Мхи западной части Чукотского нагорья. 2. Число видов и проективное покрытие на градиентах экологических факторов
- Авторы: Холод С.С.1, Афонина О.М.1
-
Учреждения:
- Ботанический институт им. В. Л. Комарова РАН
- Выпуск: Том 108, № 4 (2023)
- Страницы: 315-333
- Раздел: СООБЩЕНИЯ
- URL: https://journal-vniispk.ru/0006-8136/article/view/134508
- DOI: https://doi.org/10.31857/S000681362304004X
- EDN: https://elibrary.ru/OZZCTE
- ID: 134508
Цитировать
Полный текст
Аннотация
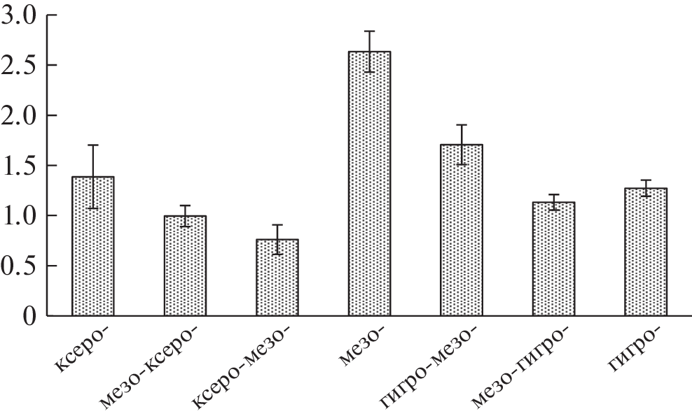
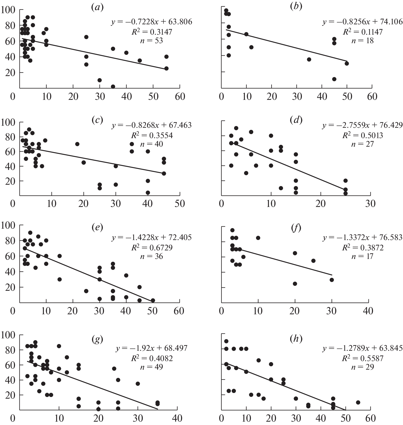
На основании проведенных геоботанических исследований летом 1989 г. в западной части Чукотского нагорья было установлено, что число видов мхов изменяется в зависимости от абсолютной высоты, экспозиции и угла уклона склона. С учетом выборок разного объема для разных показателей выявлено, что: наибольшее число видов (35) характерно для диапазона высот 250–300 м, наименьшее (14) – для высот выше 400 м, на склонах северной экспозиции – наибольшее число видов (22), юго-восточной и северо-восточной – наименьшее (18), тенденция к уменьшению числа видов проявляется при увеличении угла уклона склона: на слабо покатых склонах (до 5°) – 37 видов, на крутых (более 25°) – 23. По признаку положения оптимума вида на шкале почвенного увлажнения установлено 7 групп видов: ксеротопы, мезоксеротопы, ксеромезотопы, мезотопы, гигромезотопы, мезогигротопы, гигротопы. Суммарное проективное покрытие мхов по-разному изменяется на склонах разной экспозиции (на щебнисто-мелкокаменистых субстратах): на склонах северной оно возрастает до высоты 400 м, затем – резко уменьшается, на склонах юго-западной – только увеличивается до высоты 450 м, на всех остальных – монотонно уменьшается с высоты 230–250 м до высоты 370–600 м. На разных высотных уровнях максимум суммарного проективного покрытия мхов также связан с экспозицией склона: в нижнем высотном диапазоне он приурочен к склонам юго-восточной экспозиции, в среднем – смещается на склоны северо-восточной, а в самом верхнем – юго-западной. С увеличением крутизны склонов суммарное проективное покрытие мхов уменьшается на склонах всех экспозиций, причем, с наибольшей интенсивностью – на склонах восточной.
Об авторах
С. С. Холод
Ботанический институт им. В. Л. Комарова РАН
Автор, ответственный за переписку.
Email: sergeikholod@yandex.ru
Россия, 197022, Санкт-Петербург, ул. Проф. Попова, 2
О. М. Афонина
Ботанический институт им. В. Л. Комарова РАН
Автор, ответственный за переписку.
Email: sergeikholod@yandex.ru
Россия, 197022, Санкт-Петербург, ул. Проф. Попова, 2
Список литературы
- Fedosov V.E., Fedorova A.V., Larrain J., Santos M.B., Stech M., Kučera J., Brinda J.C., Tubanova D.Ja., von Konrat M., Ignatova E.A., Ignatov M.S. 2021. Unity in diversity: phylogenetics and taxonomy of Rhabdoweisiaceae (Dicranales, Bryophyta). – Bot. J. Linn. Soc. 195 (4): 545–567. https://doi.org/10.1093/botlinnean/boaa087
- [Geologiya] Геология СССР. Том XXX. Северо-Восток СССР. Геологическое описание. Кн. 1. М. 548 с.
- Ignatov M.S., Afonina O.M., Ignatova E.A., Abolina A., Akatova T.V., Baisheva T.Z., Bardunov L.V., Baryakina E.A., Belkina O.A., Bezgodov A.G., Boychuk M.A., Cherdantseva V.Ya., Czernyadjeva I.V., Doroshina G.Ya., Dyachenko A.P., Fedosov V.E., Goldberg I.L., Ivanova E.I., Jukoniene I., Kannukene L., Kazanovsky S.G., Kharzinov Z.Kh., Kurbatova L.E., Maksimov A.I., Mamatkulov U.K., Manakyan V.A., Maslovsky O.M., Napreenko M.G., Otnyukova T.N., Partyka L.Ya., Pisarenko O.Yu., Popova N.N., Rykovsky G.F., Tubanova D.Yu., Zheleznova G.V., Zolotov V.I. 2006. Check-list of mosses of East Europe and north Asia. – Arctoa. 15: 1–130. https://doi.org/10.15298/arctoa.15.01
- [Ignatov et al.] Игнатов М.С., Игнатова Е.А., Федосов В.Э., Иванова Е.И., Блом Х.Х., Муньос И., Беднарек-Охыра Х., Афонина О.М., Курбатова Л.Е., Чернядьева И.В., Черданцева В.Я. 2017. Флора мхов России. Том 2. Oedipodiales – Grimmiales. М. 560 с.
- [Ignatov et al.] Игнатов М.С., Игнатова Е.А., Федосов В.Э., Золотов В.И., Копонен Т., Чернядьева И.В., Дорошина Г.Я., Тубанова Д.Ю., Белл Н.Э. 2018. Флора мхов России. Том 4. Bartramiales – Aulacomniales. М. 543 с.
- [Ignatov et al.] Игнатов М.С., Игнатова Е.А., Федосов В.Э., Чернядьева И.В., Афонина О.М., Максимов А.И., Кучера Я., Акатова Т.В., Дорошина Г.Я. 2020. Флора мхов России. Том 5. Hypopterygiales –Hypnales (Plagiotheciaceae – Brachytheciaceae). М. 600 с.
- [Ignatov et al.] Игнатов М.С., Игнатова Е.А., Федосов В.Э., Афонина О.М., Чернядьева И.В., Хеденас Л., Черданцева В.Я. 2022. Флора мхов России. Том 6. Hypnales (Calliergonaceae – Amblystegiaceae). М. 472 с.
- [Ipatov, Kirikova] Ипатов В.С., Кирикова Л.А. 1997. Фитоценология. СПб. 316 с.
- [Ipatov, Kirikova, Samoilov] Ипатов В.С., Кирикова Л.А., Самойлов Ю.И. 1974. Некоторые методические аспекты построения экологических амплитуд видов. – Экология. 1: 13–23.
- [Kholod, Аfonina] Холод С.С., Aфонина О.М. 2023. Мхи западной части Чукотского нагорья. 1. Распределение по типам местообитаний и их активность. – Бот. журн. 108(3): 3–29. EDN: VQBQJChttps://doi.org/10.31857/S0006813623030055
- Kholod S.S., Konoreva L.A. 2022. Lichens in the polar deserts of the northern tip of the Novaya Zemlya archipelago. – Doklady Biological Sciences. 506: 212–238. https://doi.org/10.1134/S0012496622050052
- [Mirkin, Naumova] Миркин Б.М., Наумова Л.Г. 2012. Современное состояние основных концепций науки о растительности. Уфа. 488 с.
- [Ramenskii] Раменский Л.Г. 1971. Избранные работы. Проблемы и методы изучения растительного покрова. Л. 335 с.
- Sekretareva N.A. 2004. Vascular plants of Russian Arctic and adjacent territories. Moscow. 131 p.
- [Sobolev] Соболев Л.Н. 1978. Методика эколого-типологического исследования земель. Фрунзе. 112 с.
- Sobolev L.N., Utekhin V.D. 1973. Russian (Ramenskiy) approaches to community sistematization. – In: Ordination and classification of communities. Part V. Hague. P. 75–103.
- [Vasilevich] Василевич В.И. 1972. Количественные методы изучения структуры растительности. – Итоги науки и техники. Серия “Ботаника”. 1: 7–83.
Дополнительные файлы













