СТРУКТУРА МОХОВОГО ЭПИФИТНОГО ПОКРОВА ДЕРЕВЬЕВ СРЕДНЕТАЕЖНОГО ЕЛЬНИКА ЧЕРНИЧНОГО
- Авторы: Обабко Р.П.1,2, Крышень А.М.1
-
Учреждения:
- Институт леса КарНЦ РАН
- Петрозаводский государственный университет
- Выпуск: Том 108, № 2 (2023)
- Страницы: 97-110
- Раздел: СООБЩЕНИЯ
- URL: https://journal-vniispk.ru/0006-8136/article/view/134478
- DOI: https://doi.org/10.31857/S0006813623020084
- EDN: https://elibrary.ru/EXJMOW
- ID: 134478
Цитировать
Полный текст
Аннотация
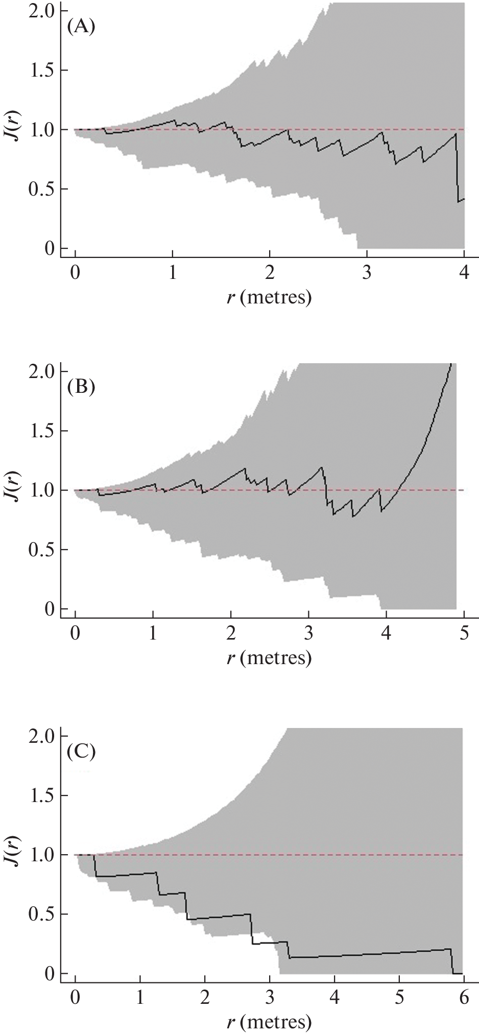
В работе представлены результаты исследования пространственной структуры эпифитов на пробной площади и на стволе Picea abies. Распределение всех деревьев и отдельных пород на пробной площади, как и большинства видов эпифитных мохообразных не отличается от случайного типа. Только один вид Dicranum fuscescens, который в данном сообществе произрастал только на стволах живых деревьев, имеет агрегированное распределение. Все остальные эпифитные виды мохообразных встречены также и в напочвенном покрове и их распределение в сообществах относится к случайному типу. Предложена структура строения эпифитного покрова на стволе ели в условиях среднетаежного ельника черничного, которая состоит из различных видов, произрастающих полосами и пятнами вдоль градиента влажности.
Ключевые слова
Об авторах
Р. П. Обабко
Институт леса КарНЦ РАН; Петрозаводский государственный университет
Автор, ответственный за переписку.
Email: romaparrot@mail.ru
Россия, 185910, Петрозаводск,
ул. Пушкинская, 11; Россия, 185910, Петрозаводск, пр. Ленина, 33
А. М. Крышень
Институт леса КарНЦ РАН
Email: romaparrot@mail.ru
Россия, 185910, Петрозаводск,
ул. Пушкинская, 11
Список литературы
- Akhavan R., Sagheb-Talebi Kh., Zenner E.K., Safavimanesh F. 2012. Spatial patterns in different forest development stages of an intact old-growth Oriental beech forest in the Caspian region of Iran. – European Journal of Forest Research. 131 (5): 1355–1366. https://doi.org/10.1007/s10342-012-0603-z
- Ashton D.H. 1986. Ecology of bryophytic communities in mature Eucalyptus regnans F Muell forest at Wallaby Creek, Victoria. – Australian Journal of Botany. 34 (2): 107–129. https://doi.org/10.1071/BT9860107
- Baddeley A., Rubak E., Turner R. 2015. Spatial point patterns: methodology and applications with R. CRC press. 828 p.
- Baddeley A., Turner R. 2005. Spatstat: an R package for analyzing spatial point patterns. – Journal of Statistical Software. 2 (12): 1–42. https://doi.org/10.18637/jss.v012.i06
- Barkman J.J. 1958. Phytosociology and Ecology of Cryptogamic Epiphytes. Van Gorcum, Assen. 628 p.
- Belinchón R., Martínez I., Aragón G., Escudero A., De la Cruz M. 2011. Fine spatial pattern of an epiphytic lichen species is affected by habitat conditions in two forest types in the Iberian Mediterranean region. – Fungal Biology. 115 (12): 1270–1278. https://doi.org/10.1016/j.funbio.2011.09.003
- Billings W.D., Drew W.B. 1938. Bark factors affecting the distribution of corticolous bryophytic communities. – American Midland Naturalist. 20 (2): 302–330.
- [Bush, Abolin’] Буш К.К., Аболинь А.А. 1968. Строение и изменение растительного покрова важнейших типов леса под влиянием осушения. – В кн.: Вопросы гидролесомелиорации. Рига. С. 67–89.
- Cain S.A., Sharp A.J. 1938. Bryophytic unions of certain forest types of the Great Smoky Mountains. – American Midland Naturalist. 20 (2): 249–301.
- Coppins B.J. 1984. Epiphytes of birch. – Proceedings of the Royal Society of Edinburgh. Section B: Biological Sciences. 85 (1–2): 115–128.
- [Degtyareva] Дегтярева С.И. 2012. Количественные учеты эпифитных группировок. – В кн.: Воспроизводство, мониторинг и охрана природных, природно-антропогенных и антропогенных ландшафтов. Воронеж. С. 51–56.
- Ezer T., Alataş M., Batan N. 2019. Successional trends of some epiphytic bryophytes in Mediterranean Basin. – Acta Biologica Turcica. 32(4): 181–193.
- [Gorshkov] Горшков В.В. 1986. Эпифитные лихеносинузии сосновых лесов Кольского полуострова (Формирование, экология, влияние антропогенных факторов): aвтореф. дис. канд. биол. наук. Л. 21 с.
- Gustafsson L., Eriksson I. 1995. Factors of importance for the epiphytic vegetation of Aspen Populus tremula with special emphasis on bark chemistry and soil chemistry. – Journal of Applied Ecology. 32: 412–424. https://doi.org/10.2307/2405107
- Hedenås H., Bolyukh V.O., Jonsson B.G. 2003. Spatial distribution of epiphytes on Populus tremula in relation to dispersal mode. – Journal of Vegetation Science. 14 (2): 233–242. https://doi.org/10.1111/j.1654-1103.2003.tb02148.x
- [Ignatenko et al.] Игнатенко Р.В., Тарасова В.Н., Обабко Р.П. 2018. Пространственная структура ценопопуляций лишайника Lobaria pulmonaria в лесных сообществах Карелии. – В кн.: Труды XIV съезда РБО и конференции “Ботаника в современном мире” Т. 3. Махачкала. С. 105.
- Ignatov M.S., Afonina O.M., Ignatova E.A., Abolina A., Akatova T.V., Baisheva E.Z., Bardunov L.V., Baryakina E.A., Belkina O.A., Bezgodov A.G., Boychuk M.A., Cherdantseva V.Ya., Czernyadjeva I.V., Doroshi-na G.Ya., Dyachenko A.P., Fedosov V.E., Goldberg I.L., Ivanova E.I., Jukoniene I., Kannukene L., Kazanovsky S.G., Kharzinov Z.Kh., Kurbatova L.E., Maksimov A.I., Mamatkulov U.K., Manakyan V.A., Maslovsky O.M., Napreenko M.G., Otnyukova T.N., Partyka L.Ya., Pisarenko O.Yu., Popova N.N., Rykovsky G.F., Tubanova D.Ya., Zheleznova G.V., Zolotov V.I. 2007. Check-list of mosses of East Europe and North Asia. – Arctoa. 15: 1–130. https://doi.org/10.15298/arctoa.15.01
- [Ignatov, Milyutina] Игнатов М.С., Милютина И.А. 2007. Ревизия рода Sciuro-hypnum (Brachytheciaceae, Bryophyta) в России. – Arctoa. 16: 63–86. https://doi.org/10.15298/arctoa.16.07
- [Ignatov et al.] Игнатов М.С., Игнатова Е.А., Федосов В.Э., Золотов В.И., Копонен Т., Чернядьева И.В., Дорошина Г.Я., Тубанова Д.Я., Белл Н.Э. 2018. Флора мхов России. Т. 4. Bartramiales – Aulacomniales. М. 543 с.
- Ignatova E.A., Fedorova A.V., Kuznetsova O.I., Ignatov M.S. 2019. Taxonomy of the Plagiothecium laetum complex (Plagiotheciaceae, Bryophyta) in Russia. – Arctoa. 28: 28–45. https://doi.org/10.15298/arctoa.28.05
- [Ipatov, Kirikova] Ипатов В.С., Кирикова Л.А. 1997. Фитоценология. СПб. 316 с.
- [Isakova] Исакова Н.А. 2009. Видовое и синузиальное разнообразие листостебельных мхов восточного склона Ильменских гор. Ильмен. Екатеринбург: Миасс. 128 с.
- Kermit T., Gauslaa Y. 2001. The vertical gradient of bark pH of twigs and macrolichens in a Picea abies canopy not affected by acid rain. – The Lichenologist. 33 (4): 353–359.
- Mežaka A., Brūmelis G., Piterāns A. 2008. The distribution of epiphytic bryophyte and lichen species in relation to phorophyte characters in Latvian natural old-growth broad leaved forests. – Folia Cryptogamica Estonica. 44: 89–99.
- Mežaka A., Brūmelis G., Piterāns A. 2010. Epiphytic bryophyte and lichen communities in relation to tree and forest stand variables in Populus tremula forests of south-east Latvia. – Acta Biol. Univ. Daugavp. 2: 1–8.
- Mežaka A., Brūmelis G., Piterāns A. 2012. Tree and stand-scale factors affecting richness and composition of epiphytic bryophytes and lichens in deciduous woodland key habitats. – Biodiversity and Conservation. 21 (12): 3221–3241. https://doi.org/10.1007/s10531-012-0361-8
- Moe B., Botnen A. 1997. A quantitative study of the epiphytic vegetation on pollarded trunks of Fraxinus excelsior at Havrå, Osterøy, western Norway. – Plant Ecol. 129(2): 157–177.
- [Molchanov] Молчанов А.А. 1961. Лес и климат. M. 279 с.
- [Obabko, Tarasova] Обабко Р.П., Тарасова В.Н. 2021. Эпифитная бриофлора Южной Карелии. – Труды Карельского научного центра РАН. 8: 41–49.
- Øvstedal D.O. 1980. Lichen communities on Alnusn incana in north Norway. – Lichenologist. 12(2): 189–197.
- Patino J., Gómez-Rodríguez C., Pupo-Correia A., Sequeira M., Vanderpoorten A. 2018. Trees as habitat islands: Temporal variation in alpha and beta diversity in epiphytic laurel forest bryophyte communities. – Journal of Biogeography. 45 (8): 1727–1738. https://doi.org/10.1111/jbi.13359
- Putna S., Mežaka A. 2014. Preferences of epiphytic bryophytes for forest stand and substrate in North-East Latvia – Folia Cryptogamica Estonica. 51: 75–83. https://doi.org/10.12697/fce.2014.51.08
- [Rykovskij] Рыковский Г.Ф., Малько М.С., Сакович А.А. 2020. Эпифитный компонент бриофлоры Полесского региона. – Природные ресурсы. 1: 49–57.
- Sales K., Kerr L., Gardner J. 2016. Factors influencing epiphytic moss and lichen distribution within Killarney National Park. – Bioscience Horizons: The international journal of student research. 9. https://doi.org/10.1093/biohorizons/hzw008
- [Savel’ev] Савельев А.А., Мухарамова С.С., Чижикова Н.А., Пилюгин А.Г. 2014. Теория пространственных точечных процессов в задачах экологии и природопользования (с применением пакета R). Казань. 146 с.
- Shi X.M., Song L., Liu W.Y., Lu H.Z., Qi J.H., Li S., Chen X., Wu J.F., Liu S., Wu C.S. 2017. Epiphytic bryophytes as bio-indicators of atmospheric nitrogen deposition in a subtropical montane cloud forest: Response patterns, mechanism, and critical load – Environmental Pollution. 229: 932–941. https://doi.org/10.1016/j.envpol.2017.07.077
- Smith A.J.E. 1982. Epiphytes and epiliths. – In: Bryophyte ecology. Springer. Dordrecht. P. 191–227.
- Snäll T., Ehrlén J., Rydin H. 2005a. Colonization–extinction dynamics of an epiphyte metapopulation in a dynamic landscape. – Ecology. 86 (1): 106–115. https://doi.org/10.1890/04-0531
- Snäll T., Pennanen J., Kivistö L., Hanski I. 2005b. Modelling epiphyte metapopulation dynamics in a dynamic forest landscape. – Oikos. 109 (2): 209–222. https://doi.org/10.1111/j.0030-1299.2005.13616.x
- Söderström L., Hagborg A., von Konrat M., Bartholomew-Began S., Bell D., Briscoe L., Brown E., Cargill D.C., Costa D.P., Crandall-Stotler B.J., Cooper E.D., Dauphin G., Engel J.J., Feldberg K., Glenny D., Gradstein S.R., He X., Heinrichs J., Hentschel J., Ilkiu-Borges A.L., Katagiri T., Konstantinova N.A., Larraín J., Long D.G., Nebel M., Pócs T., Puche F., Reiner-Drehwald E., Renner M.A., Sass-Gyarmati A., Schäfer-Verwimp A., Moragues J.G., Stotler R.E., Sukkharak P., Thiers B.M., Uribe J., Váňa J., Villarreal J.C., Wigginton M., Zhang L., Zhu R.L. 2016. World checklist of hornworts and liverworts. – PhytoKeys. 27 (59): 1–828. https://doi.org/10.3897/phytokeys.59.6261
- [Stepanova] Степанова В.И. 2004. Эпифитный лишайниковый покров ели европейской (Picea abies (L.) Karst) в еловых лесах Южной Карелии: Автореф. дис. … канд. биол. наук. СПб. 29 с.
- Strazdina L. 2010. Bryophyte community composition on an island of Lake Cieceres, Latvia: dependence on forest stand and substrate properties. – Environmental and Experimental Biology. 8: 49–58.
- Tarasova V.N., Obabko R.P., Himelbrant D.E., Boychuk M.A., Stepanchikova I.S., Borovichev E.A. 2017. Diversity and distribution of epiphytic lichens and bryophytes on aspen (Populus tremula) in the middle boreal forests of Republic of Karelia (Russia). – Folia Cryptogamica Estonica. 54: 125–141.
- [Tarhova, Ipatov] Тархова Т.Н., Ипатов В.С. 1975. Влияние освещенности и опада на развитие некоторых мхов. – Экология. 1: 58–65.
Дополнительные файлы













