LUMINOSITY OUTBURSTS IN INTERACTING PROTOPLANETARY SYSTEMS
- Authors: Skliarevskii A.M.1, Vorobyov E.I.2
-
Affiliations:
- Southern Federal University
- Ural Federal University
- Issue: Vol 100, No 12 (2023)
- Pages: 1267-1285
- Section: Articles
- URL: https://journal-vniispk.ru/0004-6299/article/view/233469
- DOI: https://doi.org/10.31857/S0004629923120101
- EDN: https://elibrary.ru/CUWYSQ
- ID: 233469
Cite item
Full Text
Abstract
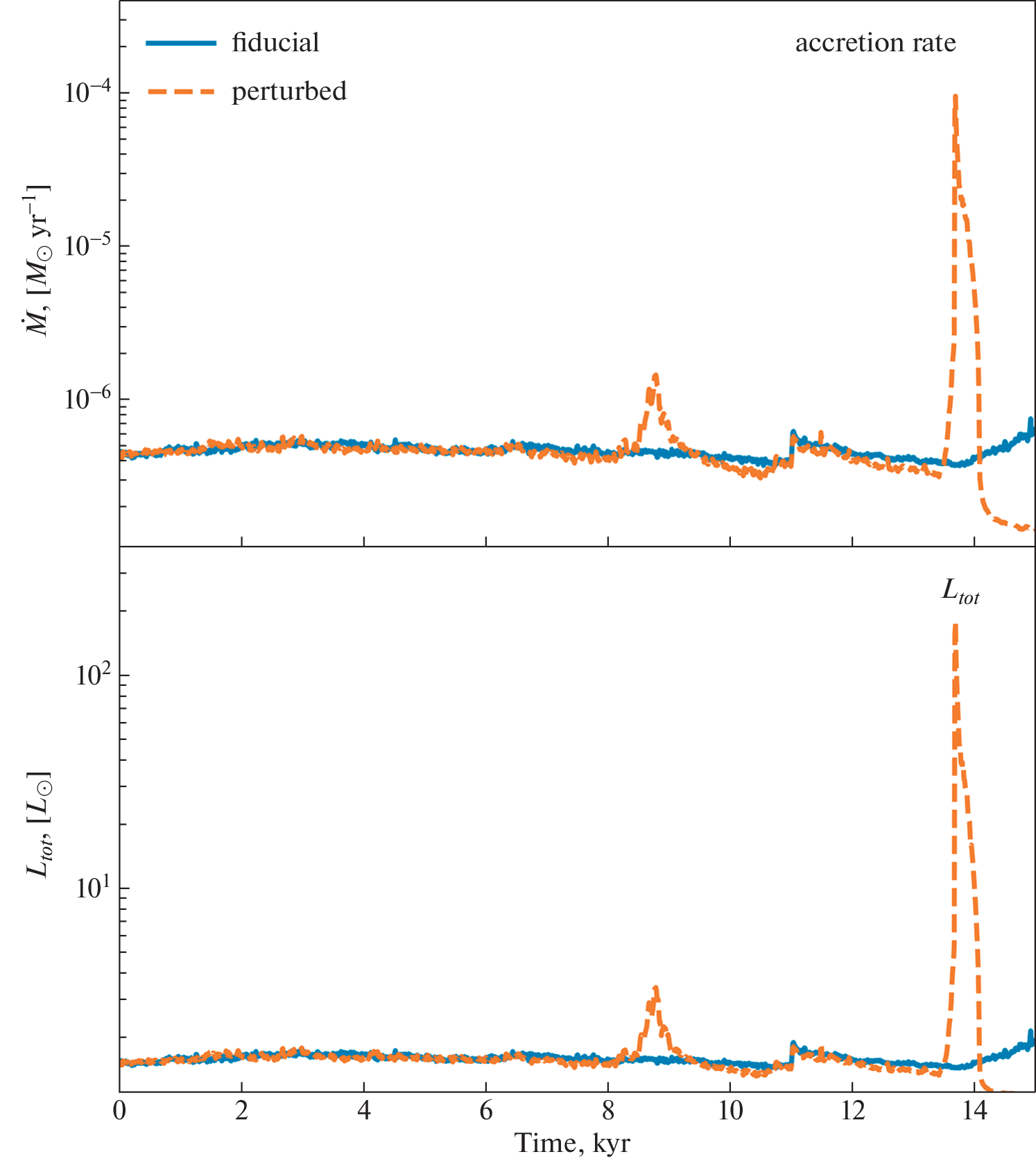
FU Orionis type objects (fuors) are characterized by rapid (tens to hundreds years) episodic outbursts, during which the luminosity increases by orders of magnitude. One of the possible causes of such events is a close encounter between stars and protoplanetary disks. Numerical simulations show that the fuor-like outburst ignition requires a very close encounter ranging from a few to a few tens of au. In contrast, the observed stellar objects in fuor binaries are usually hundreds of au apart. Simple mathematical estimates show that if such a close approach took place, the binary stellar components would have an unrealistic relative velocity, at least an order of magnitude greater than the observed velocity dispersion in young stellar clusters. Thus, the bursts are either triggered with a certain delay after passage of the periastron or their ignition does not necessary require a close encounter and hence the outburst is not caused by the primordial gravitational perturbation of the protoplanetary disk. In this work, an encounter of a star surrounded by a protoplanetary disk with a diskless external stellar object was modeled using numerical hydrodynamics simulations. We showed that even fly-bys with a relatively large periastron (at least 500 au) can result in fuor-like outbursts. Moreover, the delay between the periastron passage and the burst ignition can reach several kyr. It was shown for the first time by means of numerical modeling that the perturbation of the disk caused by the external object can trigger a cascade process, which includes the development of the thermal instability in the innermost disk followed by the magneto-rotational instability ignition. Because of the sequential development of these instabilities, the rapid increase in the accretion rate occurs, resulting in the luminosity increase by more than two orders of ma-gnitude.
About the authors
A. M. Skliarevskii
Southern Federal University
Author for correspondence.
Email: sklyarevskiy@sfedu.ru
Russia, Rostov-on-Don
E. I. Vorobyov
Ural Federal University
Email: sklyarevskiy@sfedu.ru
Russia, Ekaterinburg
References
- M. Audard, P. Árahám, M. M. Dunham, J. D. Green, et al., in Protostars and Planets VI, edited by H. Beuther, R. S. Klessen, C. P. Dullemond, and T. Henning (Tucson: University of Arizona Press, 2014), p. 387, arXiv:1401.3368 [astro-ph.SR].
- T. Magakian, T. Movsessian, and H. Andreasyan, Acta Astrophys. Taurica 3 (3), 4 (2022).
- S. J. Kenyon, in The Origin of Stars and Planetary Systems, edited by C. J. Lada and N. D. Kylafis, NATO ASI Ser. C 540, 613 (1999), arXiv:astro-ph/9904035.
- E. I. Vorobyov and S. Basu, Astrophys. J. 805, id. 115 (2015), arXiv:1503.07888 [astro-ph.SR].
- A. Mercer and D. Stamatellos, Monthly Not. Roy. Astron. Soc. 465, 2 (2017), arXiv:1610.08248 [astro-ph.EP].
- E. I. Vorobyov, Y. N. Pavlyuchenkov, and P. Trinkl, -Astron. Rep. 58, 522 (2014).
- E. I. Vorobyov, V. G. Elbakyan, M. Takami, and H. B. Liu, Astron. and Astrophys. 643, id. A13 (2020), ar-Xiv:2009.01888 [astro-ph.SR].
- R. Visser, E. A. Bergin, and J. K. Jørgensen, Astron. and Astrophys. 577, id. A102 (2015), arXiv:1503.04951 [astro-ph.SR].
- C. Rab, V. Elbakyan, E. Vorobyov, M. Güdel, et al., A-stron. and Astrophys. 604, id. A15 (2017), arXiv:1705.03946 [astro-ph.SR].
- T. Molyarova, V. Akimkin, D. Semenov, P. Árahám, T. Henning, Á. Kóspál, E. Vorobyov, and D. Wiebe, Astrophys. J. 866, id. 46 (2018), arXiv:1809.01925 [astro-ph.EP].
- D. S. Wiebe, T. S. Molyarova, V. V. Akimkin, E. I. Vorobyov, and D. A. Semenov, Monthly Not. Roy. Astron. Soc. 485, 1843 (2019), arXiv:1902.07475 [astro-ph.EP].
- E. I. Vorobyov, I. Baraffe, T. Harries, and G. Chabrier, Astron. and Astrophys. 557, id. A35 (2013), arXiv:1307.2271 [astro-ph.SR].
- A. Banzatti, P. Pinilla, L. Ricci, K. M. Pontoppidan, T. Birnstiel, and F. Ciesla, Astrophys. J. Letters 815, id. L15 (2015), arXiv:1511.06762 [astro-ph.EP].
- D. Schoonenberg and C. W. Ormel, Astron. and Astrophys. 602, id. A21 (2017), arXiv:1702.02151 [astro-ph.EP].
- E. I. Vorobyov, A. M. Skliarevskii, T. Molyarova, V. Akim-kin, et al., Astron. and Astrophys. 658, id. A191 (2022), arXiv:2112.06004 [astro-ph.EP].
- E. I. Vorobyov, V. G. Elbakyan, H. B. Liu, and M. Takami, Astron. and Astrophys. 647, id. A44 (2021), arXiv:2101.01596 [astro-ph.SR].
- M. S. Connelley and B. Reipurth, Astrophys. J. 861, id. 145 (2018), arXiv:1806.08880 [astro-ph.SR].
- P. J. Armitage, M. Livio, and J. E. Pringle, Monthly Not. Roy. Astron. Soc. 324, 705 (2001), arXiv:astro-ph/0101253.
- E. I. Vorobyov, S. Khaibrakhmanov, S. Basu, and M. Audard, Astron. and Astrophys. 644, id. A74 (2020), arXiv:2011.00951 [astro-ph.SR].
- E. I. Vorobyov and S. Basu, Astrophys. J. 719, 1896 (2010), arXiv:1007.2993 [astro-ph.SR].
- M. Küffmeier, S. Frimann, S. S. Jensen, and T. Haugbølle, Monthly Not. Roy. Astron. Soc. 475, 2642 (2018), arXiv:1710.00931 [astro-ph.SR].
- C. P. Dullemond, M. Küffmeier, F. Goicovic, M. Fukagawa, V. Oehl, and M. Kramer, Astron. and Astrophys. 628, id. A20 (2019), arXiv:1911.05158 [astro-ph.EP].
- T. V. Demidova and V. P. Grinin, Astrophys. J. 953 (1), id. 38 (2023), arXiv:2308.04936 [astro-ph.SR].
- S. Nayakshin and G. Lodato, Monthly Not. Roy. Astron. Soc. 426, 70 (2012), arXiv:1110.6316 [astro-ph.EP].
- K. R. Bell and D. N. C. Lin, Astrophys. J. 427, 987 (1994), arXiv:astro-ph/9312015.
- L. A. Maksimova, Y. N. Pavlyuchenkov, and A. V. Tutukov, Astron. Rep. 64, 815 (2020), arXiv:2009.07750 [astro-ph.SR].
- I. Bonnell and P. Bastien, Astrophys. J. Letters 401, L31 (1992).
- R. Dong, H. B. Liu, N. Cuello, C. Pinte, et al., Nature Astron. 6, 331 (2022), arXiv:2201.05617 [astro-ph.SR].
- T. L. Beck and C. Aspin, Astron. J. 143 (3), id. 55 (2012).
- S. Pérez, A. Hales, H. B. Liu, Z. Zhu, et al., Astrophys. J. 889, id. 59 (2020), arXiv:1911.11282 [astro-ph.EP].
- E. M. A. Borchert, D. J. Price, C. Pinte, and N. Cuello, Monthly Not. Roy. Astron. Soc. 510, L37 (2022), arXiv:2111.12723 [astro-ph.GA].
- N. Cuello, F. Ménard, and D. J. Price, European Phys. J. Plus 138, 11 (2023), arXiv:2207.09752 [astro-ph.EP].
- H. B. Liu, E. I. Vorobyov, R. Dong, M. M. Dunham, et al., Astron. and Astrophys. 602, id. A19 (2017), arXiv:1701.06531 [astro-ph.SR].
- E. I. Vorobyov, V. Akimkin, O. Stoyanovskaya, Y. Pavlyuchenkov, and H. B. Liu, Astron. and Astrophys. 614, id. A98 (2018), arXiv:1801.06898 [astro-ph.EP].
- O. P. Stoyanovskaya, F. A. Okladnikov, E. I. Vorobyov, Y. N. Pavlyuchenkov, and V. V. Akimkin, Astron. Rep. 64, 107 (2020), arXiv:2102.09155 [astro-ph.EP].
- T. Molyarova, E. I. Vorobyov, V. Akimkin, A. Skliarevskii, D. Wiebe, and M. Güdel, Astrophys. J. 910, id. 153 (2021), arXiv:2103.06045 [astro-ph.EP].
- C. B. Henderson, Amer. Inst. Aeronautics and Astronautics J. 14, 707 (1976).
- N. I. Shakura and R. A. Sunyaev, Astron. and Astrophys. 24, 337 (1973).
- J. S. Dohnanyi, J. Geophys. Res. 74, 2531 (1969).
- C. F. Gammie, Astrophys. J. 457, 355 (1996).
- J. Bae, L. Hartmann, Z. Zhu, and R. P. Nelson, Astrophys. J. 795, id. 61 (2014), arXiv:1409.3891 [astro-ph.SR].
- K. Kadam, E. Vorobyov, Z. Regály, Á. Kóspál, and P. Ab-rahám, Astrophys. J. 882, id. 96 (2019), arXiv:1908.02515 [astro-ph.SR].
- E. I. Vorobyov, M. E. Steinrueck, V. Elbakyan, and M. Guedel, Astron. and Astrophys. 608, id. A107 (2017), arXiv:1708.07166 [astro-ph.SR].
- E. M. A. Borchert, D. J. Price, C. Pinte, and N. Cuello, Monthly Not. Roy. Astron. Soc. 517, 4436 (2022), arXiv:2210.01143 [astro-ph.SR].
- Z. Regály and E. Vorobyov, Monthly Not. Roy. Astron. Soc. 471, 2204 (2017), arXiv:1709.08334 [astro-ph.SR].
- K. Kadam, E. Vorobyov, Z. Regály, Á. Kóspál, and P. Ab-rahám, Astrophys. J. 895, id. 41 (2020), arXiv:2005.03578 [astro-ph.SR].
- E. I. Vorobyov, V. G. Elbakyan, A. Johansen, M. Lambrechts, A. M. Skliarevskii, and O. P. Stoyanovskaya, A-stron. and Astrophys. 670, id. A81 (2023), arXiv:2212.01023 [astro-ph.EP].
- A. Labdon, S. Kraus, C. L. Davies, A. Kreplin, et al., A-stron. and Astrophys. 646, id. A102 (2021), arXiv:2011.07865 [astro-ph.SR].
- F. Lykou, P. Ábrahám, L. Chen, J. Varga, et al., Astron. and Astrophys. 663, id. A86 (2022), arXiv:2205.10173 [astro-ph.SR].
- L. Hartmann, Accretion Processes in Star Formation (Cambridge, UK; New York: Cambridge University Press, 1998).
- A. M. Skliarevskii, Y. N. Pavlyuchenkov, and E. I. Vorobyov, Astron. Rep. 65, 170 (2021), arXiv:2104.10787 [astro-ph.EP].
- E. Kawazoe and S. Mineshige, Publ. Astron. Soc. Japan 45, 715 (1993).
- P. D’Alessio, Ph.D. thesis, UNAM’s Institute of Astronomy (1996).
- R. Dong, E. Vorobyov, Y. Pavlyuchenkov, E. Chiang, and H. B. Liu, Astrophys. J. 823, id. 141 (2016), arXiv:1603.01618 [astro-ph.SR].
- K. Zhang, G. A. Blake, and E. A. Bergin, Astrophys. J. Letters 806, id. L7 (2015), arXiv:1505.00882 [astro-ph.EP].
- P. Pinilla, A. Pohl, S. M. Stammler, and T. Birnstiel, A-strophys. J. 845, id. 68 (2017), arXiv:1707.02321 [astro-ph.EP].
- G. Picogna and W. Kley, Astron. and Astrophys. 584, id. A110 (2015), arXiv:1510.01498 [astro-ph.EP].
- R. Dong, Z. Zhu, and B. Whitney, Astrophys. J. 809, id. 93 (2015), arXiv:1411.6063 [astro-ph.EP].
- N. Dzyurkevich, M. Flock, N. J. Turner, H. Klahr, and T. Henning, Astron. and Astrophys. 515, id. A70 (2010), arXiv:1002.2521 [astro-ph.SR].
- M. Flock, J. P. Ruge, N. Dzyurkevich, T. Henning, H. Klahr, and S. Wolf, Astron. and Astrophys. 574, id. A68 (2015), arXiv:1411.2736 [astro-ph.EP].
- K. Kadam, E. Vorobyov, and S. Basu, Monthly Not. Roy. Astron. Soc. 516, 4448 (2022), arXiv:2208.12105 [astro-ph.EP].
- D. Forgan and K. Rice, Monthly Not. Roy. Astron. Soc. 402, 1349 (2010), arXiv:0911.0531 [astro-ph.SR].
- C. J. Clarke and J. E. Pringle, Monthly Not. Roy. Astron. Soc. 249, 584 (1991).
- G. Bourdarot, J.-P. Berger, G. Lesur, K. Perraut, et al., arXiv:2304.13414 [astro-ph.SR] (2023).
- K. Kadam, E. Vorobyov, and Á. Kóspál, Astrophys. J. 909, id. 31 (2021), arXiv:2101.05764 [astro-ph.SR].
Supplementary files












