Магнитная восприимчивость сплавов ниже порога перколяции
- Авторы: Белоконь В.И.1, Дьяченко О.И.2, Лапенков Р.В.1
-
Учреждения:
- Институт наукоемких технологий и передовых материалов, департамент теоретической физики и интеллектуальных технологий, Дальневосточный федеральный университет
- Институт наукоемких технологий и передовых материалов, департамент общей и экспериментальной физики, Дальневосточный федеральный университет
- Выпуск: Том 124, № 1 (2023)
- Страницы: 24-28
- Раздел: ЭЛЕКТРИЧЕСКИЕ И МАГНИТНЫЕ СВОЙСТВА
- URL: https://journal-vniispk.ru/0015-3230/article/view/139326
- DOI: https://doi.org/10.31857/S0015323022601131
- EDN: https://elibrary.ru/KPUOJZ
- ID: 139326
Цитировать
Полный текст
Аннотация
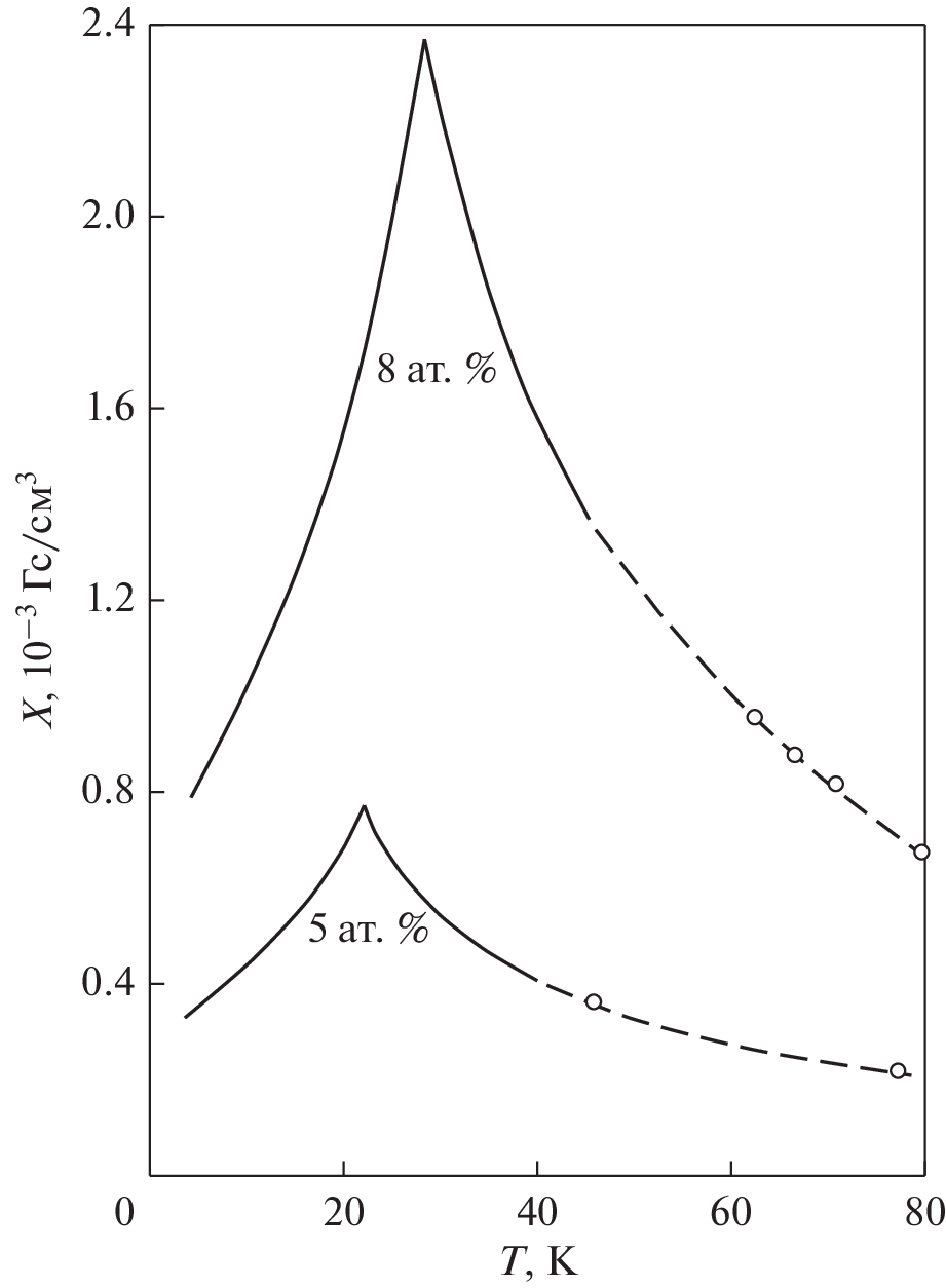
В рамках теории случайных полей взаимодействия показана возможность определения точки Кюри и парамагнитной точки Кюри, соответствующей появлению ближнего порядка. В ферромагнитных сплавах существует интервал концентраций, для которого разрушается дальний порядок, но еще сохраняется ближний. Это приводит к появлению фазы кластерного стекла, для которого характерна зависимость магнитной восприимчивости от времени и появление вязкой намагниченности. На примере сплава AuFe исследуется поведение начальной магнитной восприимчивости как функции температуры и концентрации, проводится сравнение с данными, полученными экспериментально.
Об авторах
В. И. Белоконь
Институт наукоемких технологий и передовых материалов, департамент теоретической физикии интеллектуальных технологий, Дальневосточный федеральный университет
Email: dyachenko.oi@dvfu.ru
Россия, 690922, Приморский край, о. Русский, Владивосток, п. Аякс, 10
О. И. Дьяченко
Институт наукоемких технологий и передовых материалов, департамент общей и экспериментальной физики,Дальневосточный федеральный университет
Email: dyachenko.oi@dvfu.ru
Россия, 690922, Приморский край, о. Русский, Владивосток, п. Аякс, 10
Р. В. Лапенков
Институт наукоемких технологий и передовых материалов, департамент теоретической физикии интеллектуальных технологий, Дальневосточный федеральный университет
Автор, ответственный за переписку.
Email: dyachenko.oi@dvfu.ru
Россия, 690922, Приморский край, о. Русский, Владивосток, п. Аякс, 10
Список литературы
- Keim N.C., Paulsen J.D., Zeravcic Z., Sastry S., Nagel S.R. Memory formation in matter// Rev. Mod. Phys. 2019. V. 91. P. 035002.
- Morgan I.L., Avinery R., Rahamim G., Beck R., Saleh O.A. Glassy Dynamics and Memory Effects in an Intrinsically Disordered Protein Construct // Phys. Rev. Lett. 2020. V. 125. P. 058001.
- Kumar R., Sharma J., Iyer K., Sampathkumaran E. Reentrant spin-glass and transport behavior of Gd4PtAl, a compound with three sites for Gd // J. Magn. Magn. Mater. 2019. V. 490. P. 165515.
- Binder K. Spin Glasses: Experimental Facts, Theoretical Concepts, and Open Questions // Review of Modern Phys. 1986. V. 58(4). P. 801–976.
- Доценко В.С. Физика спин-стекольного состояния // Успехи физ. наук. 1993. Т. 163. № 6. С. 1–37.
- Коренблит И.Я., Шендер Е.Ф. Спиновые стекла и неэргодичность // Успехи физических наук. 1989. Т. 157. № 2. С. 267–310.
- Белоконь В.И., Дьяченко О.И., Лапенков Р.В. Влияние диффузии на возникновение перколяционного кластера в магнетиках с прямым обменом // ФММ. 2021. Т. 122. С. 1257–1260.
- Belokon V., Lapenkov R., Chibiriak E., Dyachenko O. Oguchis Magnetic susceptibility of systems with different types of interactions: The random interaction fields method // J. Magn. Magn. Mater. 2020. V. 512. P. 167 051.
- Иудин Д.И. Фракталы: от простого к сложному. Н. Новгород: ННГАСУ. 2012. С. 200.
- Белоконь В.И., Дьяченко О.И., Лапенков Р.В., Чибиряк Е.В. Многообразие видов магнитного упорядочения: метод случайных полей обменного взаимодействия // ФММ. 2020. Т. 121. С. 802–806.
- Hagiwara M., Nagata K. Magnetism and Magnetic Interaction in a Complex Oxide Glass System Containing Deposited Clusters of Magnetite at the Superparamagnetic State // J. Phys. Soc. Japan. 1998. V. 67. P. 3590–3600.
- Cannella V., Mydosh J.A. Magnetic ordering in gold-iron alloys // Phys. Rev. B-Solid State. 1972. V. 6. P. 4220.
- Вонсовский С.В. Магнетизм. М.: Наука. 1971. 1032 с.
- Петраковский Г.А. Спиновые стекла // Cоросовский образовательный журн. 2001. Т. 7. № 9.





