Относительные расстояния и пекулярные скорости 140 групп и скоплений галактик на малых масштабах и H0
- Авторы: Копылова Ф.Г.1, Копылов А.И.1
-
Учреждения:
- Специальная астрофизическая обсерватория
- Выпуск: Том 101, № 8 (2024)
- Страницы: 682-692
- Раздел: СТАТЬИ
- URL: https://journal-vniispk.ru/0004-6299/article/view/274384
- DOI: https://doi.org/10.31857/S0004629924080014
- EDN: https://elibrary.ru/ITXYCE
- ID: 274384
Цитировать
Полный текст
Аннотация
Мы использовали фундаментальную плоскость (ФП) галактик ранних типов (данные Sloan Digital Sky Survey (SDSS)) для определения относительных расстояний и пекулярных скоростей 140 групп и скоплений галактик на малых масштабах, z < 0.12. Построена диаграмма Хаббла между относительными расстояниями систем галактик и лучевыми скоростями в системе трехградусного реликтового фона (CMB) в стандартной Λ CDM модели ( Ω m = 0.3, H 0 = 70 км · с –1 Мпк –1 ). Найдено, что логарифмическое стандартное отклонение групп и скоплений галактик ( N = 140) на диаграмме Хаббла (с вычетом пекулярных скоростей) равно ± 0.0173, что соответствует разбросу постоянной Хаббла 70 ± 2.8 км · с –1 Мпк –1 . Для выборки систем галактик ( N = 63) c рентгеновской светимостью в интервале (0.151 ÷ 4) × 10 44 эрг/с мы получили 70 ± 2.1 км · с –1 Мпк –1 . Среднеквадратичные отклонения пекулярных скоростей с квадратичным учетом ошибок равны null 714 ± 7 км/c и 600 ± 7 км/c соответственно. Пять больших сверхскоплений галактик из области SDSS показывают среднюю пекулярную скорость +240 ± 250 км/c относительно CMB. Мы не нашли оттока систем галактик из воида (Giant Void, α ≈ 13 h , δ ≈ 40 ° , z ≈ 0.107), образованной группами и скоплениями галактик.
Полный текст
1. ВВЕДЕНИЕ
Крупномасштабная структура Вселенной имеет ячеистую структуру. Основными ее элементами являются гало темной материи — галактики, группы и скопления галактик, сконцентрированные в виде филаментов, стенок вокруг низкоплотных областей, воидов. Первые исследования элементов крупномасштабной структуры выполнены в работах [1–7]. В работе [8] приведены сценарии, объясняющие формирование и развитие крупномасштабной структуры, и указано, что основным ее элементом являются пустые области — воиды. Изучение воидов в распределении скоплений галактик выполнены, например, в работах [9–13].
Гравитационное притяжение элементов крупномасштабной структуры является основной причиной пекулярных скоростей галактик, скоплений галактик. Пекулярную скорость скоплений галактик на малых z можно оценить следующим образом:
(1)
где D — сопутствующее расстояние галактики, H 0 — постоянная Хаббла.
Чтобы определить пекулярные скорости скоплений галактик относительно Хаббловского потока необходимо измерить относительные расстояния систем галактик каким-нибудь методом, чувствительным к расстоянию. Фундаментальная плоскость (ФП) галактик ранних типов [14, 15] широко используется для исследования свойств галактик ранних типов, для определения относительных расстояний и пекулярных скоростей скоплений галактик (см., напр., [16–19]). ФП является эмпирическим соотношением между центральной дисперсией звезд в галактике σ , физическим эффективным радиусом R e и средней поверхностной яркостью μ e в пределах эффективного радиуса.
Ранее, с помощью ФП для большой выборки систем галактик нами уже были определены относительные расстояния и пекулярные скорости скоплений галактик в сверхскоплениях Leo, Hercules (Her), Bootes (Boo), Corona Borealis (CrB) по данным каталога SDSS (DR8 [20]) в работах [21, 22, 23]. По данным каталога SDSS DR4 мы опубликовали результаты аналогичных измерений для сверхскопления Ursa Major (UMa) [24].
В каталоге Data Release 8 учтены ошибки обработки изображений, особенно больших галактик, допущенных в предыдущих релизах. Для измерения наблюдаемых относительных расстояний систем галактик в приведенных выше работах [22, 23] мы воспользовались ФП, уже полученной в работе [25], где учтена эволюция светимости галактик ранних типов и получен эволюционный параметр .
Известно, что в расширяющейся Вселенной поверхностная яркость объекта изменяется как ( z — красное смещение объекта, SB — поверхностная яркость), происходит космологическое ослабление поверхностной яркости. Множитель возникает из-за расширения пространства Вселенной, множитель — из-за релятивистских эффектов вследствие радиального собственного движения. Отсюда вытекает поправка в логарифмической форме за ослабление поверхностной яркости галактик в расширяющейся Вселенной, например [26]:
(2)
Кроме того, в работе [25] была определена эволюция средней поверхностной яркости галактик ранних типов с красным смещением, эволюционный параметр [mag/arcsec2], с учетом космологического ослабления поверхностной яркости с изменением z как , и без учета эволюции звездных величин галактик.
Математически учет обеих поправок Q и Q r в SB одинаков. В данной работе мы показываем, что если учесть только первую часть поправки в поверхностной яркости, вызванной движением галактик , то эволюция средней поверхностной яркости с ростом z равна [mag/arcsec2].
Кроме сверхскоплений галактик в нашу выборку мы включили группы и скопления галактик, расположенные в области большого воида в распределении скоплений галактик (Giant Void (GV), , , ). Диаметр GV — максимальный диаметр сферы, в которой нет скоплений галактик — равен 214 Мпк. Результаты, полученные ранее по наблюдениям на 6-м и 1-м телескопах САО РАН с помощью соотношения Корменди, опубликованы в работе [12], где было показано по 17 скоплениям галактик, чтo оттока систем галактик, вызванных дефицитом массы в воиде, не наблюдается.
В данной работе мы заново определяем относительные расстояния и пекулярные скорости скоплений галактик вокруг GV с помощью другого метода — ФП галактик ранних типов. Предполагается рассмотреть всю выборку одинаково выполненных измерений относительных расстояний 140 групп и скопления галактик целиком. Одна из основных целей работы — протестировать стандартную космологическую модель с помощью расстояний и пекулярных скоростей большой выборки систем галактик (диаграмму Хаббла). Работа выполнена нами с привлечением данных каталогов SDSS (Sloan Digital Sky Survey Data Release 7, 8), NED.
Статья организована следующим образом. В секции 2 описаны этапы построения ФП: выборка, отбор галактик ранних типов, приведена общая фундаментальная плоскость. В секции 3 определены относительные расстояния групп и скоплений галактик. В секции 4 мы вычислили пекулярные скорости групп/скоплений галактик вокруг воида, пекулярные скорости сверхскоплений галактик. В секции 5 приведена диаграмма Хаббла для всей выборки и оценены отклонения от нее. В заключении перечислены полученные результаты. В статье мы использовали стандартную ΛCDM космологию с параметрами: H 0 = 70 км · с –1 Мпк –1 , , .
2. ФУНДАМЕНТАЛЬНАЯ ПЛОСКОСТЬ ГАЛАКТИК РАННИХ ТИПОВ
2.1. Описание выборки
Всего в нашей выборке 140 групп и скоплений c числом галактик ранних типов больше 3 в пределах выбранного нами радиуса . Выборка имеет следующие параметры: (дополнительно 3 скопления с ) и км/с. В данной работе самые далекие системы галактик расположены в области Giant Void, изученного нами ранее. В работе [12] нами было отобрано 17 скоплений галактик. Но по данным SDSS оказалось, что три скопления (A 1298, A 1700, A 1739) имеют мало галактик со спектральной информацией. Поэтому их мы не рассматривали, но добавили еще 5 скоплений галактик, расположенных в этой области. Всего вокруг Giant Void была составлена выборка из 19 групп и скоплений галактик, имеющих красные смещения .
Динамические характеристики систем галактик основаны на измерении гелиоцентрической лучевой скорости, одномерной дисперсии лучевых скоростей, по которой вычисляется вириальная масса в пределах эмпирического радиуса , в предположении . Радиус близок к вириальному, и в его пределах плотность систем галактик превышает критическую плотность Вселенной в 200 раз. Радиус можно оценить по формуле Мпк [27]. В предположении масса в пределах равна . Подробно измерение параметров скоплений галактик описано, например, в работе [22].
2.2. Отбор галактик ранних типов
Отбор галактик ранних типов в пределах радиуса осуществлен одинаковым образом для всех скоплений галактик. Как и в работе [22] мы применили следующие критерии к параметрам галактик.
- центральная дисперсия скоростей звезд: км/с;
- параметр, характеризующий вклад профиля Вокулера в профиль поверхностной яркости: ;
- индекс концентрации, равный отношению радиусов, содержащих 90% и 50% потоков Петросяна: ;
- ограничение по цвету: , чтобы исключить галактики поздних типов, где [28];
- соотношение осей галактик: ;
- отношение сигнала к шуму в спектрах галактик: ;
- предельная звездная величина нашей выборки соответствует спектроскопическому пределу SDSS, который равен звездной величине Петросяна (т. е. неисправленной за поглощение) в фильтре [29].
Количество используемых галактик играет ключевую роль в определении относительных расстояний скоплений галактик, поскольку стандартная ошибка среднего расстояния равна стандартному отклонению, деленному на . Из каталога SDSS мы взяли параметры галактик, которые получены путем подгонки профиля Вокулера к наблюдаемому профилю галактик. Все поправки: (1) апертурная поправка к дисперсии лучевых скоростей (здесь — радиус галактики с учетом ее эллиптичности, — модельный радиус галактики раннего типа), (2) поправка за поглощение в Галактике (данные SDSS), (3) -поправка [30], сделаны в соответствии с работой [25]. Лучевые скорости скоплений галактик приведены в систему реликтового фона (CMB), поправки взяты из базы данных NED.
Обычно, средняя эффективная поверхностная яркость записывается в виде
(3)
Как мы уже отметили, поправку за космологическое ослабление SB , ( ), мы разделили на два компонента (см. уравнение (2)), в которых учтены релятивистские эффекты и изменение геометрии Вселенной, где — измеренное красное смещение, в которое входит пекулярная скорость объекта, и (в нашем случае ) — красное смещение, соответствующее истинному космологическому расстоянию, определенному по ФП.
В SB мы учли только первую часть поправки, вторая ее часть учтена в нуль-пункте ФП при определении зависимости Хаббла (следующий пункт), аналогично работе [22]. Мы определили для нашей выборки галактик ранних типов ( ) зависимость с первой частью поправки от красного смещения в виде: . На рис. 1 приведена полученная зависимость для диапазона красных смещений от 0.02 до 0.145.
Рис. 1. Зависимость средней поверхностной яркости галактик ранних типов от . Линия соответствует регрессионному соотношению .
2.3. Определение расстояний с помощью ФП
Для отобранных нами 2654 галактик ранних типов (по приведенным критериям) построена общая фундаментальная плоскость в сопутствующей системе координат методом наименьших квадратов. Уравнение для ФП имеет вид:
(4)
где — эффективный радиус галактики в килопарсеках, — средняя эффективная поверхностная яркость в пределах этого радиуса, — дисперсия лучевых скоростей звезд и — нуль-пункт ФП, зависящий от расстояний галактик. Значение нуль-пункта нашей выборки получено для принятой стандартной ΛCDM космологии. Стандартное отклонение нуль-пункта ФП равно 0.071, что эквивалентно — ошибке определения расстояния одной галактики.
Формальная ошибка определения расстояния скопления зависит от числа используемых галактик и меняется от 2% до 12%. Нуль-пункт изменяется с расстоянием галактик, если измеряется в угловых секундах. Остаточные отклонения от ФП, , не зависят от центральной дисперсии звезд в галактиках. Мы использовали этот факт для уточнения выборки отобранных ранее галактик в каждом из скоплений [22]. Эмпирическим путем мы нашли, что практически все отклонения нуль-пунктов галактик от среднего нуль-пункта скопления не превышают .
Предельная звездная величина нашей выборки изменяется от системы к системе. Мы взяли одинаковый предел для всех систем галактик, , определили расстояния и сравнили их с расстояниями, полученными при использовании индивидуальных пределов. Различия между расстояниями находятся в пределах , а среднее отклонение от этого значения равно нулю. Таким образом, вариации предельной величины систем галактик не оказывают существенного влияния на определяемые пекулярные скорости и, практически, находятся в пределах их ошибок. Особенно, это касается далеких скоплений галактик нашей выборки, в которых пекулярные скорости с большой ошибкой измеряются только по ярким галактикам. В нашей выборке только 10 систем галактик с количеством галактик меньше 7, поэтому мы не учитывали в расстояниях эффект Малмквист байес (Malmquist bias). Для систем галактик с числом членов больше семи однородный эффект Малмквист байес меньше 1.5% [31].
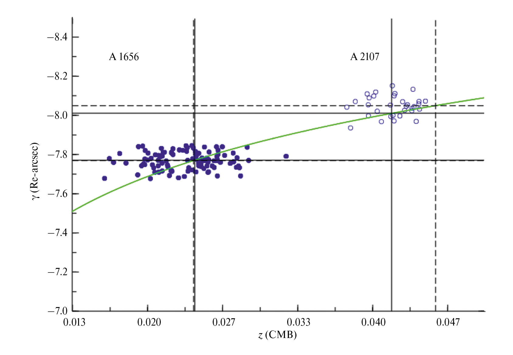
На рис. 2 методика определения пекулярных скоростей показана графически. На ней приведены наблюдаемые расстояния (нуль-пункты , рассчитанные для в угловых секундах) галактик в скоплении A 1656 (заполненные кружки) и в скоплении A 2107 (пустые кружки) в зависимости от их красных смещений относительно CMB. Жирной линией показана ожидаемая Хаббловская зависимость между расстоянием и красным смещением, рассчитанная для принятой нами модели , H 0 = 70 км · с –1 Мпк –1 , (эквивалентно параметру ) и нуль-пункта ФП, равного . Угловые расстояния галактик преобразованы в красные смещения с помощью аппроксимация Пибблса [32]:
Рис. 2. Зависимость угловых расстояний галактик, нуль-пунктов фундаментальной плоскости , от красного смещения . Галактики расположены в скоплениях A 1656 (заполненные кружки) и A 2107 (пустые кружки) в пределах радиуса . Жирная кривая линия соответствует Хаббловской зависимости между красным смещением и расстоянием. Сплошными линиями показаны средние красные смещения скоплений, , которые на пересечении с Хаббловской кривой дают соответствующие расстояния. Штриховые линии соответствуют средним расстояниям систем галактик, найденным по ФП, и соответствующим им красным смещениям, .
В нуль-пункте ожидаемой Хаббловской зависимости мы учли поправку за космологическое ослабление поверхностной яркости галактик . Сплошные вертикальные линии у каждого скопления показывают их средние красные смещения относительно микроволнового фона, сплошные горизонтальные линии — соответствующие им расстояния, определенные относительно ожидаемой Хаббловской зависимости. Штриховые (горизонтальные) линии показывают средние расстояния скоплений галактик, измеренные по ФП, и соответствующие им красные смещения — штриховые вертикальные линии, также определенные относительно ожидаемой Хаббловской зависимости.
На рис. 3 приведена диаграмма Хаббла (верхняя панель): относительные расстояния, нуль-пункты γ, в зависимости от лучевых скоростей (CMB). Скопления, относящиеся к воиду, показаны пустыми синими кружками. Таким образом, можно отметить, что на рис. 3 ожидаемая Хаббловская зависимость практически правильно описывает расстояния групп и скоплений галактик, начиная от скопления Coma ( ) и до Giant Void ( ). На нижней панели показаны отклонения групп и скоплений от Хаббловского потока.
Рис. 3. Верхняя панель: зависимость угловых расстояний 140 групп и скоплений галактик, нуль-пунктов ФП , от лучевой скорости (диаграмма Хаббла), полученных с учетом эволюционного параметра [mag/arcsec 2 ]. Пустыми кружками показаны системы ( ), расположенные вокруг GV. Жирной линией показана ожидаемая зависимость Хаббла в Λ CDM космологической модели с . Нижняя панель: кривая остаточных отклонений.
На рис. 4 показана та же диаграмма, но с учетом эволюции светимости галактик ранних типов . Можно отметить, что модельная хаббловская зависимость хуже описывает данные при км/с и км/с. Если взять другую поправку, найденную в работе [25], а именно, поправку за эволюцию средней поверхностной яркости [mag/arcsec 2 ], то ситуация улучшается незначительно.
Рис. 4. Зависимость угловых расстояний 140 групп и скоплений галактик, нуль-пунктов ФП , от лучевой скорости , полученных с учетом эволюционного параметра . Обозначения такие же, как и на предыдущем рисунке.
3. ОПРЕДЕЛЕНИЕ ПЕКУЛЯРНЫХ СКОРОСТЕЙ С ПОМОЩЬЮ ФП
Приведенная Хаббловская зависимость позволяет по наблюдаемому расстоянию в угловых секундах, , определить соответствующее красное смещение скопления (рис. 2). Пекулярные скорости в сопутствующей системе координат равны разнице между спектроскопическим и фотометрическим красными смещениями, то есть,
(5)
где — скорость света, — красное смещение скопления относительно реликтового фона, — красное смещение скопления, соответствующее расстоянию, определенному по фундаментальной плоскости.
Комментарии к скоплению A 1656 (Coma)
Скопление Coma не имеет пекулярной скорости, покоится в системе CMB (см., напр., [33–36]), и этот факт часто используется для привязки пекулярных скоростей других скоплений галактик, (напр., [31, 37]). В нашем исследовании мы проанализировали, как влияет учет эволюции светимости на результаты по Come. В работе [21] мы определили относительные расстояния скоплений в сверхскоплениях с помощью ФП, построенной по данным SDSS [25], в ней использована эволюция светимости галактик ранних типов . Если учесть это значение, ослабление поверхностной яркости галактик и ограничение , то мы получим для скопления Coma км/с [21]. Если взять все галактики ранних типов, то получим км/с. Если учесть значение [mag/arcsec 2 ] и ослабление поверхностной яркости галактик , мы получим для скопления Coma км/с. В принятом нами случае — эволюции средней поверхностной яркости галактик ранних типов с z , [mag/arcsec 2 ], и ослаблении SB — мы получаем для скопления Coma ( ) минимальную пекулярную скорость км/с.
Комментарии к скоплению Virgo
Скопление Virgo — ближайшее скопление галактик ( ). В статье [38] мы представили динамические параметры скопления, определенные по данным SDSS. В настоящей работе в пределах мы нашли только 8 галактик ранних типов с параметрами, необходимыми для измерения расстояний по ФП. Используя эти галактики, мы измерили пекулярную скорость скопления Virgo км/с. Полученное расстояние нанесли на диаграмму Хаббла на рис. 3. В работе [39] дана подобная пекулярная скорость относительно наблюдаемого расстояния скопления.
В итоге, нами получено, что вся выборка групп и скоплений галактик ( ) имеет пекулярную скорость относительно CMB км/с. Если взять только системы галактик c числом членов [31], то км/с ( ). В нашей выборке всего 10 систем галактик с числом членов . Кроме того, в нашей выборке 106 систем галактик имеют измеренное излучение в рентгеновской области [40], а 34 системы галактик не имеют. Мы нашли небольшую зависимость измеренных относительных расстояний (и пекулярных скоростей) от рентгеновской светимости в полосе 0.1–2.4 кэВ: группы и скопления с эрг/с показывают, в основном, положительные пекулярные скорости (34 системы), а скопления с эрг/с показывают отрицательные пекулярные скорости (A 1795, A 2142, A 2244). Для выборки в интервале эрг/с мы получили км/с ( ). Все системы галактик с измеренным рентгеновским излучением ( ) показывают км/с.
Эти 34 системы галактик представляют собой группы и скопления с признаками невириализованности в пределах радиуса — несколько пиков в распределении лучевых скоростей (например, A 1142, A 1898, A 2019), или группы, подобные NGC 5098. Информации об изменении параметров галактик ранних типов и их ФП в скоплениях галактик в зависимости от излучения в рентгеновской области в литературе не обнаружено. Что касается вообще изменения параметров скоплений галактик, в работе [41] нами было получено, что галактики ранних типов (с ) с подавленным звездообразованием (без звездообразования также) уменьшаются в размере при попадании в межгалактическую среду скопления галактик. Ясно, что, чем больше масса скопления (чем больше рентгеновское излучение), тем сильнее галактика раннего типа подвергается воздействию. От других параметров систем галактик — количества используемых галактик, дисперсии лучевых скоростей, динамической массы в пределах радиуса , z (хотя при в системах галактик мало галактик ранних типов, и системы имеют большие ошибки определения пекулярных расстояний) — такой зависимости мы не обнаружили.
Среднеквадратичное отклонение радиальных пекулярных скоростей с квадратичным учетом ошибок всей выборки км/c, выборка с составляет км/c. Для выборки в интервале эрг/с мы определили км/с.
3.1. Пекулярные движения групп/скоплений галактик вокруг воида Giant Void
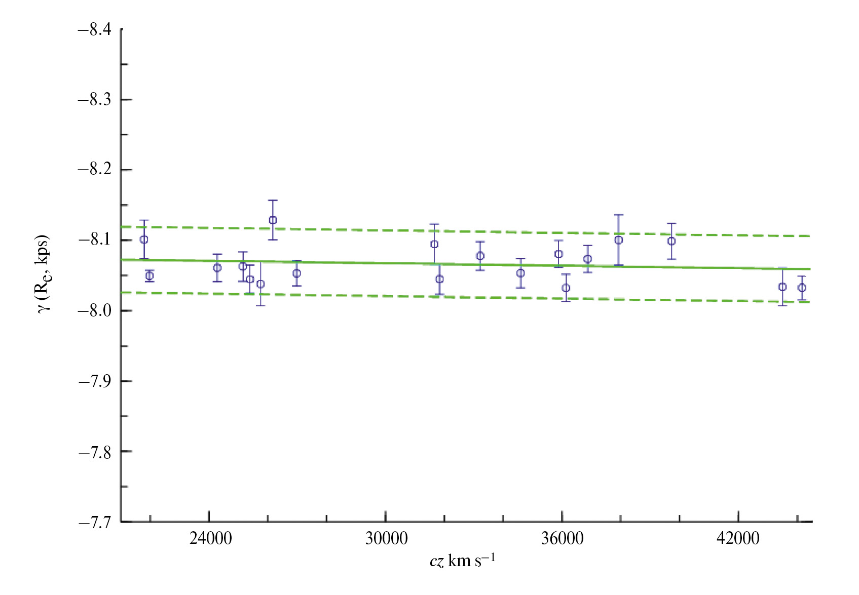
На рис. 5 приведено распределение групп и скоплений около GV на диаграмме относительные расстояния (нуль-пункты систем галактик с в кпк) в зависимости от лучевой скорости (CMB). Сплошная линия на рисунке соответствует линейной регрессии, определенной по всем скоплениям ( ): , штриховые линии соответствуют 1.5 отклонениям от нее.
Рис. 5. Зависимость индивидуальных расстояний групп и скоплений галактик вокруг GV ( [кпк]) от лучевой скорости . Сплошная линия на рисунке соответствует линейной регрессии, определенной по всем скоплениям ( ): , штриховые линии показывают отклонения от нее на уровне 1.5 .
Можно отметить, что за эти линии отклоняется только одно скопление A 1609. Линейная регрессия для этого случая равна . Для этих случаев скорости оттока скоплений галактик из воида примерно равны км/c и км/c соответственно.
Полученный нами наклон регрессионного соотношения больше, 0.17 против 0.033, чем было нами определено в работе [12] с учетом эволюции светимости галактик. Соответственно, скорости оттока скоплений галактик из пустоты равны км/c и км/c.
Другими словами, результаты, приведенные в данной работе и в работе [12], не противоречат друг другу, хотя и получены разными методоми. Основные выводы состоят в следующем: (1) мы не нашли оттока групп и скоплений галактик из Giant Void; (2) пекулярные движения скоплений вокруг GV незначительны, не превышают ошибок измерений, кроме скопления A 1609, у которого отношение пекулярной скорости к ошибке измерения равно 2.2.
3.2. Пекулярные движения сверхскоплений галактик
В области нашего исследования ( ) расположены 5 больших сверхскоплений галактик: Hercules (Her, , ), Leo ( , ), Ursa Major (UMa, , ), Bootes (Boo, , ), Corona Borealis (CrB, , ). Пекулярные скорости скоплений галактик в их пределах приведены нами в работах [21, 22, 24].
Нами получены следующие пекулярные скорости самих сверхскоплений галактик как средние значения составляющих их групп и скоплений галактик относительно СMB: км/с (Her), км/с (Leo), км/с (UMa), V pec = +97±640 км/с (Boo), V pec = +239±510 км/с (CrB). Средняя пекулярная скорость всех сверхскоплений галактик равна км/с. Небольшой избыток положительных пекулярных скоростей связан с тем, что в сверхскоплениях много групп галактик с эрг/с (Секция 4).
Недавно, в работе [42] нами впервые были построены фундаментальные плоскости самих групп и скоплений галактик по аналогии с эллиптическими галактиками. Мы показали, что их расстояния соответствуют ожидаемой зависимости Хаббла, хотя разброс на ней в три раза больше, чем это получено в данной работе по эллиптическим галактикам. Мы также измерили среднюю пекулярную скорость всех сверхскоплений галактик, которая оказалась равна км/с.
4. ДИАГРАММА ХАББЛА И ОТКЛОНЕНИЯ ОТ НЕЕ
Существует противоречие в определении константы Хаббла H 0 , одной из фундаментальных космологических параметров. Константа H 0 , оцененная по локальной лестнице расстояний (Cepheid-supernova distance ladder), расходится со значением, экстраполированным из данных CMB, предполагая стандартную космологическую модель, км · с –1 Мпк –1 [43] и км · с –1 Мпк –1 [44] соответственно.
На рис. 3 жирной зеленой линией показана зависимость Хаббла между лучевой скоростью в системе CMB и угловым расстоянием. Линия соответствует плоской ΛCDM модели , и постоянной Хаббла H 0 = 70 км · с –1 Мпк –1 .
На нижней панели рис. 3 показаны отклонения полученных нами расстояний систем галактик от Хаббловской зависимости. Мы получили среднее отклонение от зависимости Хаббла всей выборки ( ) ( ) и систем галактик с числом членов больше семи ( ) . Соответствующие стандартные отклонения равны 0.0275 и 0.0264, которые соответствуют отклонению постоянной Хаббла в 6.3% ( км · с –1 Мпк –1 ) и 6.08% ( км · с –1 Мпк –1 ). Средние положительные и отрицательные отклонения примерно равны и соответствуют ( N = 54) и ( N = 86). Для выборки в интервале эрг/с мы получили среднее отклонение от зависимости Хаббла N = 63) co стандартным разбросом 0.0224, соответствующим отклонению в 5.11% (±3.6 км · с –1 Мпк –1 ).
Если мы вычтем пекулярные скорости групп и скоплений галактик (формула (1)) на рис. 3, то ошибки измерения расстояний по ФП фактически определяют разброс на диаграмме Хаббла. В этом случае стандартное отклонение равно 0.0173 ( N = 140) и соответствует отклонению постоянной Хаббла км · с –1 Мпк –1 , для систем галактик с числом членов больше семи ( N = 130) соответственно 0.0163 и км · с –1 Мпк –1 . Для выборки скоплений в интервале эрг/с мы получили соответствующее стандартное отклонение 0.0130 ( N = 63), что соответствует отклонению постоянной Хаббла км · с –1 Мпк –1 .
5. BЫВОДЫ
Для понимания происхождения и эволюции крупномасштабной структуры Вселенной важно изучить пекулярные движения групп и скоплений галактик как в массивных сверхскоплениях галактик, так и вокруг пустых областей (воидов), которые должны расширяться быстрее, чем поток Хаббла. Модельные расчеты показывают, что большие пекулярные скорости систем галактик, км/c, возникают в плотных сверхскоплениях галактик [45].
С целью изучения пекулярных скоростей систем галактик мы составили выборку групп и скоплений галактик в больших сверхскоплениях Hercules, Leo, Ursa Major, Corona Borealis, Bootes и в более мелких системах галактик [21–24], а также выборку систем галактик вокруг большого воида (GV) [12]. С помощью фундаментальной плоскости галактик ранних типов определены относительные расстояния систем галактик и измерены их пекулярные скорости.
Полученные нами пекулярные скорости варьируют от км/c до ±3000 км/c. Двенадцать групп/скоплений галактик имеют пекулярные скорости, превышающие ошибки измерений больше, чем в 3 раза. Средняя пекулярная скорость выборки скоплений галактик с числом членов больше 7 ( ) относительно CMB составляет км/c. Среднеквадратичное отклонение радиальных пекулярных скоростей с квадратичным учетом ошибок измерения км/c. Средняя пекулярная скорость пяти сверхскоплений галактик составляет км/с.
Найдена небольшая зависимость пекулярных скоростей от рентгеновской светимости групп и скоплений галактик при эрг/с. В интервале светимостей эрг/с ( ) этой зависимости практически нет, и для этой выборки мы получили среднюю пекулярную скорость км/c и стандартное отклонение пекулярных скоростей с квадратичным учетом ошибок км/c.
В данной работе мы проверили насколько хорошо такой космологический тест как диаграмма Хаббла в стандартной модели ΛCDM соответствует наблюдательным данным. Мы измерили среднее отклонение от зависимости Хаббла групп и скоплений галактик вместе с пекулярными скоростями и с вычетом пекулярных скоростей. Отклонение от зависимости Хаббла (без пекулярных скоростей систем галактик) определяется ошибками измерения расстояний. Для этого случая мы получили логарифмический стандартный разброс ( ) и соответствующее отклонение постоянной Хаббла км · с –1 Мпк –1 . Для выборки с эрг/с мы получили стандартный разброс ( ), что соответствует отклонению постоянной Хаббла км · с –1 Мпк –1 .
Как и раньше [12], мы не нашли значимого оттока групп и скоплений галактик из Giant Void: скорость оттока, измеренная по 19 системам галактик, равна км/c. Пекулярные движения систем галактик вокруг GV незначительны, не превышают ошибок измерений, кроме скопления A 1609, у которого отношение пекулярной скорости к ошибке измерения равно 2.2.
БЛАГОДАРНОСТИ
В работе были использованы базы данных NASA/IPAC Extragalactic Database (NED) [1] , Sloan Digital Sky Survey (SDSS) 2и Two Micron AllSky Survey (2MASS)3.
1 http://nedwww.ipac.caltech.edu
2 http://www.sdss.org
3 http://www.ipac. caltech.edu/2mass/releases/allsky/
Об авторах
Ф. Г. Копылова
Специальная астрофизическая обсерватория
Автор, ответственный за переписку.
Email: flera@sao.ru
Россия, Нижний Архыз
А. И. Копылов
Специальная астрофизическая обсерватория
Email: flera@sao.ru
Россия, Нижний Архыз
Список литературы
- S. A. Gregory and L. A. Thompson, 222, 784 (1978).
- M. Jõeveer, J. Einasto, and E. Tago, Monthly Not. Roy. Astron. Soc. 185, 357 (1978).
- R. P. Kirshner, A. Oemler, P. L. Schechter, and S. A. Shectman, 248, L57 (1981).
- V. de Lapparent, M. J. Geller, and J. P. Huchra, 302, L1 (1986).
- A. I. Kopylov, D. Y. Kuznetsov, T. S. Fetisova, and V. F. Shvar tsman, in Large Scale Structures of the Universe, Proc. of the 130th Symp. of the IAU, dedicated to the memory of M. A. Aaronson (1950–1987) held in Balatonfured, Hungary, June 15–20, 1987; edited by J. Audouze, M.-C. Pelletan, and A. Szalay. IAU Symp. № 130 (Dordrecht: Kluwer Academic Publishers, 1988), p.129.
- J. R. Bond, L. Kofman, and D. Pogosyan, Nature 380(6575), 603 (1996).
- M. Einasto, J. Einasto, E. Tago, V. Müller, and H. Andernach, Astron. J. 122, 2222 (2001).
- Ia. B. Zeldovich, J. Einasto, and S. F. Shandarin, Nature 300(5891), 407 (1982).
- D. J. Batuski and J. O. Burns, Astron. J. 90, 1413 (1985).
- R. B. Tully, 303, 25 (1986).
- K. Y. Stavrev, Astron. and Astrophys. Suppl. Ser. 144, 323 (2000).
- A. I. Kopylov and F. G. Kopylova, Astron. and Astrophys. 382, 389 (2002).
- J. Einasto, I. Suhhonenko, G. Hütsi, E. Saar, et al., Astron. and Astrophys. 534, id. A128 (2011).
- A. Dressler, D. Lynden-Bell, D. Burstein, R. L. Davies, S. M. Fa ber, R. Terlevich, and G. Wegner, 313, 42 (1987).
- S. Djorgovski and M. Davis, 313, 59 (1987).
- G. Wegner, M. Colless, G. Baggley, R. L. Davies, E. Bertschinger, D. Burstein, R. K. McMahan, Jr., and R. P. Saglia, Astrophys. J. Suppl. 106, 1 (1996).
- M. J. Hudson, R. J. Smith, J. R. Lucey, D. J. Schlegel, and R. L. Davies, 512, L79 (1999).
- L. N. da Costa, M. Bernardi, M. V. Alonso, G. Wegner, C. N. A. Willmer, P. S. Pellegrini, M. A. G. Maia, and S. Zaroubi, 537(2), L81 (2000).
- M. Batiste and D. J. Batuski, Monthly Not. Roy. Astron. Soc. 436, 3331 (2013).
- H. Aihara, C. Allende Prieto, D. An, S. F. Anderson, et al., Astrophys. J. Suppl. 193(2), id. 29 (2011).
- F. G. Kopylova and A. I. Kopylov, Astron. Letters 40, 595 (2014).
- F. G. Kopylova and A. I. Kopylov, Astrophys. Bull. 72(4), 363 (2017).
- F. G. Kopylova and A. I. Kopylov, Astron. Astrophys. Trans. 32(2), 105 (2021).
- F. G. Kopylova and A. I. Kopylov, Astron. Letters 33, 211 (2007).
- C. Saulder, S. Mieske, W. W. Zeilinger, and I. Chilingarian, Astron. and Astrophys. 557, id. A21 (2013).
- J. J. Mohr and G. Wegner, Astron. J. 114, 25 (1997).
- R. G. Carlberg, H. K. C. Yee, E. Ellingson, S. L. Morris, et al., 485(1), L13 (1997).
- F. G. Kopylova, Astrophys. Bull. 68, 253 (2013).
- M. A. Strauss, D. H. Weinberg, R. H. Lupton, V. K. Narayanan, et al., Astron. J. 124(3), 810 (2002).
- I. V. Chilingarian, A. Melchior, and I. Y. Zolotukhin, Monthly Not. Roy. Astron. Soc. 405, 1409 (2010).
- I. Jorgensen, M. Franx, and P. Kjaergaard, Monthly Not. Roy. Astron. Soc. 280, 167 (1996).
- P. J. E. Peebles, Principles of Physical Cosmology (Princeton: Princeton University, 1993).
- M. J. Hudson, J. R. Lucey, R. J. Smith, and J. Steel, Monthly Not. Roy. Astron. Soc. 291, 488 (1997).
- M. Colless, R. P. Saglia, D. Burstein, R. L. Davies, R. K. McMa han, and G. Wegner, Monthly Not. Roy. Astron. Soc. 321(2), 277 (2001).
- R. A. Gibbons, A. S. Fruchter, and G. D. Bothun, Astron. J. 121, 649 (2001).
- R. B. Tully, H. M. Courtois, A. E. Dolphin, J. R. Fisher, et al., Astron. J. 146(4), id. 86 (2013).
- T. Mutabazi, 911(1), id. 16 (2021).
- A. I. Kopylov and F. G. Kopylova, Astrophys. Bull. 70, 243 (2015).
- E. J. Shaya, R. B. Tully, D. Pomaréde and A. Peel, 927(2), id. 168 (2022).
- F. G. Kopylova and A. I. Kopylov, Astrophys. Bull. 77, 347 (2022).
- F. G. Kopylova and A. I. Kopylov, Astrophys. Bull. 75, 424 (2020).
- F. G. Kopylova and A. I. Kopylov, Astrophys. Bull. 79, 1 (2024).
- A. G. Riess, S. Casertano, W. Yuan, L. M. Macri, and D. Scolnic, 876(1), id. 85 (2019).
- Planck Collaboration, et al., Astron. and Astrophys. 641, id. A6 (2020).
- N. A. Bahcall, M. Gramann, and R. Cen, 436, 23 (1994).
Дополнительные файлы








