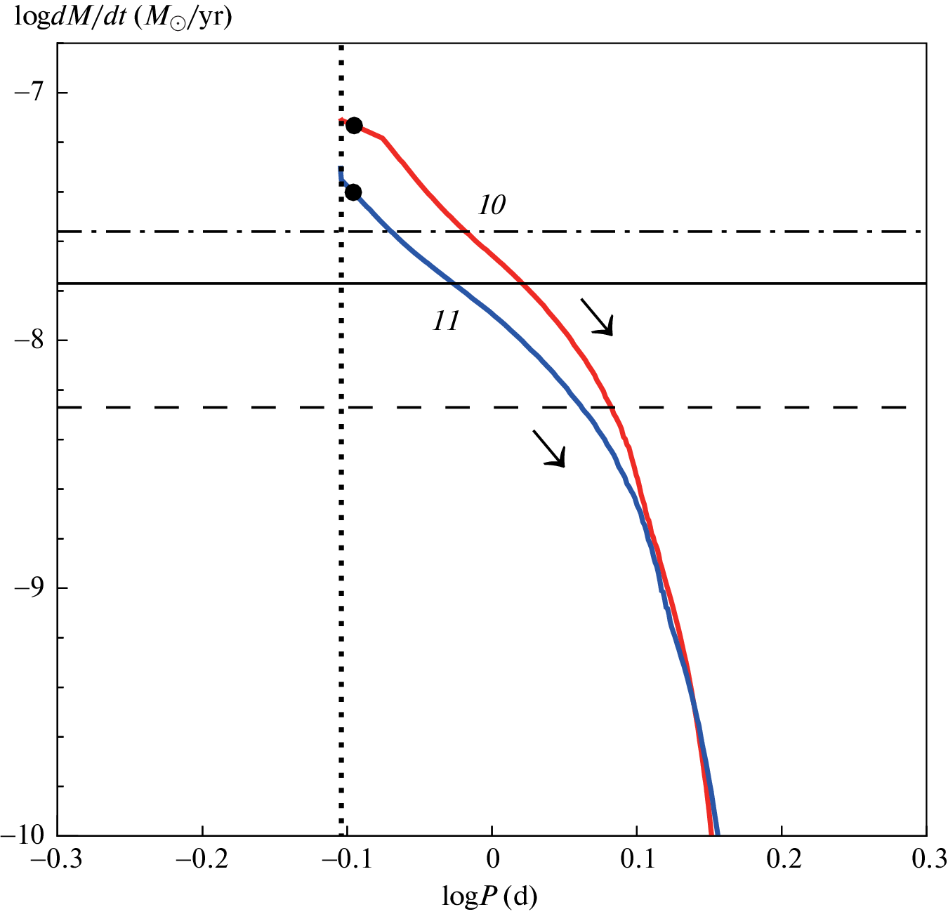
The possible evolution of a bright low-mass X-ray binary system Sco X-1 is numerically investigated within the framework of a model assuming that the donor of the system (a satellite of a neutron star) fills its Roche lobe. The calculations take into account a strong induced stellar wind (ISW) of the donor, which occurs due to irradiation by hard radiation of an accreting relativistic star. At the same time, using the example of Sco X-1, three hypotheses are investigated, within the framework of which a high rate of mass exchange can be obtained for semi-separated X-ray binary stars. The first hypothesis is the presence of a strong ISW of the donor with standard magnetic braking. Calculations have shown that in this case it is possible to obtain a high rate of mass exchange, but at the same time the donor cannot fill the Roche lobe – it “goes under it”. The second hypothesis is an increase of magnetic braking, that is, an increase of the loss of angular momentum from the system due to the magnetic stellar wind of the donor (MSW). Such an amplification may be associated with the intense ISW of the donor in the presence of a strong magnetic field. Numerical modeling shows that with an increase of MSW by ~20 times, a high rate of mass exchange is possible when the donor fills the Roche lobe. The third hypothesis suggests the possibility of canceling the direct exchange of angular momentum between the orbital moment of the system and the moment of accreted matter passing from a low-mass donor to a more massive accretor. With such cancellation, the main process, increasing the semi-axis of the orbit, disappears. Calculations show that in this case it is possible to obtain a sufficiently high rate of mass exchange. However, the most likely reason for the increase of the rate of mass exchange in low-mass X-ray binary systems is probably the increase of magnetic braking.
Keywords
About the authors
A. V. Fedorova
Institute of Astronomy of the RAS
Author for correspondence.
Email: afed@inasan.ru
Russia, Moscow
A. V. Tutukov
Institute of Astronomy of the RAS
Author for correspondence.
Email: atutukov@inasan.ru
Russia, Moscow
References
- R. Giacconi, H. Gursky, F. R. Paolini, and B. B. Rossi, Phys. Rev. Letters 9, 439 (1962).
- N. Soker, J. Bublitz, and J. H. Kastner, Astrophys. J. 928, id. 159 (2022).
- I. S. Shklovskii, Soviet Astron. 11, 749 (1968).
- A. M. Cherepashchuk, N. A. Katysheva, and T. S. Khru-zina, in Highly Evolved Close Binary Stars: Catalogue (Amsterdam: Gordon and Breach Publ., 1996), p. 96.
- A. M. Cherepashchuk, T. S. Khruzina, and A. I. Bogomazov, Monthly Not. Roy. Astron. Soc. 508, 1389 (2021).
- A. M. Cherepashchuk, T. S. Khruzina, and A. I. Bogomazov, Astron. Rep. 66, 348 (2022).
- I. F. Mirabel, and I. Rodrigues, Ann. Rev. Astron. Astrophys. 37, 409 (1999).
- A. V. Fedorova and A. V. Tutukov, Astron. Rep. 66, 925 (2022).
- I. J. Iben, A. V. Tutukov, and L. R. Jungelson, Astrophys. J. Suppl. 100, 233 (1995).
- I. J. Iben, A. V. Tutukov, and A. V. Fedorova, Astrophys. J. 486, 955 (1997).
- A. V. Tutukov and A. V. Fedorova, Astron. Rep. 46, 765 (2002).
- A. V. Tutukov and A. V. Fedorova, Astron. Rep. 47, 600 (2003).
- K. Pavlovskii and N. Ivanova, Monthly Not. Roy. Astron. Soc. 456, 263 (2016).
- W.-C. Chen, Astron. and Astrophys. 606, 60 (2017).
- P. Podsiadlowski, S. Rappaport, and E. D. Pfahl, Astrophys. J. 565, 1107 (2002).
- K. Asai, T. Mihara, and M. Matsuoka, Publ. Astron. Soc. Japan 74, 974 (2022).
- A. Bahramian and N. Degenaar, arXiv:2206.10053 [astro-ph.HE] (2022).
- U. Kolb and H. Ritter, Astron. and Astrophys. 236, 385 (1990).
- S. S. Huang, Ann. Rev. Astron. Astrophys. 4, 35 (1966).
- B. Paczynski, Acta Astronomica 16, 231 (1966).
- M. Diaz Trigo and L. Boirin, Astron. Nachricht. 337, 368 (2016).
- P. Kosec, E. Kara, A. C. Fabian, F. Fürst, et al., Nature Astron. 7, 715 (2023).
- P. O. Petrucci, S. Bianchi, G. Ponti, J. Ferreira, et al., Astron. and Astrophys. 649, id. A128 (2021).
- S. Fijma, N. Castro Segura, N. Degenaar, C. Knigge, N. Higginbottom, J. V. Hernindez Santisteban, and T. J. Maccarone, arXiv:2305.10793 [astro-ph.HE] (2023).
- Л. Д. Ландау, Е. М. Лифшиц, Теория поля (М.: Физматгиз, 1962).
- A. V. Fedorova and A. V. Tutukov, Astron. Rep. 38, 377 (1994).
- A. Skumanich, Astrophys. J. 171, 565 (1972).
- B. Paczynski, Ann. Rev. Astron. Astrophys. 9, 183 (1971).
- H. Lamers, G. Snow, and D. Lindholm, Astrophys. J. 455, 269 (1995).
- C. Hawcroft, H. Sana, L. Mahy, J. O. Sundqvist, et al., arXiv:2303.12165 [astro-ph.HE] (2023).
- I. Stevens, Monthly Not. Roy. Astron. Soc. 265, 601 (1993).
- S. Bogovalov and M. Petrov, Universe 7, 353 (2021).
- I. F. Mirabel and I. Rodrigues, Astron. and Astrophys. 398, L25 (2003).
- A. M. Cherepashchuk, N. A. Katysheva, T. S. Khruzina, S. Y. Shugarov, A. M. Tatarnikov, and A. I. Bogomazov, Monthly Not. Roy. Astron. Soc. 490, 3287 (2019).
- A. I. Bogomazov, A. M. Cherepashchuk, T. S. Khruzina, and A. V. Tutukov, Monthly Not. Roy. Astron. Soc. 514, 5375 (2022).
- A. C. Raga and J. Canto, Revista Mexicana Astron. Astrof. 58, 301 (2022).
- L. G. Luk’yanov, Astron. Astrophys. Trans. 27, 82 (2011).
- L. G. Luk’yanov and S. A. Gasanov, Astron. Rep. 55, 733 (2011).
- A. A. Medvedeva and S. A. Gasanov, Astron. Rep. 58, 554 (2014).
- P. Hertz, K. Wood, and L. Cominsky, Astrophys. J. 486, 1000 (1997).
- A. G. Masevich and A. V. Tutukov, Evolution of Stars: Theory and Observations (Moscow: Nauka, 1988) [in Russian].
- M. Gilfanov, G. Fabbiano, and B. Lehmer, arXiv:2304.14080 [astro-ph.HE] (2023).
Supplementary files









