Rotation of the Milky Way halo in the solar neighborhood based on GAIA DR3 catalog
- Authors: Tkachenko R.V.1, Bryndina A.P.1, Zhmailova A.В.1, Korchagin V.I.1
-
Affiliations:
- Southern Federal University
- Issue: Vol 101, No 7 (2024)
- Pages: 632-640
- Section: Articles
- URL: https://journal-vniispk.ru/0004-6299/article/view/274297
- DOI: https://doi.org/10.31857/S0004629924070055
- EDN: https://elibrary.ru/IUMOLX
- ID: 274297
Cite item
Full Text
Abstract
The rotation of the Milky Way halo in the solar neighborhood is investigated using kinematic data from the GAIA DR3 catalog for RR Lyrae variable stars with parallax errors of less than 20%. Two criteria were used for selecting halo stars — kinematic and spatial. In both approaches, we confirm the existence of weak rotation of the halo in the direction opposite to the rotation of the Galactic disk with velocities of 4.08 ± 2.19 km/s for the kinematic criterion and 9.49 ± 2.59 km/s for the spatial criterion.
Keywords
Full Text
1. Введение
Изучение формирования и эволюции галактик до сих пор остается одним из важнейших направлений современной астрофизики. Гало, как одна из старейших подсистем Млечного Пути, является базой для прослеживания истории формирования Галактики. Эгген и др. [1] высказали предположение, согласно которому старые звезды гало образовались в результате быстрого гравитационного коллапса протогалактического облака. Вскоре авторы [2], исследуя химический состав 177 красных гигантов в 19 шаровых скоплениях гало, обнаружили, что металличность скоплений не зависит от их галактоцентрического расстояния, и выдвинули предположение, что гало Галактики образовалось в результате аккреции карликовых галактик. В настоящее время является общепризнанным, что гало Галактики или, по крайней мере, его большая часть образовалось в результате иерархического слияния небольших звездных систем, таких как шаровые скопления и карликовые галактики, подобно аккрецирующей и разрушающейся в настоящее время галактики Стрелец [3]. Обширные наблюдательные данные, собранные к настоящему времени, демонстрируют, что гало имеет сложную структуру, включающую звездные потоки и карликовые галактики, разрушающиеся в результате приливного взаимодействия [3]. Наблюдательные данные, таким образом, полностью подтверждают иерархическую модель образования гало Млечного Пути, когда в процессе длительной эволюции разрушившихся в прошлом карликовых галактик сформировалось галактическое гало, история образования которого может быть отслежена по наблюдаемым в гало пространственным структурам [4].
Суммарный угловой момент гало Галактики связан с историей аккреции объектов, включающих не только карликовые галактики, такие как Стрелец, но и с аккрецией более крупных объектов, таких, как недавно открытая аккрецированная галактика Гайя-Энцеладус [5], с аккрецией которой связана значительная доля ретроградно вращающихся звезд. Если аккреция отдельных галактик происходит в случайных направлениях, суммарный вращательный момент звезд гало Lz должен быть близок к нулю [6]. Отметим также, что проградное вращение части звезд гало может быть обусловлено их взаимодействием с вращающимся баром [7].
До настоящего времени отсутствует консенсус о наличии или отсутствии вращения гало Галактики. Уткин и др. [8] по данным GAIA DR2 нашли слабое проградное вращение внутреннего гало, и его ретроградное вращение во внешних областях. Тиан и др. [9] по кинематическим данным К-гигантов сообщили о наличии слабого проградного вращения местного гало. В работе [10] по данным GAIA DR2 было найдено слабое ретроградное вращение гало Млечного Пути. Каролло и др. [11], используя выборку звезд типа RR Лиры, обнаружили, что гало Млечного Пути в его внутренних областях имеет заметное проградное вращение, что контрастирует с вращением гало во внешних областях Галактики, имеющего ретроградное вращение. Лиу и др. [12], используя аналогичную работе [11] выборку звезд типа RR Лиры из каталога GAIA EDR3, также подтверждают, что гало Галактики имеет две компоненты со сменой направления вращения в окрестности r = 30 кпк.
В настоящей работе исследуется вращение околосолнечной окрестности гало Млечного Пути по выборке звезд типа RR Лиры из каталога GAIA DR3, для которых известны параллаксы с ошибкой, не превышающей 20%. Это позволяет оценить вращение локальной околосолнечной окрестности гало Млечного Пути, базируясь на прямых измерениях кинематических характеристик звезд гало Млечного Пути без привлечения дополнительных данных для оценки расстояний до объектов гало и их скоростей. В разделе 2 описаны наблюдательные данные, на которых основано наше исследование. В разделе 3 обсуждаются критерии отбора звезд гало из каталога Gaia DR3 для двух подходов, используемых в работе. В разделе 4 суммируются полученные результаты.
2. Наблюдательные данные
Согласно работе [13] число переменных звезд типа RR Лиры по данным каталога GAIA DR3 насчитывается 270 905 штук. Для получения выборки звезд типа RR Лиры нами был использован пакет TOPCAT [14]. Запрос для получения информации о звездах типа RR Лиры из архива Gaia DR3 был выполнен с помощью Astronomical Data Query Language (ADQL) следующим образом:
select gaiadr3.gaia_source.source_id,
gaiadr3.gaia_source.ra,
gaiadr3.gaia_source.dec,
...
from gaiadr3.gaia_source
inner join gaiadr3.vari_rrlyrae on
gaiadr3.gaia_source.source_id=gaiadr3.vari_rrlyrae.source_id
where parallax_over_error > 5 and ruwe < 1.4 and and
gaia_source.radial_velocity is not null.
Из каталога Gaia DR3 были отобраны звезды с известными параллаксами, собственными движениями α и δ и лучевыми скоростями , для которых ошибка в параллаксах не превышает 20%, а параметр ruwe (renormalised unit weight error) для каждого источника не превышает значение 1.4. Согласно работе [15] этот критерий применяется для исключения источников, для которых астрометрические решения плохо представлены пятипараметрическим решением для одиночной звезды. С указанными выше ограничениями выборка звезд типа RR Лиры составляет 4353 объектов.
Для вычисления скорости вращения гало был выполнен перевод астрономических данных в галактоцентрическую декартову и цилиндрическую системы с помощью пакета astropy [16]. В принятой системе координат диск Млечного Пути, видимый с северного полюса Галактики, вращается по часовой стрелке. Координаты Солнца выбраны следующим образом: кпк и z = 20.8 ± 0.3 пк в соответствии с данными из работ [17, 18, 19]. В декартовой системе координат x = 8.122 ± 0.033 кпк, y = 0 и z = 20.8 ± 0.3 пк. Скорость Солнца относительно галактического центра принята равной (12.9 ± 3.0, 245.6 ± 1.4, 7.78 ± 0.9) км/с согласно [18].
На рис. 1 показано распределение выборки звезд, отобранных по описанному выше критерию в галактических координатах (l, b). Как видно из рисунка, звезды равномерно заполняют пространство, сгущаясь к галактическому центру. При этом подавляющее большинство звезд находится в пределах 10 кпк от Солнца.
Рис. 1. Распределение звёзд в галактической системе координат (l, b), где долгота l = 0 и широта b = 0 соответствуют положению галактического центра. Шкала справа показывает гелиоцентрические расстояния объектов d.
На рис. 2 (верхний ряд) показано распределение звезд в декартовых координатах (x, y) и (x, z). Отметим, что клинообразная структура в пространстве (x, z) в области z 0 и x 6 кпк связана с большой концентрацией пыли в плоскости диска. В направлении от точки наблюдения x 8 кпк к галактическому центру слой пыли увеличивается и поглощение делает недоступным наблюдение объектов в данной области. Средний ряд рисунка (слева) показывает гистограмму распределения звезд по гелиоцентрическим расстояниям (d, N). Как видно из рисунка, подавляющее число звезд с ошибками параллаксов, не превышающими 20%, лежит в сфере радиусом 5 кпк, в центре которой находится Солнце. На рис. 2 представлены также гистограмма распределения числа звезд по азимутальным скоростям (Vf, N) (средний ряд, справа), и распределение звезд (нижний ряд) в пространствах (Vf, Vz), и (Lz, E), где Lz и E момент импульса и полная механическая энергия звезд, вычисленные с помощью пакета galpy [20] в потенциале McMillan17 [21]. Потенциал Галактики, представляющий собой сумму потенциалов толстого и тонкого звездных дисков, гало, дисков нейтрального H I и молекулярного водорода H2, а также балджа подробно описан в работе [22]. Вертикальные прямые линии на рисунке отделяют области проградного в направлении вращения Солнца и ретроградного движения звезд. Из диаграмм (Vf, N), (Vf, Vz), (Lz, E) видно, что представленная выборка звезд позволяет выделить несколько структурных компонент галактики. Так, на диаграмме (Vf, N) пик скорости в области Vf = 230 км/с связан с лиридами, принадлежащими дисковой компоненте. Эта структура также прослеживается на диаграмме (Vf, Vz) в области Vf = 230 км/с и Vz = 0 км/с и наблюдается в виде ответвления в нижней левой части диаграммы (Lz, E).
Рис. 2. Верхний ряд: распределение звезд RR Лиры в пространствах (x, y) и (x, z). Средний ряд: гистограммы распределения (d, ∆N) и (Vφ, ∆N). Внизу: распределения звезд в пространствах (Vφ, Vz) и (Lz, E). Вертикальными пунктирными линями разделены объекты, имеющие проградное и ретроградное вращение.
В следующем разделе мы обсудим критерии отбора звезд гало и оценку скорости вращения гало в околосолнечной окрестности для различных критериев отбора.
3. Кинематика гало в околосолнечной окрестности
Для получения выборки звезд, принадлежащих гало Млечного Пути, мы используем два подхода: кинематический (далее А1) и пространственный (далее А2). В обоих указанных выше подходах мы используем следующие общие критерии: выбираются звезды, находящиеся в цилиндрическом слое, ограниченном галактоцентрическими радиусами 4 и 12 кпк, гелиоцентрическое расстояние d которых не превышает 10 кпк. Следуя [12] мы исключаем из рассмотрения лириды, обладающие большими скоростями км/с, а также звезды с моментами импульсов, превышающими кпк·км/с.
Отбор звезд гало в кинематическом критерии А1 базируется на данных о значениях компонент дисперсии скоростей для толстого диска Галактики в околосолнечной окрестности. Согласно [23] радиальная дисперсия скоростей звезд толстого диска в околосолнечной окрестности равна σVR = 49 км/с. Дисперсия скоростей звезд толстого диска Галактики растет с уменьшением галактоцентрического радиуса. Значение радиальной дисперсии скоростей толстого диска Галактики на радиусе 4 кпк можно оценить, считая, что дисперсия скоростей толстого диска изменяется по экспоненциальному закону с масштабом кпк [24, 25]. С учетом принятой шкалы, радиальная дисперсия звезд в области 4 кпк оказывается равной σVR = 87 км/с. Для оценки дисперсии в направлении, перпендикулярном диску, мы используем значение отношения дисперсий , которое по оценкам разных авторов варьируется в пределах 0.450.6 [25]. Выбирая более жесткую оценку для этого отношения, равную 0.6, мы получаем, что дисперсия скоростей толстого диска в перпендикулярном направлении на расстоянии R = 4 кпк от центра Галактики равна σVz = 52 км/с. Чтобы избежать подмешивания звезд толстого диска к выборке звезд гало, мы использовали критерий , принимая ⟨VR⟩ и ⟨Vz⟩ равными 0 км/с. Таким образом, кинематический критерий для получения выборки звезд гало имеет вид: км/с и км/с.
Независимо был использован пространственный критерий А2 отождествления звезд гало, согласно которому звезда считается принадлежащей гало, если ее координата кпк, что более чем в четыре раза превышает вертикальный масштаб толстого диска Галактики в околосолнечной окрестности [26, 23].
На рис. 3 представлены распределения звезд Гало в пространствах (Vf, N) и (Lz, E), отобранных по критериям А1 и А2. Выборка звезд гало, отобранная по кинематическому критерию А1, имеет слабое ретроградное вращение со средней вращательной скоростью км/с при среднем моменте импульса кпк·км/с. Из 715 звезд, отобранных по этому критерию, в направлении вращения диска движутся Npro = 326 звезд, в то время как Nret = 389 звезд имеют ретроградное вращение.
Рис. 3. Гистограмма распределения вращательной скорости звезд гало и распределение звезд гало в пространстве (Lz, E), отобранных по кинематическому (верхний ряд) и пространственному (нижний ряд) критериям.
Средняя вращательная скорость, определяемая по пространственному критерию А2, оказывается равной км/с при среднем моменте импульса кпк·км/с. Полное число звезд, отобранных по этому критерию, равно 544, из которых проградное вращение имеют Npro = 229 звезд, и ретроградное Nret = 315. Отметим, что для обоих критериев отбора количество звезд, имеющих ретроградное вращение, превышает число звезд, движущихся в направлении вращения диска.
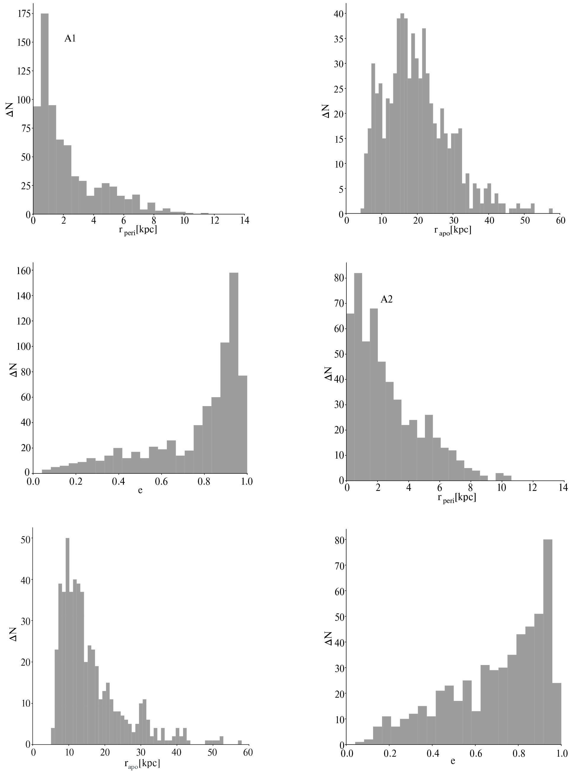
На рис. 4 показаны распределения звезд гало по перицентрам rperi, апоцентрам rapo, и эксцентриситетам e, отобранных по обоим критериям. Значения перицентров, апоцентров и эксцентриситетов звезд получены путем численного интегрирования их орбит в течение 3 млрд. лет вперед во времени в потенциале McMillan17 [21] с помощью пакета galpy [20]. Максимальный период орбит звезд выборки составляет млн. лет. Таким образом, принятого времени интегрирования достаточно для точного определения параметров орбит. Из рис. 4 видно, что подавляющее число звезд имеет сравнительно малые перицентры и вытянутые орбиты с эксцентриситетами ( ). Отметим, что значительная часть звезд выборки подходит к галактическому бару достаточно близко. Однако взаимодействие лирид гало с проградно вращающимся баром не оказывает существенного влияния на их динамику, и наблюдаемое вращение гало оказывается слабо ретроградным.
Рис. 4. Кинематические характеристики звезд, отобранных по кинематическому (левый столбец) и пространственному (правый столбец) критериям. Показаны распределения перицентров rperi (верхний ряд), апоцентров rapo, (средний ряд) и эксцентриситетов e звезд (нижний ряд).
Для учета ошибок в значениях параллаксов, собственных движений и лучевых скоростей звезд, а также для учета ошибки в определении скорости Солнца относительно галактического центра и его влияния на значение средней скорости и момента импульса вращающегося гало мы провели статистический эксперимент, в котором тысячу раз генерировались искусственные выборки звезд в пределах ошибок наблюдательных данных. В каждом эксперименте генерировались значения параметров для искусственной выборки из 4353 звезд, в каждой из которых применялись критерии отбора звезд гало, и вычислялись средние значения вращательной скорости гало и его полного момента импульса. В результате, для кинематического критерия А1 среднее вращение гало по 1000 статистическим экспериментам оказалось равным ⟨Vφ⟩ = 4.08 км/с со стандартным отклонением от среднего значения км/с. Средний момент импульса оказывается равным в этом случае ⟨Lz⟩ = 34.53 кпк·км/с при стандартном отклонении кпк·км/с. Среднее число звезд гало, отобранных по критерию А1, оказывается равным со стандартным отклонением . Среднее число звезд, вращающихся в направлении вращения диска, оказывается равным ⟨Npro⟩ = 327.37 с σ⟨Npro⟩ = 10.46, а для ретроградных ⟨Nret⟩ = 365.15 с σ⟨Nret⟩ = 10.73.
Для пространственного критерия А2 средняя скорость вращение гало по результатам статистического эксперимента оказывается равной (Vφ) = 9.50 км/с, со стандартным отклонением от среднего значения км/с при среднем моменте импульса кпк·км/с со стандартным отклонением кпк·км/с. При этом среднее число отобранных звезд в гало оказывается равным , со стандартным отклонением . Среднее число звезд, вращающихся проградно, составляет ⟨Npro⟩ = 218.47 с σ⟨Npro⟩ = 8.13, а для ретроградных ⟨Nret⟩ = 292.10 с σ⟨Nret⟩ = 8.66.
4. Заключение
С помощью данных из каталога GAIA DR3 для переменных звезд типа RR Лиры было оценено вращение гало Млечного Пути в околосолнечной окрестности. Для получения выборки звезд гало мы использовали два критерия: кинематический, когда выбираются звезды, компоненты скоростей которых в направлении, перпендикулярном диску, в три раза превышают значение дисперсии скоростей толстого лиска в этом направлении на расстоянии R = 4 кпк от центра Галактики, и пространственный, при котором отбирались звезды, находящиеся над плоскостью диска на расстояниях, превышающих четыре вертикальных масштаба распределения плотности звезд толстого диска Галактики.
В обоих случаях отмечается слабое вращение гало в направлении, противоположном вращению диска, со скоростями и стандартными отклонениями для критерия А1 км/с, и моментом импульса кпк·км/с. Для пространственного критерия отбора эти значения равны ⟨Vφ⟩ = 9.50 ± 2.59 км/с, при значении момента импульса ± 19.00 кпк·км/с. В обоих случаях наблюдается превышение в 1530% числа звезд, имеющих вращение в направлении, противоположном вращению диска Галактики. Лиу и др. [12], используя положение Солнца кпк и его компоненты скорости (7.0, 252, 4.95) км/с, не находят заметного вращения лирид с высокой металличностью, подтверждая, однако, проградное вращение лирид с низкой металличностью со скоростью км/с. Тиан и др. [9], базируясь на выборке К-гигантов в окрестности 4 кпк от Солнца, обнаружили проградное вращение гало со скоростью 27 км/с, предполагая, что скорость локального стандарта покоя км/с и скорость Солнца относительно LSR (11.1, 12.24, 7.25) км/с. Уткин и др. [8], используя км/с и пекулярную скорость в направлении вращения км/с, нашли проградное вращение гало со скоростью 2030 км/с внутри солнечного круга, проградное вращение гало со скоростью 1020 км/с в его окрестности, отсутствие вращения гало в области 1015 кпк и его ретроградное вращение за пределами 15 кпк. В работе [10], приняв положение Солнца кпк и его скорость ( , , ) км/с было найдено ретроградное вращение гало со скоростью км/с.
Таир и др. [27] оценили вращение гало близлежащих галактик по наблюдениям облаков холодного газа с температурой около 2.7 К, находящихся в тепловом равновесии с реликтовым излучением. Хотя их наблюдения [27] не позволяют оценить вращение гало галактик во внутренних областях на расстояниях менее 10 кпк от центра, вращательные скорости, полученные ими во внутренних областях гало, близки к значениям, полученным в настоящей работе. Так, для галактики М31 вращение гало, оцененное по холодным газовым облакам, оказалось в диапазоне от до 1 км/с на расстоянии кпк от центра. Вращательная скорость гало галактики NGC 5494 на расстоянии 15 кпк равна км/с, а вращательная скорость гало М81 на расстоянии 15 кпк оценена в 1348 км/с.
Базируясь на выборке звезд типа RR Лиры, для которых известны собственные движения с ошибками в расстояниях не превышающих 20%, мы показываем, что с учетом всех ошибок наблюдений и ошибки в определении скорости LSR, скорость ретроградного вращения гало Млечного Пути в околосолнечной окрестности не превышает 4.09.5 км/с, что меньше большинства предыдущих оценок.
Финансирование
Исследование было выполнено в Южном федеральном университете при финансовой поддержке Министерства науки и высшего образования Российской Федерации (Государственный контракт GZ0110/23-10-IF).
Благодарности
Авторы выражают искреннюю благодарность анонимному рецензенту за полезные замечания и внимание, уделенное работе.
About the authors
R. V. Tkachenko
Southern Federal University
Author for correspondence.
Email: rtkachenko@sfedu.ru
Institute of Physics
Russian Federation, Rostov-on-DonA. P. Bryndina
Southern Federal University
Email: rtkachenko@sfedu.ru
Institute of Physics
Russian Federation, Rostov-on-DonA. В. Zhmailova
Southern Federal University
Email: rtkachenko@sfedu.ru
Institute of Physics
Russian Federation, Rostov-on-DonV. I. Korchagin
Southern Federal University
Email: rtkachenko@sfedu.ru
Institute of Physics
Russian Federation, Rostov-on-DonReferences
- O. J. Eggen, D. Lynden-Bell, and A. R. Sandage, 136, 748 (1962).
- L. Searle and R. Zinn, 225, 357 (1978).
- V. Belokurov, D. B. Zucker, N. W. Evans, G. Gilmore, et al., 642(2), L137 (2006), arXiv:astro-ph/0605025.
- A. Helmi, S. D. M. White, P. T. de Zeeuw, and H. Zhao, Nature 402(6757), 53 (1999), arXiv:astro-ph/9911041.
- A. Helmi, C. Babusiaux, H. H. Koppelman, D. Massari, J. Veljanoski, and A. G. A. Brown, Nature 563(7729), 85 (2018), arXiv:1806.06038 [astro-ph.GA].
- R. E. Sanderson, A. Helmi, and D. W. Hogg, 801(2), id. 98 (2015), arXiv:1404.6534 [astro-ph.GA].
- E. Athanassoula, R. E. G. Machado, and S. A. Rodionov, Monthly Not. Roy. Astron. Soc. 429(3), 1949 (2013), arXiv:1211.6754 [astro-ph.CO].
- N. D. Utkin, A. K. Dambis, A. S. Rastorguev, A. D. Klinchev, I. Ablimit, and G. Zhao, Astron. Letters 44(11), 688 (2018).
- H. Tian, C. Liu, Y. Xu, and X. Xue, 871(2), id. 184 (2019), arXiv:1805.08326 [astro-ph.GA].
- G. Iorio and V. Belokurov, Monthly Not. Roy. Astron. Soc. 502(4), 5686 (2021), arXiv:2008.02280 [astroph.GA].
- D. Carollo, T. C. Beers, Y. S. Lee, M. Chiba, et al., Nature 450(7172), 1020 (2007), arXiv:0706.3005 [astro-ph].
- G. Liu, Y. Huang, S. A. Bird, H. Zhang, F. Wang, and H. Tian, Monthly Not. Roy. Astron. Soc. 517(2), 2787 (2022), arXiv:2209.07885 [astro-ph.GA].
- V. Ripepi, G. Clementini, R. Molinaro, S. Leccia, et al., Astron. and Astrophys. 674, id. A17 (2023), arXiv:2206.06212 [astro-ph.SR].
- M. Taylor, arXiv:1707.02160 [astro-ph.IM] (2017).
- L. Lindegren, J. Hernández, A. Bombrun, S. Klioner, et al., Astron. and Astrophys. 616, id. A2 (2018), arXiv:1804.09366 [astro-ph.IM].
- T. P. Robitaille, E. J. Tollerud, P. Greenfield, M. Droettboom, et al., Astron. and Astrophys. 558, id. A33 (2013), arXiv:1307.6212 [astro-ph.IM].
- R. Abuter, A. Amorim, N. Anugu, M. Bauböck, et al., Astron. and Astrophys. 615, id. L15 (2018), arXiv:1807.09409 [astro-ph.GA].
- R. Drimmel and E. Poggio, Res. Notes Amer. Astron. Soc. 2(4), id. 210 (2018).
- M. Bennett and J. Bovy, Monthly Not. Roy. Astron. Soc. 482(1), 1417 (2019), arXiv:1809.03507 [astro-ph.GA].
- J. Bovy, Astrophys. J. Suppl. 216(2), id. 29 (2015), arXiv:1412.3451 [astro-ph.GA].
- P. J. McMillan, Monthly Not. Roy. Astron. Soc. 465(1), 76 (2017), arXiv:1608.00971 [astro-ph.GA].
- R. Tkachenko, V. Korchagin, A. Jmailova, G. Carraro, and B. Jmailov, Galaxies 11(1), id. 26 (2023), arXiv:2303.05603 [astro-ph.GA].
- K. Vieira, G. Carraro, V. Korchagin, A. Lutsenko, T. M. Girard, and W. van Altena, 932(1), id. 28 (2022), arXiv:2205.00590 [astro-ph.GA].
- V. Korchagin, A. Lutsenko, R. Tkachenko, G. Carraro, and K. Vieira, Galaxies 11(5), id. 97 (2023), arXiv:2310.10327 [astro-ph.GA].
- S. Khrapov, A. Khoperskov, and V. Korchagin, Galaxies 9(2), id. 29 (2021), arXiv:2105.03198 [astro-ph.GA].
- M. Jurić, Ž. Ivezić, A. Brooks, R. H. Lupton, et al., 673(2), 864 (2008), arXiv:astro-ph/0510520.
- N. Tahir, F. De Paolis, A. Qadir, and A. A. Nucita, Symmetry 15(1), id. 160 (2023), arXiv:2301.03249 [astro-ph.GA].
Supplementary files






