Broad-leaved-korean pine fern-sedge-chlorantus forest communities in Sikhote-Alin
- Autores: Komarova T.A.1, Terekhina N.V.2, Glushko S.G.3, Prokhorenko N.B.4
-
Afiliações:
- Federal Scientific Center for Biodiversity of Terrestrial Biota of East Asia, Far Eastern Branch of RAS
- St. Petersburg State University
- Kazan State Agrarian University
- Kazansky (Volga) Federal University
- Edição: Volume 109, Nº 11 (2024)
- Páginas: 1104-1120
- Seção: COMMUNICATIONS
- URL: https://journal-vniispk.ru/0006-8136/article/view/280325
- DOI: https://doi.org/10.31857/S0006813624110029
- EDN: https://elibrary.ru/okhkwn
- ID: 280325
Citar
Resumo
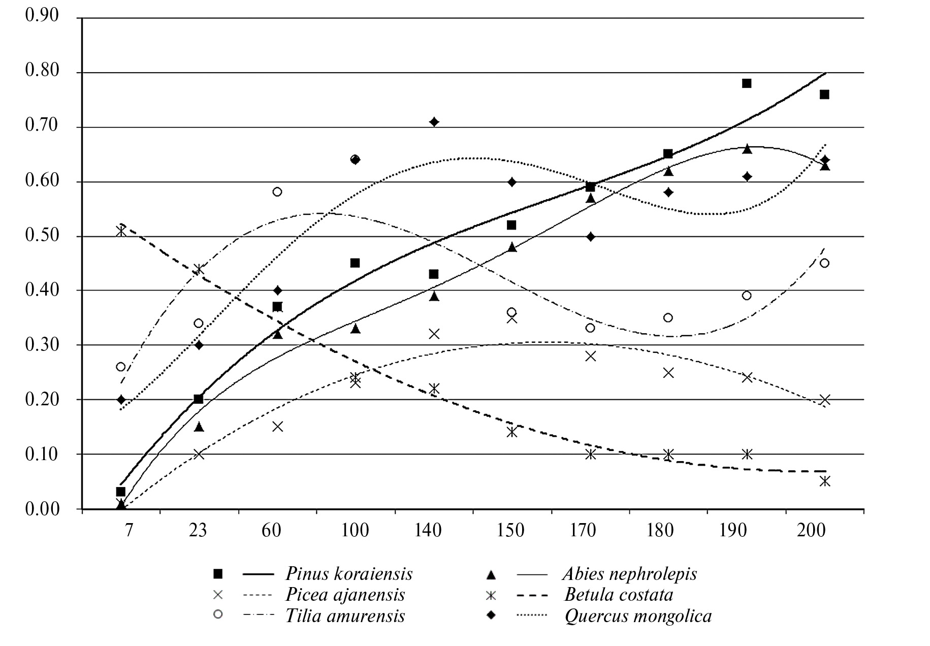
The distribution and natural course of post-fire development of communities of broad-leaved-Korean pine liana-shrub fern-sedge-chloranthus forests occupying small areas on the territory of the Southern and Middle Sikhote-Alin was analyzed. The populations of wild rare and unique species Panax ginseng were found in communities of this forest type on the Ussuri Ararat Ridge. The ginseng plants occurred in 10 forest communities of this type of 23 ones surveyed in this territory, in number from 1 to 31 plants on an area of 0.25 hectares. The basins of 5 brooks, where the forest communities of the studied type grew, formed the basis for establishment of a ginseng reserve. However, the project to preserve the biodiversity of the unique forest territories of Sikhote-Alin and the creation of a ginseng reserve in the basins of 5 brooks was not approved and intense timber harvesting was carried out in the forests on this territory. Due to uniqueness and rare occurrence of broad-leaved-Korean pine fern-sedge-chloranthus forests, this article is devoted to the distribution and characterization of the composition, structure and dynamics of communities during reforestation successions. The dynamics of taxation indicators of stands and coenotic significance in woody species, as well as the nature of changes in species composition, plant abundance and the mass of aboveground parts in shrubs, woody lianas and herbaceous plants at different stages of reforestation successions after fires are considered. An ecological group of species associated in their distribution with Panax ginseng plants has been established, for which the distribution limits by three leading environmental factors are indicated.
Palavras-chave
Texto integral
Sobre autores
T. Komarova
Federal Scientific Center for Biodiversity of Terrestrial Biota of East Asia, Far Eastern Branch of RAS
Autor responsável pela correspondência
Email: mata41@mail.ru
Rússia, 100-letiya Vladivostoka Ave., 159, Vladivostok, Primorsky Krai, 690022
N. Terekhina
St. Petersburg State University
Email: n.terehina@spbu.ru
Institute of Earth Sciences
Rússia, 10th Line of Vasilievsky Island, 33/35, St. Petersburg, 199178S. Glushko
Kazan State Agrarian University
Email: glushkosg@mail.ru
Rússia, K. Marks Str., 65, Kazan, 420015
N. Prokhorenko
Kazansky (Volga) Federal University
Email: nbprokhorenko@mail.ru
Rússia, Kremlevskaya Str., 18, Kazan, 420008
Bibliografia
- About the strategy of Sikhote-Alin biodiversity preserving. Resolution of the Governor of Primorsky Krai dated November 15, 1998 No. 511. https://docs.cntd.ru/document/441572442
- Brechman I.I. 1957. Zhenshen’ [Ginseng]. Leningrad. 182 p. (In Russ.).
- Grushvitsky I.V. 1946. Relikty tretichnoy flory Ussuriyskogo Kraya [Relics of the tertiary flora of the Ussuri Territory]. – Dokl. USSR Academy of Sciences. 52(8): 719–722 (In Russ.).
- Grushvitsky I.V. 1961. Zhenshen’. Voprosy biologii [Ginseng. Questions of biology]. Leningrad. 344 p. (In Russ.).
- Gutnikova Z.I., Vorobyova P.P., Bunkina I.A. 1963. Zhenshen’ i ego vozdelyvaniye [Ginseng and its cultivation]. Vladivostok. 124 p. (In Russ.).
- Gvozdetsky N.A., Mikhailov N.I. 1987. Fizicheskaya geografiya SSSR. Aziatskaya chast’ [Physical geography of the USSR. Asian part]. Moscow. 448 p. (In Russ.).
- Dylis N.V., Wipper P.B. 1953. Lesa zapadnogo sklona Srednego Sikhote-Alinya [Forests of the western slope of Middle Sikhote-Alin]. Moscow; Leningrad. 304 p. (In Russ.).
- Egler F.E. 1954. Vegetation science concepts. I. Initial floristic composition – a factor in old-field vegetation development. – Vegetatio. 4: 412–417.
- Ellenberg H. 1956. Aufgaben und Methoden der Vegetationskunde. – Einfuhr. Phytol. Stuttgart. 4(1): 3–136.
- Kolesnikov B.P. 1958. Prirodnoye rayonirovaniye Primorskogo Kraya [Natural zoning of the Primorsky Territory]. – Materials on the physical geography of the south of the Far East. Moscow. P. 5–30 (In Russ.).
- Komarova Т.А. 1986. Regeneration by seed in fresh burns (forests of the Southern Sikhote-Alin). Vladivostok: Far East Br. Of the USSR Ac. of Sc., 222. (In Russ.).
- Komarova T.A. 1992a. Development and productivity of herbaceous and shrubby coenopopulations. Forests of Southern Sikhote-Alin. Vladivostok. 184 p. (In Russ.).
- Komarova T.A. 1992b. Post-fire successions in the forests of Southern Sikhote-Alin. Vladivostok. 224 p. (In Russ.).
- Komarova T.A., Ashchepkova L.Ya. 2000. Development of regional ecological scales and their use in the classification of forests with the participation of Korean pine (Pinus koraiensis). – Komarov readings. Vladivostok. 46: 7–72 (In Russ.).
- Komarova T.A., Prokhorenko N.B., Glushko S.G., Terekhina N.V. 2017. Post-fire successions in the Sikhote-Alin forests with Pinus koraiensis Siebold et Zucc. participation. St. Petersburg. 402 p. (In Russ.).
- Korchagin A.A. 1976. Stroenie rastitel’nykh soobshchestv [Structure of plant communities]. Polevaya geobotanika. Vol. 5. Leningrad. 313 p. (In Russ.).
- Melekhov I.S. 1980. Lesovedeniye [Forest Science]. Moscow. 408 p. (In Russ.).
- Red Book of the USSR: Rare and endangered plant species. Vol. 2. 1984. Moscow. 480 p. (In Russ.).
- Red Book of the RSFSR. Plants. 1988. Moscow. 591 p. (In Russ.).
- Red Book of Primorsky Krai. Plants. Vol. 2. 2008. 688 p. (In Russ.).
- Red Book of the Khabarovsk Territory: Rare and endangered species of plants, mushrooms and animals. 2019. Voronezh. 604 р. (In Russ.).
- Regional ecological scales for forest vegetation of the Far East. 2003. Vladivostok. 277 p. (In Russ.).
- Saxena A.K., Singht J.S. 1982. A phytosociological analysis of woody species in forest communities of a part of Kumaun Himalaya. – Vegetatio. 50(1): 3–22.
- Simpson E.H. 1949. Measurement of diversity. – Nature. 163: 163–188.
- Sochava V.P., Lipatova V.V., Gorshkov A.A. 1962. Experience in accounting for the full productivity of the aboveground part of the grass cover. – Bot. Zhurn. 42(4): 473–484 (In Russ.).
- Sosudistye rasteniya Sovetskogo Dal’nego Vostoka [Vascular plants of the Soviet Far East]. 1985–1996. St. Petersburg. Vol. 1–8 (In Russ.).
- Spravochnik dlya taksatsii lesov Dal’nego Vostoka [Handbook for the taxation of forests of the Far East]. 1990. Khabarovsk. 526 p. (In Russ.).
- Sukаchev V.N., Zonn S.V., Motovilov G.P. 1957. Metodicheskie ukazaniya k izucheniyu tipov lesa [Guidelines for the study of forest types]. Moscow. P. 9–63 (In Russ.).
- Sukachev V.N., Zonn S.V. 1961. Metodicheskie ukazaniya k izucheniyu tipov lesa [Methodological Instructions for the Study of Forest Types]. Мoscow. 143 p. (In Russ.).
- Usenko N.V. 2011. Dary Ussuriyskoy taygi [Dary of the Ussuri taiga]. Khabarovsk. 352 р. (In Russ.).
- Whittaker R.H. 1960. Vegetation of the Siskiyou Mountains, Oregon and California. – Ecol. Monogr. 30: 279–338.
Arquivos suplementares






