Электросопротивление, магнитные и гальваномагнитные свойства литого и быстрозакаленного сплава Гейслера Mn3Al
- Авторы: Марченков В.В.1,2, Ирхин В.Ю.1, Семянникова А.А.1, Коренистов П.С.1, Марченкова Е.Б.1
-
Учреждения:
- Институт физики металлов им. М.Н. Михеева УрО РАН
- Уральский федеральный университет
- Выпуск: Том 124, № 4 (2023)
- Страницы: 339-345
- Раздел: ЭЛЕКТРИЧЕСКИЕ И МАГНИТНЫЕ СВОЙСТВА
- URL: https://journal-vniispk.ru/0015-3230/article/view/139386
- DOI: https://doi.org/10.31857/S0015323022601908
- EDN: https://elibrary.ru/VIIDBO
- ID: 139386
Цитировать
Полный текст
Аннотация
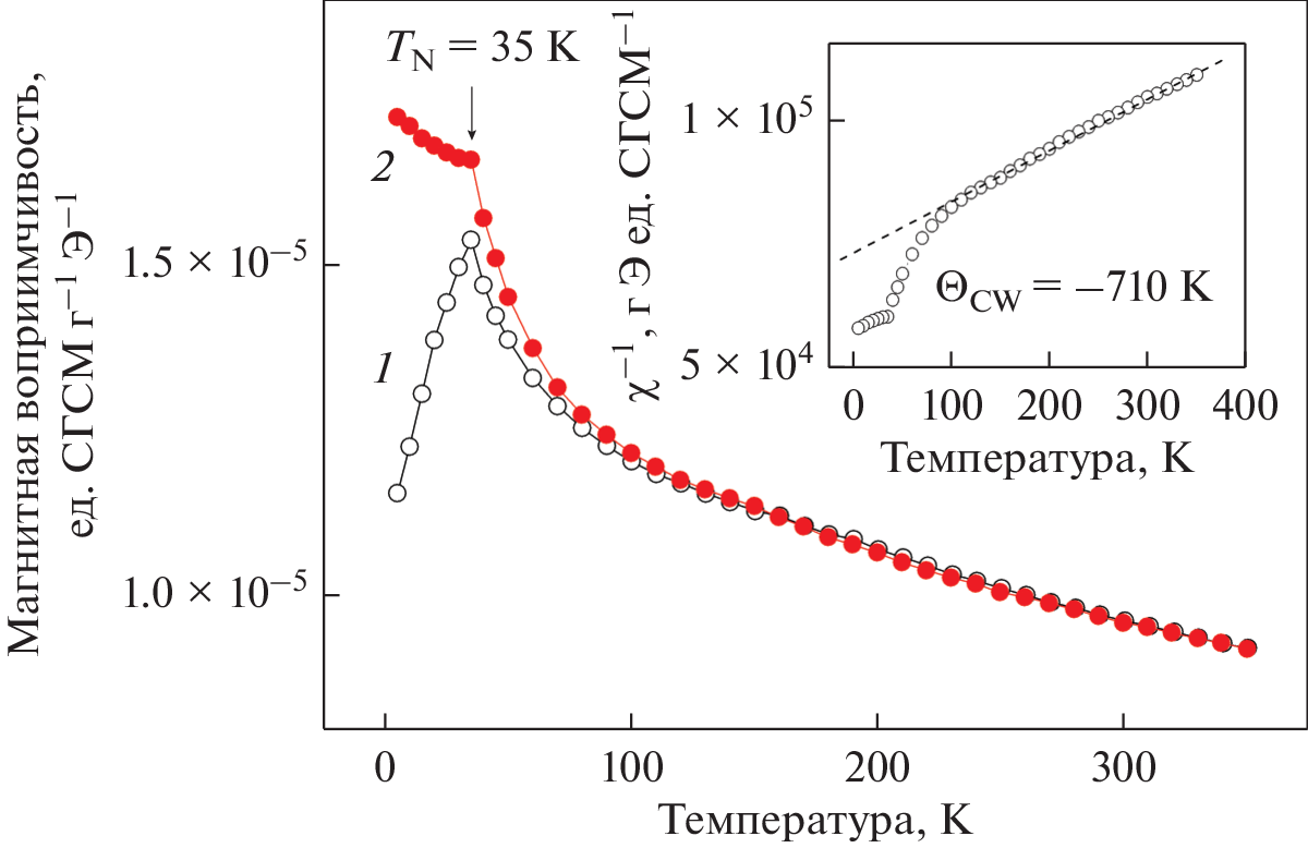
Проведено исследование электросопротивления, магнитных и гальваномагнитных свойств литого и быстрозакаленного сплава Гейслера Mn3Al. Установлено, что быстрая закалка из расплава ведет к изменению микроструктуры соединения Mn3Al, что приводит к сильным изменениям в его электронных транспортных и магнитных свойствах. Высказано предположение, что для литого и быстрозакаленного сплава Mn3Al могут возникать фрустрированное антиферромагнитное и почти скомпенсированное ферримагнитное состояние, соответственно. Продемонстрировано, что способ приготовления и обработки соединения Mn3Al играет существенную роль в формировании его электронных и магнитных характеристик.
Об авторах
В. В. Марченков
Институт физики металлов им. М.Н. Михеева УрО РАН; Уральский федеральный университет
Email: march@imp.uran.ru
Россия, 620108, Екатеринбург, ул. С. Ковалевской, 18; Россия, 620002, Екатеринбург, ул. Мира, 19
В. Ю. Ирхин
Институт физики металлов им. М.Н. Михеева УрО РАН
Email: semiannikova@imp.uran.ru
Россия, 620108, Екатеринбург, ул. С. Ковалевской, 18
А. А. Семянникова
Институт физики металлов им. М.Н. Михеева УрО РАН
Email: semiannikova@imp.uran.ru
Россия, 620108, Екатеринбург, ул. С. Ковалевской, 18
П. С. Коренистов
Институт физики металлов им. М.Н. Михеева УрО РАН
Email: semiannikova@imp.uran.ru
Россия, 620108, Екатеринбург, ул. С. Ковалевской, 18
Е. Б. Марченкова
Институт физики металлов им. М.Н. Михеева УрО РАН
Автор, ответственный за переписку.
Email: semiannikova@imp.uran.ru
Россия, 620108, Екатеринбург, ул. С. Ковалевской, 18
Список литературы
- Heusler F. Uber magnetische Manganlegierungen German. Verh. Deutsch. Phys. Ges. 1903. V. 5. P. 219.
- Васильев А.Н., Бучельников В.Д., Такаги Т., Ховайло В.В., Эстрин Э.И. Ферромагнетики с памятью формы // УФН. 2003. V. 173. P. 577–608.
- Pushin V., Kuranova N., Marchenkova E., Pushin A. Design and Development of Ti–Ni, Ni–Mn–Ga and Cu–Al–Ni-Based Alloys with High and Low Temperature Shape Memory Effects // Mater. 2019. V. 12. P. 2616.
- Соколовский В.В., Мирошкина О.Н., Бучельников В.Д. Обзор современных теоретических методов исследования магнитокалорических материалов // ФММ. 2022. Т. 123. С. 344.
- Wang R.L., Yan J.B., Xu L.S., Marchenkov V.V., Chen S.S., Tang S.L., Yang C.P. Effect of Al doping on the martensitic transition and magnetic entropy change in Ni–Mn–Sn alloys // Sol. State Comm. 2011. V. 151. P. 1196.
- De Groot R.A., Mueller F.M., Mueller P.G., van Engen P.G., Bushow K.H.J. New class of materials—half-metallic ferromagnets // Phys. Rev. Lett. 1983. V. 50. P. 2024–2027.
- Katsnelson M.I., Irkhin V.Yu., Chioncel L., Lichtenstein A.I., De Groot R.A. Half-metallic ferromagnets: from band structure to many-body effects // Rev. Mod. Phys. 2008. V. 80(2). P. 315–378.
- Wang X.L. Proposal for a new class of materials: spin gapless semiconductors // Phys. Rev. Lett. 2008. V. 100. P. 156404.
- Wang X.T., Cheng Z.X., Wang J.L., Wang X.L., Liu G.D. Recent advances in the Heusler based spin-gapless semiconductors // J. Mater. Chem. C. 2016. V. 4. P. 7176.
- Manna K., Sun Y., Muechler L., Kübler J., Felser C. Heusler, Weyl and Berry // Nature Mater. 2018. V. 3. P. 244–256.
- Marchenkov V.V., Irkhin V.Y. Half-Metallic Ferromagnets, Spin Gapless Semiconductors, and Topological Semimetals Based on Heusler Alloys: Theory and Experiment // Phys. Met. Metallogr. 2021. V. 122. P. 1133–1157.
- Marchenkov V.V., Irkhin V.Yu., Semiannikova A.A. Unusual Kinetic Properties of Usual Heusler Alloys // J. Supercond. Nov. Magn. 2022. V. 35. P. 2153–2168.
- Chatterjee S., Chatterjee S., Giri S., Majumdar S. Transport properties of Heusler compounds and alloys // J. Phys.: Condens. Matter. 2022. V. 34. P. 013001.
- Gavrikov I., Seredina M., Zheleznyy M., Shchetinin I., Karpenkov D., Bogach A., Chatterjee R., Khovaylo V. Magnetic and transport properties of Mn2FeAl // J. Magn. Magn. Mater. 2019. V. 478. P. 55.
- Dash S., Lukoyanov A.V., Nancy, Mishra D., Mohammed Rasi U.P., Gangineni R.B., Vasundhara M., Patra A.K. Structural stability and magnetic properties of Mn2FeAl alloy with a β-Mn structure // J. Magn. Magn. Mater. 2020. V. 513. P. 167205.
- Irkhin V.Yu., Skryabin Yu.N. Two-band model and RVB-type states: Application to Kondo lattices, pyrochlores and Mn-based systems // Physica B. 2022. V. 633. P. 413780.
- Jamer M.E., Wang Y.J., Stephen G.M., McDonald I.J., Grutter A.J., Sterbinsky G.E., Arena D.A., Borchers J.A., Kirby B.J., Lewis L.H., Barbiellini B., Bansil A., Heiman D. Compensated Ferrimagnetism in the Zero-Moment Heusler Alloy Mn3Al // Phys. Rev. Appl. 2017. V. 7. P. 064036.
- Марченков В.В., Ирхин В.Ю., Перевозчикова Ю.А., Терентьев П.Б., Семянникова А.А., Марченкова Е.Б., Eisterer M. Кинетические свойства и полуметаллический магнетизм в сплавах Гейслера Mn2YAl // ЖЭТФ. 2019. Т. 155(6). С. 1083.
- Aryal A., Bakkar S., Samassekou H., Pandey S., Dubenko I., Stadler Sh., Ali N., Mazumdar D. Mn2FeSi: An antiferromagnetic inverse-Heusler alloy // J. Alloys Compd. 2020. V. 823. P. 153770.
- Takatsu H., Yoshizawa H., Yonezawa S., Maeno Y. Critical behavior of the metallic triangular-lattice Heisenberg antiferromagnet PdCrO2 // Phys. Rev. B. 2009. V. 79. P. 104424.
- Komleva E.V., Irkhin V.Yu., Solovyev I.V., Katsnelson M.I., Streltsov S.V. Unconventional magnetism and electronic state in the frustrated layered system PdCrO2 // Phys. Rev. B. 2020. V. 102. P. 174438.
- Kostenko M.G., Lukoyanov A.V. Magnetic properties and electronic structure of Mn–Al alloys in the β-Mn structure // J. Magn. Magn. Mater. 2022. V. 542. P. 168 600.
- Князев Ю.В., Лукоянов А.В., Кузьмин Ю.И., Даш Ш., Патра А.К., Васундхара М. Электронная структура и спектральные характеристики соединения Mn3Al // ФММ. 2021. Т. 122. С. 1026.
- Wollmann L., Chadov S., Kübler J., Felser C. Magnetism in cubic manganese-rich Heusler compounds // Phys. Rev. B. 2014. V. 90. P. 214420.
- Вонсовский С.В. Магнетизм. М.: Наука, 1971.
- Коуров Н.И., Пушин В.Г., Королев А.В., Марченков В.В., Марченкова Е.Б., Казанцев В.А., Weber H.W. Влияние интенсивной пластической деформации кручением на свойства и структуру сплавов Ni54Mn21Ga25 и Ni54Mn20Fe1Ga25 // ФТТ. 2011. Т. 53(1). С. 89–96.
Дополнительные файлы








