The Microstructure and Deformation Behavior of the Ordered Cu–56 at % Au Alloy
- Authors: Antonova O.V.1, Novikova O.S.1, Volkov A.Y.1, Livinets A.A.1, Podgorbunskaya P.O.1,2
-
Affiliations:
- M.N. Miheev Institute of Metal Physics of Ural Branch of Russian Academy of Sciences
- Ural Federal University Named after the First President of Russia B.N. Yeltsin
- Issue: Vol 124, No 1 (2023)
- Pages: 91-97
- Section: СТРУКТУРА, ФАЗОВЫЕ ПРЕВРАЩЕНИЯ И ДИФФУЗИЯ
- URL: https://journal-vniispk.ru/0015-3230/article/view/139360
- DOI: https://doi.org/10.31857/S001532302260112X
- EDN: https://elibrary.ru/KPRZVE
- ID: 139360
Cite item
Full Text
Abstract
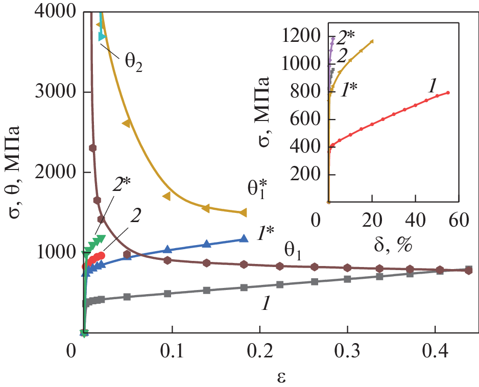
The microstructural evolution of the ordered Cu–56 at % Au alloy under plastic deformation has been studied. It has been revealed that under the influence of deformation, the с-domain structure is origi-nally destroyed, and the lamellar structure demonstrates a higher stability under deformation impacts. It has been demonstrated that deformation to 70% leads to the formation of ultrafine-grained two-phase (order + disorder) structure in the alloy. Based on the results of mechanical tensile tests, the deformation behavior of the ordered and disordered alloys has been analyzed. It has been concluded that the mechanical properties of the moderately deformed (to ~20%) ordered Cu–56 at % Au alloy may be of interest for practical appli-cations.
About the authors
O. V. Antonova
M.N. Miheev Institute of Metal Physics of Ural Branch of Russian Academy of Sciences
Email: novikova@imp.uran.ru
Ekaterinburg, 620102 Russia
O. S. Novikova
M.N. Miheev Institute of Metal Physics of Ural Branch of Russian Academy of Sciences
Email: novikova@imp.uran.ru
Ekaterinburg, 620108 Russia
A. Yu. Volkov
M.N. Miheev Institute of Metal Physics of Ural Branch of Russian Academy of Sciences
Email: novikova@imp.uran.ru
Ekaterinburg, 620108 Russia
A. A. Livinets
M.N. Miheev Institute of Metal Physics of Ural Branch of Russian Academy of Sciences
Email: novikova@imp.uran.ru
M.N. Miheev Institute of Metal Physics of Ural Branch of Russian Academy of Sciences
P. O. Podgorbunskaya
M.N. Miheev Institute of Metal Physics of Ural Branch of Russian Academy of Sciences; Ural Federal University Named after the First President of Russia B.N. Yeltsin
Author for correspondence.
Email: novikova@imp.uran.ru
Ekaterinburg, 620108 Russia; Ekaterinburg, 620102 Russia
References
- Малышев В.М., Румянцев Д.В. Золото. М.: Металлургия, 1979. 288 с.
- Garcia–Gonzalez M., van Petegem S., Baluc N., Dupraz M., Honkimaki V., Lalire F., van Swygenhoven H. Influence of thermo-mechanical history on the ordering kinetics in 18 carat Au alloys // Acta Mater. 2020. V. 191. P. 186–197.
- Гринберг Б.А., Сюткина В.И. Новые методы упрочнения упорядоченных сплавов. М.: Металлургия, 1985. 175 с.
- Volkov A.Yu., Antonova O.V., Glukhov A.V., Komkova D.A., Antonov B.D., Kostina A.E., Livinets A.A., Generalova K.N. Features of the disorder-order phase transition in non-stoichoimetric Cu–56 at % Au alloy // J. Alloys Compd. 2021. V. 891. P. 161 938.
- Syutkina V.I., Yakovleva E.S. The mechanism of deformation of the ordered CuAu alloy // Phys. Stat. Sol. 1967. V. 21. № 2. P. 465–480.
- Syutkina V.I., Volkov A.Yu. Formation of strength properties of ordered alloys // Phys. Met. Metallogr. 1992. V. 73. № 2. P. 205–211.
- Antonova O.V., Volkov A.Yu. Changes of microstructure and electrical resistivity of ordered Cu–40Pd (at %) alloy under severe plastic deformation // Intermetallics. 2012. V. 21. P. 1–9.
- Пушин В.Г., Куранова Н.Н., Марченкова Е.Б., Пушин А.В. Деформационно-индуцированное атомное разупорядочение и ОЦК-ГЦК-превращение в сплаве Гейслера Ni54Mn21Ga25, подвергнутом мегапластической деформации кручением под высоким давлением // ФММ. 2020. Т. 121. С. 374–380.
- Glezer A.M., Timshin I.A., Shchetinin I.V., Gorshenkov M.V., Sundeev R.V., Ezhova A.G. Unusual behavior of long-range ordered parameter in Fe3Al superstructure under severe plastic deformation in Bridgman anvils // J. Alloys Compd. 2018. V. 744. P. 791–796.
- Rentenberger C., Mangler C., Scheriau S., Pippan R., Karnthaler H.P. TEM study of local disordering: a structural phase change induced by high-pressure torsion // Mater. Sci. Forum. 2008. V. 584–586. P. 422–427.
- Larcher M.N.D., Cayron C., Blatter A., Soulignac R., Loge R.E. The thermally activated distortion with amplification effect and related variant selection in red gold alloys // Acta Mater. 2020. V. 198. P. 242–256.
- Larcher M.N.D., Cayron C., Blatter A., Soulignac R., Loge R.E. Persistence of variant selection in red gold alloys // J. Alloys Compd. 2022. V. 899. P. 163364.
- Iwasaki H., Ogawa S. X-Ray measurement of order in CuAuII // JPSJ. 1967. V. 22. № 1. P. 158–164.
- Малыгин Г.А. Анализ структурных факторов, определяющих образование шейки при растяжении металлов и сплавов с ГЦК-решетной // ФТТ. 2005. Т. 47. № 2. С. 236–241.
- Yang X., Xu C., Zheng R., Guan S., Ma C. Towards strength-ductility synergy through an optimized thermomechanical treatment in hypoeutectic Al-Si alloys // Mater. Lett. 2021. V. 295. P. 129 850
- Yang Q., Ghosh A.K. Deformation behavior of ultra-grain (UFG) AZ31B Mg alloy at room temperature // Acta Mater. 2006. V. 54. P. 5159–5170.
- Merson D., Linderov M., Brilevsky A., Danyuk A., Vinogradov A. Monitoring Dynamic Recrystallisation in Bioresorbable Alloy Mg–1Zn–0.2Ca by Means of an In Situ Acoustic Emission Technique // Materials. 2022. V. 15. P. 328.
- Гринберг Б.А., Иванов М.А. Интерметаллиды Ni3Al и TiAl: микроструктура, деформационное поведение. Екатеринбург: УрО РАН, 2002. 359 с.
- Пушин В.Г., Кондратьев В.В., Хачин В.Н. Предпереходные явления и мартенситные превращения. Екатеринбург: УрО РАН, 1998. 368 с.
- Хирш П., Хови А., Николсон Р., Пэшли Д., Уэлан М. Электронная микроскопия тонких кристаллов. Пер. с англ. / под ред. Л.М. Утевского. М.: Мир, 1968. 575 с.
Supplementary files









