AERONOMIC MODEL OF HYDROGEN-HELIUM UPPER ATMOSPHERES OF HOT GIANT EXOPLANETS
- Authors: Zhilkin A.G.1, Gladysheva Y.G.1, Shematovich V.I.1, Bisikalo D.V.1,2
-
Affiliations:
- Institute of Astronomy of the Russian Academy of Sciences
- National center of physics and mathematics
- Issue: Vol 100, No 12 (2023)
- Pages: 1190-1209
- Section: Articles
- URL: https://journal-vniispk.ru/0004-6299/article/view/233458
- DOI: https://doi.org/10.31857/S0004629923120149
- EDN: https://elibrary.ru/CRYQRS
- ID: 233458
Cite item
Full Text
Abstract
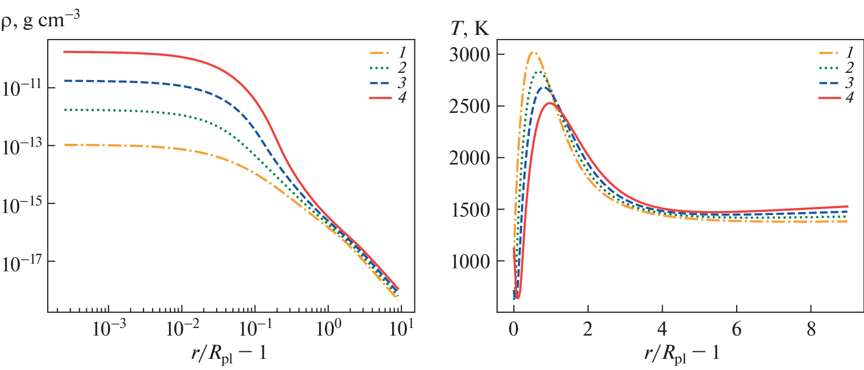
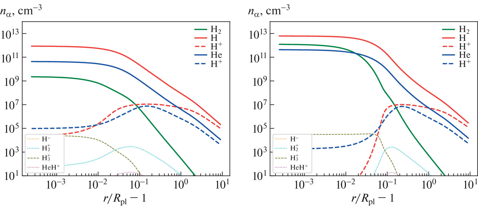
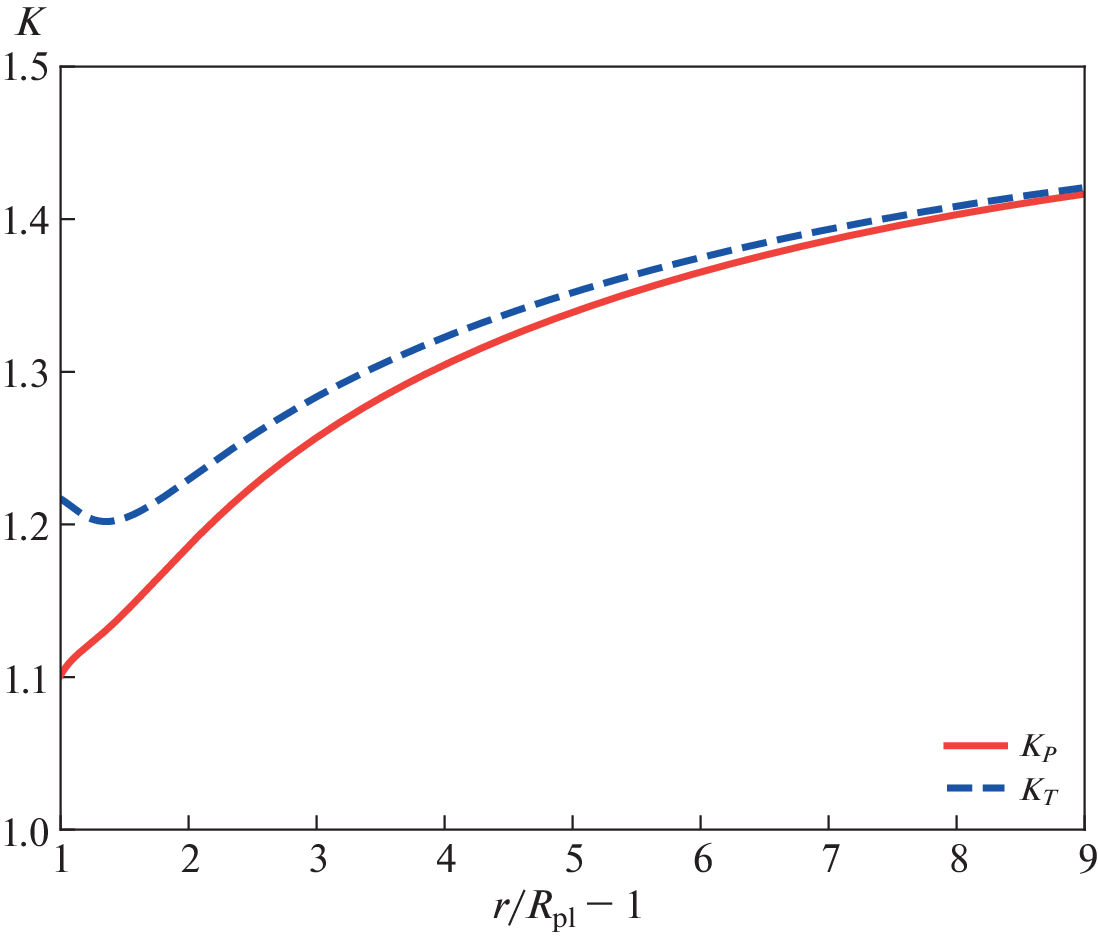
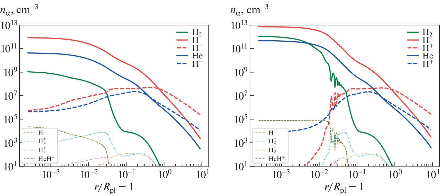
The paper presents 1D aeronomic model of hydrogen-helium upper atmospheres of hot giant exoplanets based on the approximation of single-fluid multicomponent hydrodynamics. Chemical reactions and heating-cooling processes are taken into account. Typical hot Jupiter and warm Neptune are considered as an example of the application of the model. Calculations were carried out for various values of gas pressure at the photometric radius of the planet. In the solutions obtained, a transonic planetary wind is formed, leading to a hydrodynamic outflow of the atmosphere with mass loss rates of the order of \(3.5 \times {{10}^{{10}}}\) g/s for hot Jupiter and \(3.7 \times {{10}^{9}}\) g/s for warm Neptune. At the same time, the outer layers of the atmosphere of hot Jupiter are completely ionized, while the atmosphere of warm Neptune mainly consists of neutral gas. In some variants of the hot Jupiter model, instability develops in the deep layers of the atmosphere, which can lead to the formation of a specific cloud layer.
About the authors
A. G. Zhilkin
Institute of Astronomy of the Russian Academy of Sciences
Author for correspondence.
Email: zhilkin@inasan.ru
Russia, Moscow
Y. G. Gladysheva
Institute of Astronomy of the Russian Academy of Sciences
Email: zhilkin@inasan.ru
Russia, Moscow
V. I. Shematovich
Institute of Astronomy of the Russian Academy of Sciences
Email: zhilkin@inasan.ru
Russia, Moscow
D. V. Bisikalo
Institute of Astronomy of the Russian Academy of Sciences; National center of physics and mathematics
Email: zhilkin@inasan.ru
Russia, Moscow; Russia, Sarov
References
- N. Madhusudhan, M. Agundez, J. L. Moses, and Y. Hu, Space Sci. Rev. 205 (1–4), 285 (2016).
- L. D. Deming and S. Seager, J. Geophys. Res. Planets 122, 53 (2017).
- R. Hobbs, O. Shorttle, N. Madhusudhan, and P. Rimmer, Monthly Not. Roy. Astron. Soc. 487, 2242 (2019).
- R. I. Dawson and J. A. Johnson, Ann. Rev. Astron. Astrophys. 56, 175 (2018).
- S.-J. Paardekooper and A. Johansen, Space Sci. Rev. 214, 38 (2018).
- S. Dash, M. Liton, K. Willacy, S.-M. Tsai, et al., Astrophys. J. 932, id. 20 (2022).
- B. Drummond, P. Tremblin, I. Baraffe, D. S. Amundsen, N. J. Mayne, O. Venot, and J. Goyal, Astron. and Astrophys. 594, id. A69 (2016).
- S.-M. Tsai, J. R. Lyons, L. Grosheintz, P. B. Rimmer, D. Kitzmann, and K. Heng, Astrophys. J. Suppl. 228 (2), id. 20 (2017).
- E. K. H. Lee, S.-M. Tsai, M. Hammond, and X. Tan, Astron. and Astrophys. 672, id. A110 (2023).
- A. P. Showman, J. J. Fortney, Y. Lian, M. S. Marley, R. S. Freedman, H. A. Knutson, and D. Charbonneau, Astrophys. J. 699 (1), 564 (2009).
- J. I. Moses, C. Visscher, J. J. Fortney, A. P. Showman, et al., Astrophys. J. 737 (1), id. 15 (2011).
- B. Drummond, N. J. Mayne, J. Manners, A. L. Carter, et al., Astrophys. J. Letters 855 (2), id. L31 (2018).
- Д. В. Бисикало, В. И. Шематович, П. В. Кайгородов, А. Г. Жилкин, Успехи физ. наук 191 (8), 785 (2021).
- J. E. Owen, R. A. Murray-Clay, E. Schreyer, H. E. Schli-chting, et al., Monthly Not. Roy. Astron. Soc. 518, 4357 (2023).
- R. Yelle, H. Lammer, and W.-H. Ip, Space Sci. Rev. 139, 437 (2008).
- R. V. Yelle, Icarus 170, 167 (2004).
- A. Garcia Muñoz, Planet. Space Sci. 55 (10), 1426 (2007).
- T. T. Koskinen, M. J. Harris, R. V. Yelle, and P. Lavvas, Icarus 226, 1678 (2013).
- T. T. Koskinen, R. V. Yelle, M. J. Harris, and P. Lavvas, Icarus 226, 1695 (2013).
- I. F. Shaikhislamov, M. L. Khodachenko, Y. L. Sasunov, H. Lammer, K. G. Kislyakova, and N. V. Erkaev, Astrophys. J. 795 (2), id. 132 (2014).
- D. Bisikalo, P. Kaygorodov, D. Ionov, V. Shematovich, H. Lammer, and L. Fossati, Astrophys. J. 764 (1), id. 19 (2013).
- V. I. Shematovich, D. E. Ionov, and H. Lammer, Astron. and Astrophys. 571, id. A94 (2014).
- D. E. Ionov, Y. N. Pavlyuchenkov, and V. I. Shematovich, Monthly Not. Roy. Astron. Soc. 476, 5639 (2018).
- A. Garcia Muñoz, Icarus 392, id. 115373 (2023).
- H. Lammer, J. F. Kasting, E. Chassefiere, R. E. Johnson, Y. N. Kulikov, and F. Tian, Space Sci. Rev. 139 (1–4), 399 (2008).
- B. J. Fulton, E. A. Petigura, A. W. Howard, H. Isaacson, et al., Astron. J. 154 (3), id. 109 (2017).
- T. Mazeh, T. Holczer, and S. Faigler, Astron. and Astrophys. 589, id. A75 (2016).
- T. A. Berger, D. Huber, E. Gaidos, and J. L. van Saders, Astrophys. J. 866, id. 99 (2018).
- J. E. Owen, I. F. Shaikhislamov, H. Lammer, L. Fossati, and M. L. Khodachenko, Space Sci. Rev. 216 (8), id. 129 (2020).
- A. Vidal-Madjar, A. Lecavelier des Etangs, J.-M. Desert, G. E. Ballester, et al., Nature 422, 143 (2003).
- J. L. Linsky, H. Yang, K. France, C. S. Froning, J. C. Green, J. T. Stocke, and S. N. Osterman, Astrophys. J. 717, 1291 (2010).
- A. Lecavelier des Etangs, V. Bourrier, P. J. Wheatley, H. Dupuy, et al., Astron. and Astrophys. 543, id. L4 (2012).
- L. Ben-Jaffel and G. E. Ballester, Astron. and Astrophys. 553, id. A52 (2013).
- D. Ehrenreich, V. Bourrier, P. J. Wheatley, A. Lecavelier des Etangs, et al., Nature 522 (7557), 459 (2015).
- V. Bourrier, A. Lecavelier des Etangs, D. Ehrenreich, J. Sanz-Forcada, et al., Astron. and Astrophys. 620, id. A147 (2018).
- J. J. Spake, D. K. Sing, T. M. Evans, A. Oklopić, et al., Nature 557 (7703), 68 (2018).
- D. K. Sing, P. Lavvas, G. E. Ballester, A. Lecavelier des Etangs, et al., Astron. J. 158 (2), id. 91 (2019).
- J. E. Owen, Ann. Rev. Earth and Planet. Sci. 47, 67 (2019).
- J. M. Chadney, T. T. Koskinen, M. Galand, Y. C. Unruh, and J. Sanz-Forcada, Astron. and Astrophys. 608, id. A75 (2017).
- M. Lampón, M. López-Puertas, L. M. Lara, A. Sánchez-López, et al., Astron. and Astrophys. 636, id. A13 (2020).
- T. T. Koskinen, P. Lavvas, C. Huang, G. Bergsten, R. B. Fer-nandes, and M. E. Young, Astrophys. J. 929 (1), id. 52 (2022).
- R. O. P. Loyd, T. T. Koskinen, K. France, C. Schneider, and S. Redfield, Astrophys. J. Letters 834 (2), id. L17 (2017).
- M. Mansfield, J. L. Bean, A. Oklopić, L. Kreidberg, et al., Astrophys. J. Letters 868 (2), id. L34 (2018).
- H. Lammer, F. Selsis, I. Ribas, E. F. Guinan, S. J. Bauer, and W. W. Weiss, Astrophys. J. 598 (2), L121 (2003).
- D. Kubyshkina, L. Fossati, N. V. Erkaev, P. E. Cubillos, et al., Astrophys. J. Letters 866 (2), id. L18 (2018).
- E. D. Lopez, J. J. Fortney, and N. Miller, Astrophys. J. 761, id. 59 (2012).
- J. E. Owen and Y. Wu, Astrophys. J. 847, id. 29 (2017).
- L. Ben-Jaffel, Astrophys. J. 671, L61 (2007).
- L. Ben-Jaffel and S. Sona Hosseini, Astrophys. J. 709, 1284 (2010).
- A. Vidal-Madjar, J. Desert, A. Lecavelier des Etangs, G. Hérard, et al., Astrophys. J. 604 (1), L69 (2004).
- A. Oklopić and C. M. Hirata, Astrophys. J. Letters 855(1), id. L11 (2018).
- E. N. Parker, Astrophys. J. 128, 664 (1958).
- R. A. Murray-Clay, E. I. Chiang, and N. Murray, Astrophys. J. 693, 23 (2009).
- J. H. Guo, Astrophys. J. 733, id. 98 (2011).
- D. E. Ionov, V. I. Shematovich, and Ya. N. Pavlyuchenkov, Astron. Rep. 61, 387 (2017).
- F. Tian, O. B. Toon, A. A. Pavlov, and H. De Sterck, Astrophys. J. 612, 1049 (2005).
- T. Penz, N. V. Erkaev, Yu. N. Kulikov, D. Langmayr, et al., Planet. Space Sci. 56 (9), 1260 (2008).
- T. T. Koskinen, J. Y-K. Cho, N. Achilleos, and A. D. Aylward, Astrophys. J. 722, 178 (2010).
- A. S. Arakcheev, A. G. Zhilkin, P. V. Kaigorodov, D. V. Bi-sikalo, and A. G. Kosovichev, Astron. Rep. 61, 932 (2017).
- A. G. Zhilkin and D. V. Bisikalo, Astron. Rep. 63, 550 (2019).
- A. G. Zhilkin, D. V. Bisikalo, and P. V. Kaygorodov, Astron. Rep. 64, 259 (2020).
- A. G. Zhilkin and D. V. Bisikalo, Astron. Rep. 64, 563 (2020).
- A. G. Zhilkin and D. V. Bisikalo, Universe 7, 422 (2021).
- A. G. Zhilkin, Astron. Rep. 67, 307 (2023).
- A. G. Zhilkin, Y. G. Gladysheva, and D. V. Bisikalo, I-NASAN Sci. Rep. 8, 26 (2023).
- D. McElroy, C. Walsh, A. J. Markwick, M. A. Cordiner, K. Smith, and T. J. Millar, Astron. and Astrophys. 550, id. A36 (2013).
- G. B. Trammell, P. Arras, and Z.-Y. Li, Astrophys. J. 728, id. 152 (2011).
- Y. B. Zel’dovich and Y. P. Raizer, Physics of shock waves and high-temperature hydrodynamic phenomena, edited by W. D. Hayes and R. F. Probstein (New York: Acad. press, 1967).
- W. F. Huebner and J. Mukherjee, Planet. Space Sci. 106, 11 (2015).
- T. N. Woods, G. J. Rottman, S. M. Bailey, S. C. Solomon, and J. R. Worden, Solar Phys. 177 (1–2), 133 (1998).
- L. Spitzer, Astrophys. J. 109, 337 (1949).
- N. G. Bochkarev, Fundamentals of Interstellar medium Physics (Moscow: MSU Press, 1992).
- A. Dalgarno and R. A. McCray, Ann. Rev. Astron. Astrophys. 10, 375 (1972).
- L. Spitzer, Physical processes in the interstellar medium (New York: Wiley-Interscience, 1978).
- S. Miller, T. Stallard, J. Tennyson, and H. Melin, J. Phys. Chem. A 117, 9770 (2013).
- Д. В. Бисикало, А. Г. Жилкин, А. А. Боярчук, Газодинамика тесных двойных звезд (М.: Физматлит, 2013).
- Y. G. Gladysheva, A. G. Zhilkin, and D. V. Bisikalo, I-NASAN Sci. Rep. 7, 195 (2022).
- E. N. Parker, Astrophys. J. 132, 821 (1960).
- R. S. Steinolfson and F. J. Hundhausen, J. Geophys. Res. 93, 14269 (1988).
- I. I. Roussev, T. I. Gombosi, and I. V. Sokolov, Astrophys. J. 595, L57 (2003).
- T. L. Totten, J. W. Freeman, and S. Arya, J. Geophys. Res. 100, 13 (1995).
- G. B. Field, Astrophys. J. 142, 531 (1965).
- T. Yoneyama, Publ. Astron. Soc. Japan 25, 349 (1973).
- C. K. Harada, E. M.-R. Kempton, E. Rauscher, M. Roman, I. Malsky, M. Brinjikji, and V. DiTomasso, Astrophys. J. 909 (1), id. 85 (2021).
- C. Helling, arXiv:2205.00454 [astro-ph.EP] (2022).
- D. V. Bisikalo and V. I. Shematovich, Astron. Rep. 59, 836 (2015).
- A. A. Boyarchuk, B. M. Shustov, I. S. Savanov, M. E. Sach-kov, et al., Astron. Rep. 60, 1 (2016).
Supplementary files













