Влияние измельчения с комбинацией поверхностно-активных веществ на магнитные свойства и микроструктуру субмикронных порошков Sm2Fe17N3
- Авторы: Колодкин Д.А.1,2, Попов А.Г.1,2, Горбунова Т.И.3
-
Учреждения:
- Институт физики металлов УрО РАН
- Институт естественных наук и математики, УрФУ
- Институт органического синтеза им. И.Я. Постовского УрО РАН
- Выпуск: Том 124, № 3 (2023)
- Страницы: 275-283
- Раздел: ЭЛЕКТРИЧЕСКИЕ И МАГНИТНЫЕ СВОЙСТВА
- URL: https://journal-vniispk.ru/0015-3230/article/view/139383
- DOI: https://doi.org/10.31857/S0015323022601659
- EDN: https://elibrary.ru/CMRUHR
- ID: 139383
Цитировать
Полный текст
Аннотация
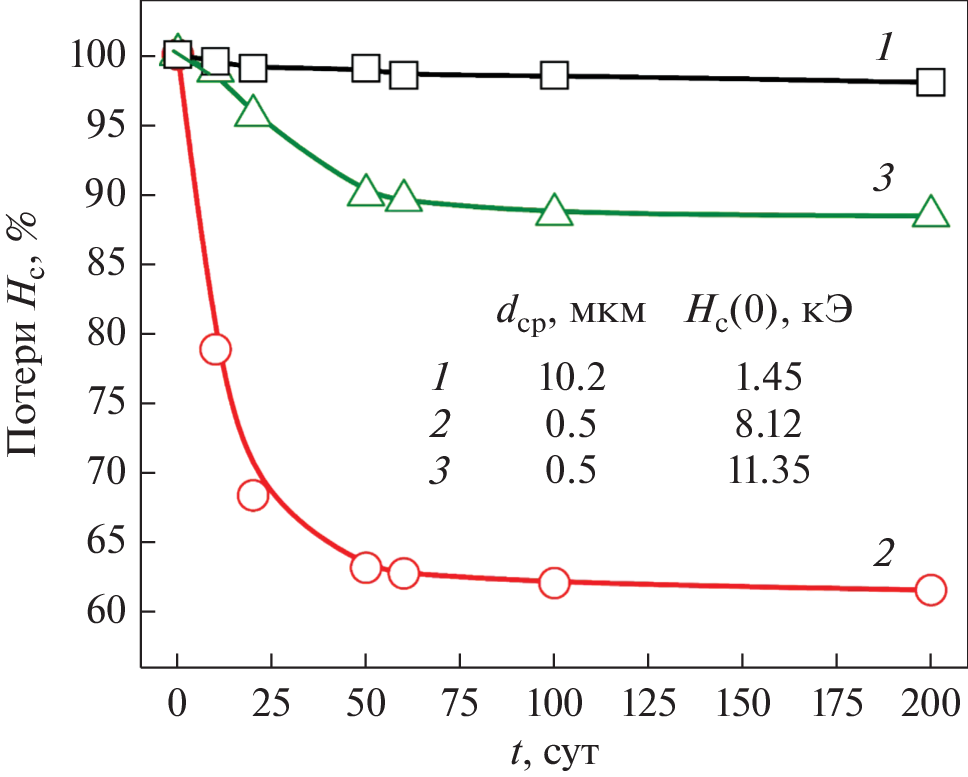
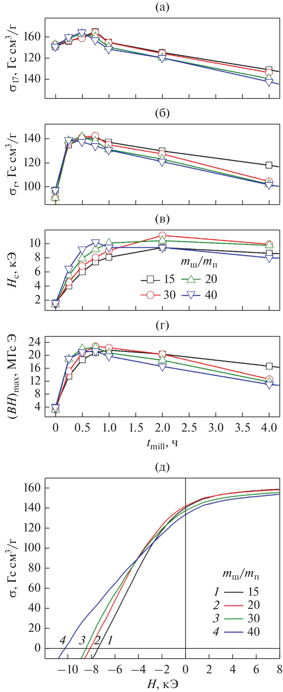
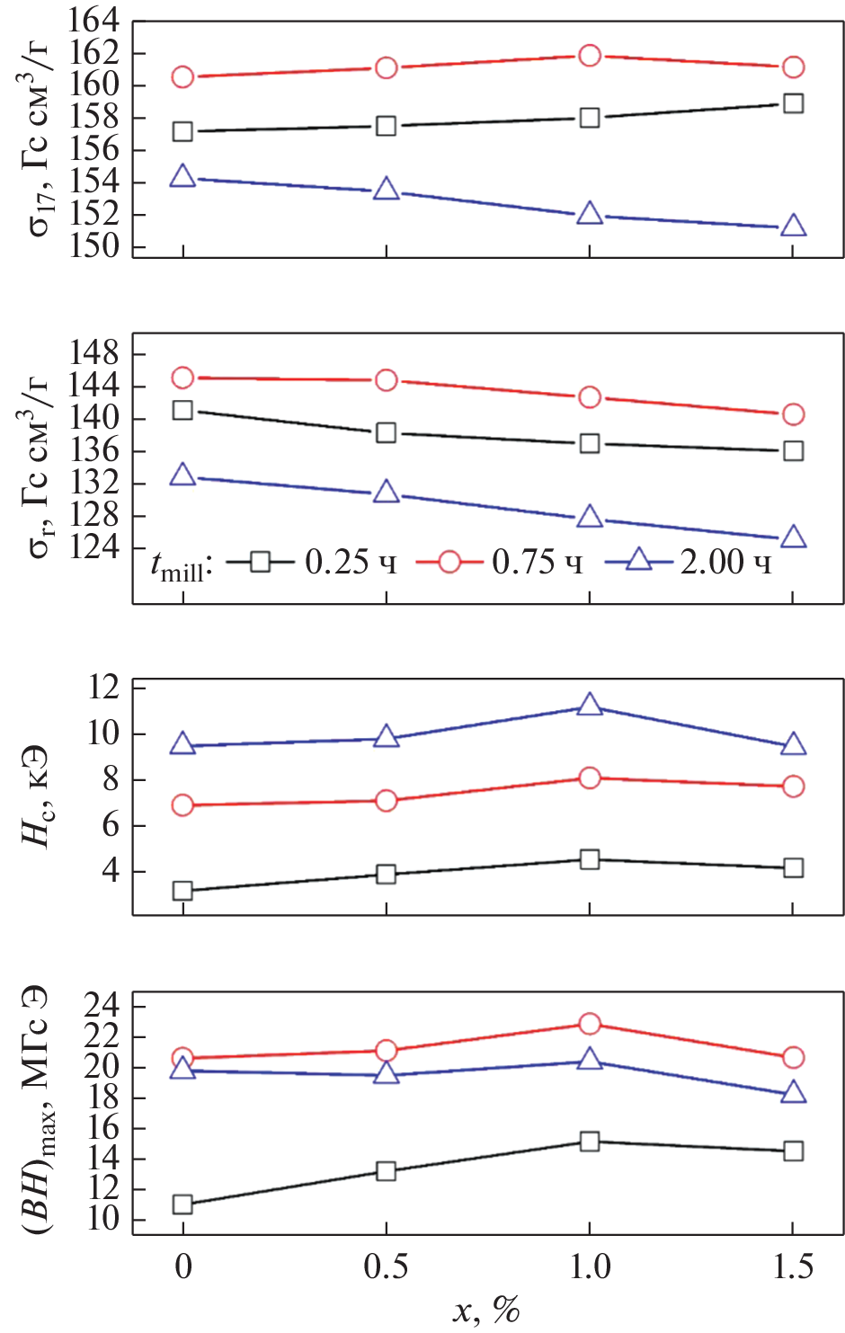
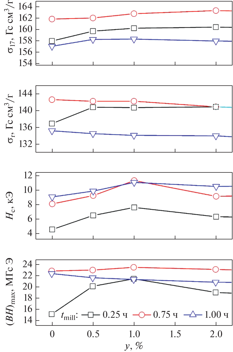
Представлены результаты использовании комбинации нескольких поверхностно-активных веществ (ПАВ) для получения субмикронных магнитотвердых порошков Sm2Fe17N3 размолом в центробежной мельнице. Помимо добавок метилкапроата, с целью защиты порошка от окисления, изучена эффективность применения силоксана. Применение комбинации ПАВ позволило как дополнительно увеличить значение (BH)max порошка Sm2Fe17N3 до 23.6 МГс Э, так и повысить его коррозионную стойкость. Определено влияние кинетики измельчения на угловую зависимости коэрцитивной силы Hc. Получены сведения о преимущественном механизме перемагничивания порошков.
Ключевые слова
Об авторах
Д. А. Колодкин
Институт физики металлов УрО РАН; Институт естественных наук и математики, УрФУ
Email: kolodkin@imp.uran.ru
Россия, 620108, Екатеринбург, ул. С. Ковалевской, 18; Россия, 620002, Екатеринбург, ул. Мира, 19
А. Г. Попов
Институт физики металлов УрО РАН; Институт естественных наук и математики, УрФУ
Email: kolodkin@imp.uran.ru
Россия, 620108, Екатеринбург, ул. С. Ковалевской, 18; Россия, 620002, Екатеринбург, ул. Мира, 19
Т. И. Горбунова
Институт органического синтеза им. И.Я. Постовского УрО РАН
Автор, ответственный за переписку.
Email: kolodkin@imp.uran.ru
Россия, 620108, Екатеринбург, ул. С. Ковалевской, 22/20
Список литературы
- Suzuki S., Miura T., Kawasaki M. Sm2Fe17Nx Bonded Magnets with High Performance // IEEE Trans. Magn. 1993. V. 29. P. 2815–2817.
- Makita K., Hirosawa S. Coercivity of Zn evaporation-coated Sm2Fe17Nx fine powder and its bonded magnets // J. Alloys Compd. 1997. V. 260. P. 236–241.
- Tokita M. Trends in advanced SPS spark plasma sintering systems and technology // J. Soc. Powder Technol. Jpn. 1993. V. 30. P. 790–804.
- Zhang D., Yue M., Zhang J. Structure and magnetic properties of Sm2Fel7Nx sintering magnets prepared by spark plasma sintering // J. Rare Earths. 2006. V. 24. P. 325–328.
- Saito T. Structures and magnetic properties of Sm–Fe–N bulk magnets produced by the spark plasma sintering method // J. Mater. Res. 2007. V. 22. P. 3130–3136.
- Prabhu D., Sepehri-Amin H., Mendis C.L., Ohkubo T., Hono K., Sugimoto S. Enhanced coercivity of spark plasma sintered Zn–bonded Sm–Fe–N magnets // Scripta Mater. 2012. V. 67. P. 153–156.
- Saito T. Production of Sm–Fe–N bulk magnets by spark plasma sintering method // JMMM. 2014. V. 369. P. 184–188.
- Matsuura M., Shiraiwa T., Tezuka N., Sugimoto S., Shoji T., Sakuma N., Haga K. High coercive Zn-bonded Sm–Fe–N magnets prepared using fine Zn particles with low oxygen content, JMMM. 2018. V. 452. P. 243–248.
- Machida K., Nakamoto A., Nakatani Y., Adachi G., Onodera A. New processing routes for the preparation of Sm2Fe17Mx (M–C and/or N) materials // J. Alloys Compd. 1995. V. 222. P. 18–22.
- Takagi K., Nakayama H., Ozaki K., Kobayashi K. Fabrication of High-performance Sm–Fe–N isotropic bulk magnets by a combination of High-pressure compaction and current sintering // JMMM. 2012. V. 324. P. 1337–1341.
- Nakayama H., Takagi K., Ozaki K., Kobayashi K. Correlation between microstructure and magnetic properties in Sm2Fe17N3 magnet prepared by pulsed current sintering // Mater. Trans. 2012. V. 53. P. 1962–1966.
- Takagi K., Nakayama H., Ozaki K. Microstructural behavior on particle surfaces and interfaces in Sm2Fe17N3 powder compacts during low-temperature sintering // JMMM. 2012. V. 324. P. 2336–2341.
- Soda R., Takagi K., Jinno M., Yamaguchi W., Ozaki K. // Anisotropic Sm2Fe17N3 sintered magnets without coercivity deterioration // AIP Adv. 2016. V. 6. 115108.
- Takagi K., Soda R., Jinno M., Yamaguchi W. Possibility of high-performance Sm2Fe17N3 sintered magnets by low-oxygen powder metallurgy process // JMMM. 2020. V. 506. 166811.
- Mukai T., Fujimoto T. Kerr microscopy observation of nitrogenated Sm2Fe17 intermetallic compounds // JMMM. 1992. V. 10. P. 165–173.
- Yamaguchi W., Soda R., Takagi K. Metal–coated Sm2Fe17N3 magnet powders with an oxide–free direct metal–metal interface // JMMM. 2020. V. 498. 166101.
- Hosokawa A., Yamaguchi W., Suzuki K., Takagi K. Influences of microstructure on macroscopic crystallinity and magnetic properties of Sm–Fe–N fine powder produced by jet-milling // J. Alloys Compd. 2021. V. 869. 159 288.
- Wendhausen P.A.P., Gebel B., Eckert D., Miiller K.-H. Effect of milling on the magnetic and microstructural properties of Sm2Fe17Nx permanent magnets // J. Appl. Phys. 1994. V. 75. P. 6018–6020.
- Kobayashi K., Skomski R., Coey J.M.D. Dependence of coercivity on particle size in Sm2Fe17N3 powders // J. Alloys Compd. 1995. V. 222. P. 1–7.
- Wang J.L., Li W.Z., Zhong X.P., Gao Y.H., Qin W.D., Tang N., Lin W.G., Zhang J.X., Zhao R.W., Yan Q.W., Yang F. Study on high performance Sm2Fe17Nx magnets // J. Alloys Compd. 1995. V. 222. P. 23–26.
- Hadjipanayis G., Neil D., Gabay A. Ultrafine Sm–Fe–N particles prepared by planetary ball milling // Epj Web Conf. 2013. V. 40. 06006.
- Matsuura M., Nishijima Y., Tezuka N., Sugimoto S., Shoji T., Sakuma N. Increase of energy products of Zn–bonded Sm–Fe–N magnets with low oxygen content // JMMM. 2018. V. 467. P. 64–68.
- Tajima S., Hattori T., Kato Y. Influence of milling conditions on magnetic properties of Sm2Fe17N3 particles // IEEE Trans. Magn. 1995. V. 31. P. 3701–3703.
- Izumi H., Machida K., Shiomi A., Iguchi M., Noguchi K., Adachi G. Preparation of Sm2Fe17Nx Powders and Their Bonded Magnets with High–Performance Permanent Magnetic Characteristics // Chem. Mater. 1997. V. 9. P. 2759–2767.
- Zhao L., Akdogan N.G., Hadjipanayis G.C. Hard magnetic Sm2Fe17N3 flakes nitrogenized at lower temperature // J. Alloys Compd. 2013. V. 554. P. 147–149.
- Ma X.B., Li L.Z., Liu S.Q., Hu B.Y., Han J.Z., Wang C.S., Du H.L., Yang Y.C., Yang J.B. Anisotropic Sm–Fe–N particles prepared by surfactant-assisted grinding method // J. Alloys Compd. 2014. V. 612. P. 110–113.
- Колодкин Д.А., Попов А.Г., Гавико В.С. Повышение коэрцитивной силы порошков Sm2Fe17N3 механическим измельчением с применением поверхностно–активных веществ // ФММ. 2021. V. 122. P. 588–599.
- Kolodkin D.A., Popov A.G., Protasov A.V., Gaviko V.S., Vasilenko D.Yu., Kavita S., Prabhu D.B., Gopalan R. Magnetic properties of Sm2+αFe17Nx powders prepared from bulk and strip–cast alloys // JMMM. 2021. V. 518. 167416.
- Popov A.G., Gaviko V.S., Shchegoleva N.N., Golovnia O.A., Gorbunova T.I., Hadjipanayis G.C. Effect of addition of esters of fatty acids on the microstructure and properties of sintered Nd–Fe–B magnets produced by PLP // JMMM. 2015. V. 386. P. 134–140.
- Witucki G.L. A Silane Primer: Chemistry and Applications of AIkoxy Silanes // J. Coat. Technol. 1993. V. 65. P. 57–60.
- Кондорский Е.И. О гистерезисе ферромагнетиков // ЖЭТФ. 1940. Т. 10. С. 420–440.
- Stoner E.C. Ferromagnetism: magnetization curves // Phys. Soc. Rep. Phys. 1950. V. 13. P. 83–183.
- Wohlfarth E.P. Hard magnetic materials // Adv. In Phys. 1959. V. 8. P. 87–224.
- Шур Я.С., Кандаурова Г.С., Оноприенко Л.Г. Об угловой зависимости коэрцитивной силы в магнитоодноосных ферромагнитных монокристаллах // ЖЭТФ. 1965. Т. 48. С. 442–444.
- Shtrikman S., Treves D. The coercive force and rotational hysteresis of elongated ferromagnetic particles // J. Phys. Rad. 1959. V. 20. P. 286–289.
Дополнительные файлы









