The Creation of Complex Multi-Component Models of Mössbauer Spectra Based on the Example of a Study of Hyperfine Interactions in Quasi-Binary Alloys with the Laves Phase Structure
- Authors: Matsnev M.E.1, Rusakov V.S.1
-
Affiliations:
- Moscow State University
- Issue: Vol 124, No 3 (2023)
- Pages: 292-297
- Section: СТРУКТУРА, ФАЗОВЫЕ ПРЕВРАЩЕНИЯ И ДИФФУЗИЯ
- URL: https://journal-vniispk.ru/0015-3230/article/view/139387
- DOI: https://doi.org/10.31857/S0015323022601751
- EDN: https://elibrary.ru/CNDYUC
- ID: 139387
Cite item
Full Text
Abstract
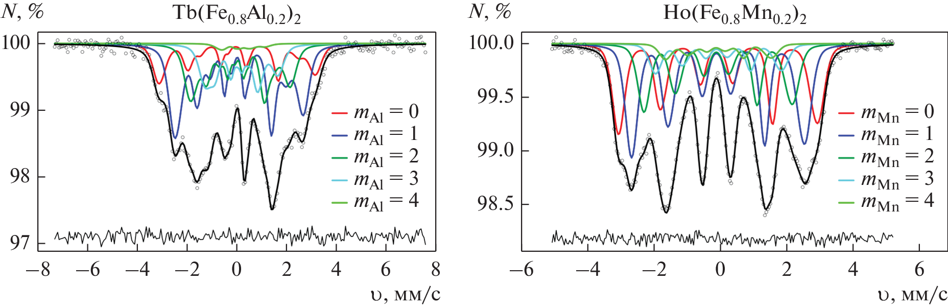
In this paper, we describe a method for creating new custom models of partial Mössbauer spectra
based on the existing ones built into the SpectrRelax program without changing the program itself by writing code fragments in the built-in Lua programming language. The extension of the capabilities of the SpectrRelax
program is demonstrated using the example of studying hyperfine interactions of 57Fe nuclei in quasibinary Tb(Fe0.8Al0.2)2 and Ho(Fe0.8Mn0.2)2 alloys with the C15 Laves phase structure. A model for processing
the spectra, which simultaneously takes the composite and magnetic nonequivalence of the positions of Fe atoms in these alloys, has been created and used, which makes it possible to obtain new data about the orientation
of the axis of the easiest magnetization, the anisotropy of the hyperfine magnetic field, and the effect of substitution of Al and Mn atoms for Fe atoms on hyperfine parameters of Mössbauer spectra.
About the authors
M. E. Matsnev
Moscow State University
Email: rusakov@phys.msu.ru
Moscow, 119991 Russia
V. S. Rusakov
Moscow State University
Author for correspondence.
Email: rusakov@phys.msu.ru
Moscow, 119991 Russia
References
- Matsnev M.E., Rusakov V.S. SpectrRelax: an application for Mössbauer spectra modelling and fitting // AIP Conference Proceedings. 2012. V. 1489. P. 178–185.
- Matsnev M.E., Rusakov V.S. Study of spatial spin-modulated structures by Mössbauer spectroscopy using SpectrRelax // AIP Conference Proceedings. 2014. V. 1622. P. 40–49.
- Иерузалимски Р. Программирование на языке Lua. М.: ДМК Пресс, 2014. 382 с.
- Piponi D. Automatic Differentiation, C++ Templates and Photogrammetry // J. Graphics Tools, 2004.
- Engdahl G. Handbook of giant magnetostrictive materials. Academic Press, 2000. 386 p.
- Gschneidner, Jr.K.A., Pecharsky V.K., Tsokol A.O. Recent Developments in Magnetocaloric Materials // Rep. Progr. Phys. 2005. V. 68. P. 1479–1539.
- Raj P., Kulshreshtha S.K. Magnetically induced quadrupole interactions and anisotropic hyperfine fields at Fe-sites in RFe2-compounds // J. Phys. 1980. V. 41. P. 1487–1494.
- Николаев В.И., Русаков В.С., Солодченкова Т.Б. Кинетика спиновой переориентации при наличии анизотропии сверхтонких взаимодействий // Изв. АН СССР. Сеp. Физическая. 1990. Т. 54. № 9. С. 1681–1685.
- Pokatilov V.S. Hyperfine fields and magnetic moments in Laves phase compounds RFe2 (R = Sc, Y, Zr, Gd, Ce, Lu) // JMMM. 1998. V. 189. P. 189–194.
- Русаков В.С. Мёссбауэровская спектроскопия локально неоднородных систем. Алматы: ИЯФ НЯЦ РК. 2000. 431 с.
- Покатилов В.С. Сверхтонкие взаимодействия в кубических сплавах Лавеса Sc1 – xYxFe2 // ЖЭТФ. 2003. Т. 123. № 1. С. 71–78.
- Wiertel M., Surowiec Z., Budzyński M., Sarzyński J., Beskrovnyi A.I. Magnetic and structural properties of Sc(Fe1 – xSix)2 Laves phases studied by Mössbauer spectroscopy and neutron diffraction // Nukleonika. 2015. V. 60. P. 155–160.
- Вершинин А.В., Наумов С.П., Сериков В.В., Клейнерман Н.М., Мушников Н.В., Русаков В.С. Параметры сверхтонкого взаимодействия и магнитный фазовый переход антиферромагнетик–ферромагнетик в Ce(Fe1 – xSix)2 // ФММ. 2016. Т. 117. № 12. С. 1234–1240.
- Русаков В.С., Покатилов В.С., Губайдулина Т.В., Мацнев М.Е. Сверхтонкие магнитные поля на ядрах 57Fe в интерметаллической системе Zr1 – xScxFe2 // ФММ. 2019. Т. 120. № 4. С. 366–371.
- Наумов С.П., Мушников Н.В., Терентьев П.Б., Клейнерман Н.М. Магнитные свойства и локальное атомное упорядочение в Ce(Fe1 – xSix)2 c содержанием кремния x ≤ 0.05 // ФММ. 2022. Т. 123. № 6. С. 588–595.
- Onodera H., Fujita A., Yamamoto H., Sagawa M. and Hirosawa S. Mossbauer study of the intermetallic compound Nd2Fe14B. I. Interpretation of complex spectrum // J. Magn. Magn. Mater. 1987. V. 68. P. 6–14.
- Займан Дж. Модели беспорядка. Теоретическая физика однородно неупорядоченных систем: Пер. с англ. М.: Мир, 1982. 592 с.




