Спектральный обзор области звездообразования DR21OH в 4-мм диапазоне длин волн
- Авторы: Каленский С.В.1, Михеева Е.А.1,2
-
Учреждения:
- Физический институт им. П.Н. Лебедева Российской академии наук, Астрокосмический центр
- Московский государственный университет им. М.В. Ломоносова, Государственный астрономический институт им. П.К. Штернберга
- Выпуск: Том 100, № 12 (2023)
- Страницы: 1162-1189
- Раздел: СТАТЬИ
- URL: https://journal-vniispk.ru/0004-6299/article/view/233456
- DOI: https://doi.org/10.31857/S0004629923120034
- EDN: https://elibrary.ru/DAVJRY
- ID: 233456
Цитировать
Полный текст
Аннотация
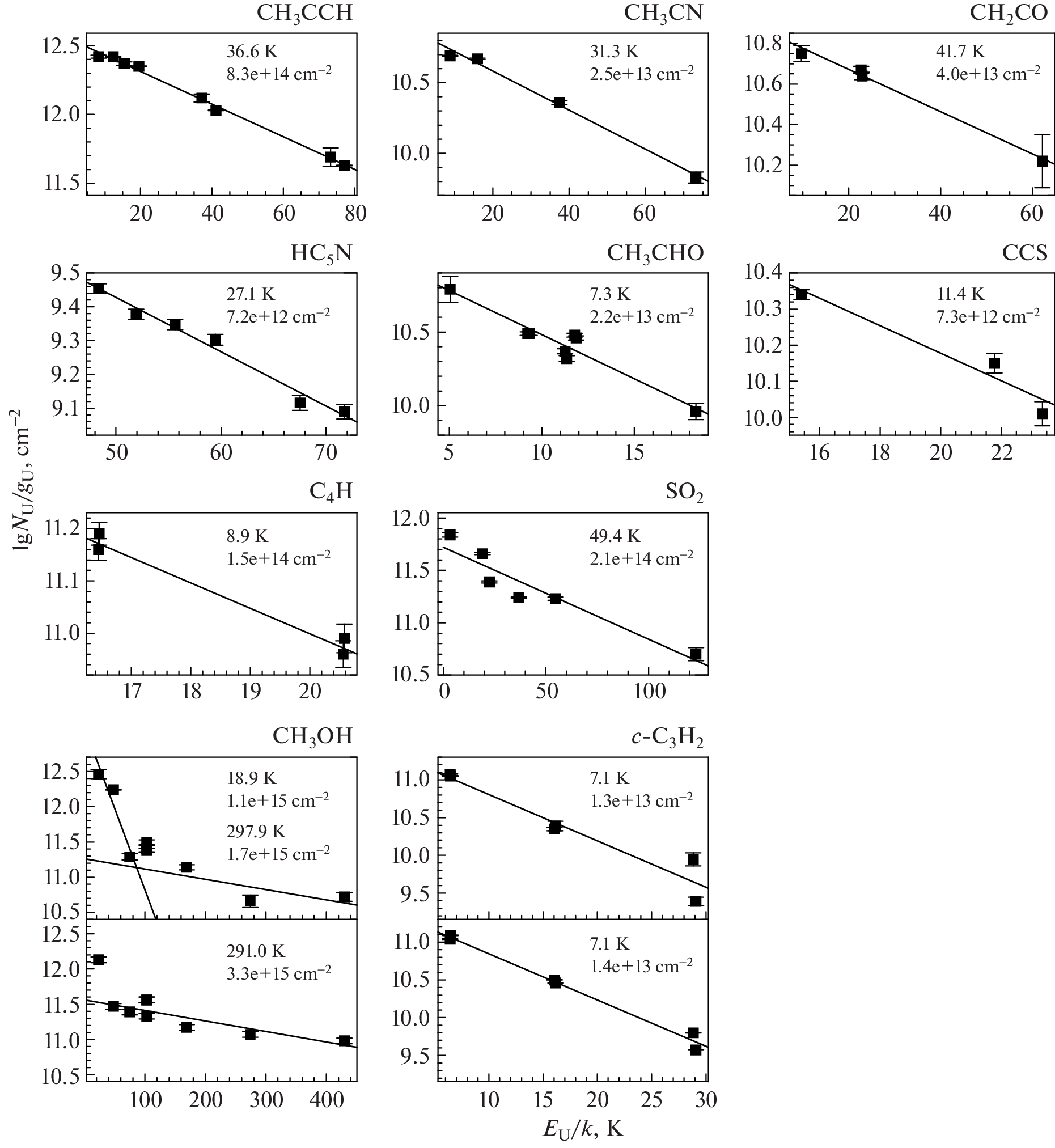
Представлены результаты обзора спектральных линий области звездообразования DR21OH в 4-мм диапазоне длин волн. Было обнаружено 69 молекул и их изотопологов, от простых двухатомных или трехатомных молекул, таких как SO, SiO и CCH, до сложных органических молекул, таких как CH3OCHO или CH3OCH3. Заметная часть полученных результатов качественно повторяет результаты обзора этого же источника на волне 3 мм. Списки молекул, обнаруженных на волнах 3 и 4 мм, в значительной степени пересекаются. Однако на волне 4 мм были обнаружены молекулы, которые не обладают разрешенными переходами в 3-мм диапазоне, например, DCN, DNC или SO+. Основную часть молекул, найденных на волне 4 мм, составляют те, которые часто наблюдаются в плотных ядрах областей звездообразований, например, HC3N или CH3CCH, однако некоторые обнаруженные молекулы характерны для горячих ядер. К последним относятся сложные органические молекулы CH3OCHO, CH3CH2OH, CH3OCH3 и др. Однако излучение этих молекул, зарегистрированное в данном обзоре, вероятно, возникает в газе, имеющем температуру \( \sim 30\) K. Девять молекул, в том числе сложные соединения CH3C3N, CH3CH2CN, CH3COCH3 и др., найдены с помощью сложения спектральных линий. Это демонстрирует большие возможности данного метода при исследовании молекулярных облаков.
Ключевые слова
Об авторах
С. В. Каленский
Физический институт им. П.Н. Лебедева Российской академии наук,Астрокосмический центр
Автор, ответственный за переписку.
Email: kalensky@asc.rssi.ru
Россия, Москва
Е. А. Михеева
Физический институт им. П.Н. Лебедева Российской академии наук,Астрокосмический центр; Московский государственный университет им. М.В. Ломоносова,
Государственный астрономический институт им. П.К. Штернберга
Email: kalensky@asc.rssi.ru
Россия, Москва; Россия, Москва
Список литературы
- K. L. J. Rygl, A. Brunthaler, A. Sanna, K. M. Menten, et al., Astron. and Astrophys. 539, id. A79 (2012).
- P. M. Harvey, M. Joy, D. F. Lester, and B. A. Wilking, Astrophys. J. 300, 737 (1986).
- M. Hennemann, F. Motte, N. Schneider, P. Didelon, et al., Astron. and Astrophys. 543, id. L3 (2012).
- P. M. Harvey, M. F. Campbell, and W. F. Hoffmann, Astrophys. J. 211, 786 (1977).
- J. G. Mangum, A. Wootten, and L. G. Mundy, Astrophys. J. 378, 576 (1991).
- J. G. Mangum, A. Wootten, and L. G. Mundy, Astrophys. J. 388, 467 (1992).
- S. Padin, A. I. Sargent, L. G. Mundy, N. Z. Scoville, et al., Astrophys. J. 337, 45 (1989).
- L. A. Zapata, L. Loinard, Y.-N. Su, L. F. Rodriguez, K. M. Menten, N. Patel, R. Nimesh, and R. Galván-Madrid, Astrophys. J. 744 (2), id. 86 (2012).
- J. R. Dickel, H. R. Dickel, and W. J. Wilson, Astrophys. J. 223, 840 (1978).
- K. Dobashi, T. Shimoikura, Sh. Katakura, F. Nakamura, and Y. Shimajiri, Publ. Astron. Soc. Japan 71 (SP1), id. S12 (2019).
- Y. C. Minh, H.-R. Chen, Y.-N. Su, and S.-Y. Liu, J. Korean Astron. Soc. 45 (6), 157 (2012).
- R. Genzel and D. Downes, Astron. and Astrophys. Suppl. Ser. 30, 145 (1977).
- R. P. Norris, R. S. Booth, P. J. Diamond, and N. D. Porter, Monthly Not. Roy. Astron. Soc. 201, 191 (1982).
- W. Batrla, P. Pratap, and L. E. Snyder, Astrophys. J. Letters 330, L67 (1988).
- S.-P. Lai, J. M. Girart, and R. M. Crutcher, Astrophys. J. 598 (1), 392 (2003).
- M. T. Orozco-Aguilera, A. Hernández-Gómez, and L. A. Zapata, Astron. J. 157(1), id. 20 (2019).
- С. В. Каленский, Л. Е. Б. Юханссон, Астрон. журн. 87 (4), 335 (2010).
- S. V. Kalenskii, R. I. Kaiser, P. Bergman, A. O. H. Olofsson, K. D. Degtyarev, and P. Golysheva, Astrophys. J. 932 (1), id. 5 (2022).
- F. J. Lovas, J. E. Bass, R. A. Dragoset, and K. J. Olsen, NIST Recommended Rest Frequencies for Observed Interstellar Molecular Microwave Transitions. 2009 Revision, version 3.0. National Institute of Standards and Technology, Gaithersburg, MD 20899 (2009), http://physics.nist.gov/restfreq .
- H. S. P. Müller, F. Schlöder, J. Stutzki, and G. Winnewisser, J. Molecular Structure 742 (1–3), 215 (2005).
- H. S. P. Müller, S. Thorwirth, D. A. Roth, and G. Winnewisser, Astron. and Astrophys. 370, L49 (2001).
- H. M. Pickett, R. L. Poynter, E. A. Cohen, M. L. Delitsky, J. C. Pearson, and H. S. P. Müller, J. Quant. Spectroscop. Radiative Transfer 60, 883 (1998).
- M. Padovani, D. Galli, and A. E. Glassgold, Astron. and Astrophys. 501, 619 (2009).
- G. A. Blake, E. C. Sutton, C. R. Masson, and T. G. Phillips, Astrophys. J. 315, 621 (1987).
- J. Askne, B. Hoglund, A. Hjalmarson, and W. M. Irvine, Astron. and Astrophys. 130, 311 (1984).
- R. B. Loren and L. G. Mundy, Astrophys. J. 286, 232 (1984).
- F. F. S. van der Tak, J. H. Black, F. L. Schöier, D. J. Jansen, and E. F. van Dishoeck, Astron. and Astrophys. 468, 627 (2007).
- С. В. Каленский, С. Куртц, Астрон. журн. 93, 692 (2016).
- M. Agundez, J.-C. Loison, K. M. Hickson, V. Wakelam, et al., Astron. and Astrophys. 673, id. A34 (2023).
- S. Spezzano, A. Fuente, P. Caselli, A. Vasyunin, et al., Astron. and Astrophys. 657, id. A10 (2022).
- M. Rodriguez-Baras, A. Fuente, P. Riviére-Marichalar, D. Navarro-Almaida, et al., Astron. and Astrophys. 648, id. A120 (2021).
- L. E. B. Johansson, C. Andersson, J. Ellder, P. Friberg, et al., Astron. and Astrophys. 130, 227 (1984).
- С. В. Каленский, Л. Е. Б. Юханссон, Астрон. журн. 87 (12), 1176 (2010).
- S. V. Kalenskii, in Proc. of the Russian-Indian workshop on radio astronomy and star formation, October 10–12, 2016; edited by I. Zinchenko and P. Zemlyanukha, Institute of Applied Physics RAS, p. 43 (2017); arXiv:1708.06829 [astro-ph.GA].
- B. A. McGuire, A. M. Burkhardt, S. V. Kalenskii, C. N. Shingledecker, A. Remijan, E. Herbst, and M. C. McCarthy, Science 359 (6372), 202 (2018).
- R. A. Loomis, A. M. Burkhardt, C. N. Shingledecker, S. B. Charnley, et al., Nature Astron. 5, 188 (2021).
- Y.-J. Kuan, S. B. Charnley, H.-C. Huang, W.-L. Tseng, and Z. Kisiel, Astrophys. J. 593, 848 (2003).
- L. E. Snyder, F. J. Lovas, J. M. Hollis, D. N. Friedel, et al., Astrophys. J. 619, 914 (2005).
Дополнительные файлы
















