Simulation of Austenite Grain Growth in Low-Alloyed Steels upon Austenitization
- Authors: Gorbachev I.I.1, Korzunova E.I.1, Popov V.V.1, Khabibulin D.M.2, Urtsev N.V.2
-
Affiliations:
- Mikheev Institute of Metal Physics, Ural Branch, Russian Academy of Sciences
- Ausferr Research and Technology Center
- Issue: Vol 124, No 3 (2023)
- Pages: 303-309
- Section: СТРУКТУРА, ФАЗОВЫЕ ПРЕВРАЩЕНИЯ И ДИФФУЗИЯ
- URL: https://journal-vniispk.ru/0015-3230/article/view/139393
- DOI: https://doi.org/10.31857/S0015323022601738
- EDN: https://elibrary.ru/CNDVHL
- ID: 139393
Cite item
Full Text
Abstract
A model has been developed that describes the grain growth upon austenitization, taking into
account the pinning of moving grain boundaries by carbonitride precipitates. The behavior of these precipitates is described using our previously developed approach for predicting the evolution of carbonitride particles. The software implementation of the model was carried out, and numerical calculations were performed.
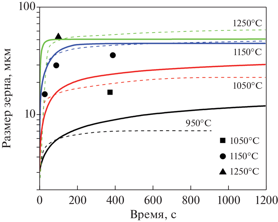
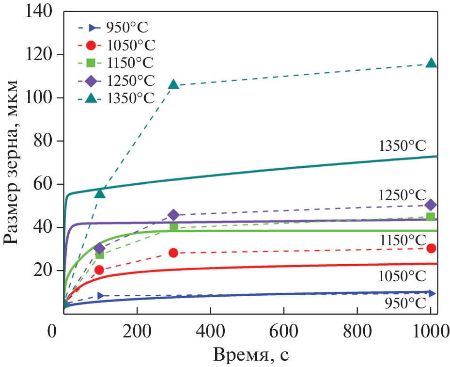
The calculation results have been compared with the experimental data in the literature and their good agreement
is shown.
Keywords
About the authors
I. I. Gorbachev
Mikheev Institute of Metal Physics, Ural Branch, Russian Academy of Sciences
Email: gorbachev@imp.uran.ru
Ekaterinburg, 620990 Russia
E. I. Korzunova
Mikheev Institute of Metal Physics, Ural Branch, Russian Academy of Sciences
Email: gorbachev@imp.uran.ru
Ekaterinburg, 620990 Russia
V. V. Popov
Mikheev Institute of Metal Physics, Ural Branch, Russian Academy of Sciences
Email: gorbachev@imp.uran.ru
Ekaterinburg, 620990 Russia
D. M. Khabibulin
Ausferr Research and Technology Center
Email: gorbachev@imp.uran.ru
Magnitogorsk, 455000 Russia
N. V. Urtsev
Ausferr Research and Technology Center
Author for correspondence.
Email: gorbachev@imp.uran.ru
Magnitogorsk, 455000 Russia
References
- Пимккеринг Ф.Б. Физическое металловедение и разработка сталей. М.: Металлургия, 1982. 184 с.
- Матросов А.Ю., Литвиненко Д.А., Голованенко С.А. Сталь для магистральных газопроводов. М.: Металлургия, 1989. 288 с.
- Muszka K., Majta J., Bienais L. Effect of grain refinement on mechanical properties of microalloyed steels // Metal. Foundry Eng. 2006. V. 32. № 2. P. 87–97.
- Пышминецев И.Ю., Смирнов М.А. Структура и свойства сталей для магистральных газопроводов. Екатеринбург: УМЦ УПИ, 2019. 249 с.
- Хлусова Е.И., Сыч О.В., Орлов В.В. Хладостойкие стали. структура, свойства, технологии // ФММ. 2021. Т. 122. № 6. С. 621–657.
- Barford J., Owen W. The effect of austenite grain size and temperature on the rate of bainite transformation // J. Iron Steel Inst. 1961. V. 197. № 2. P. 359–360.
- Hanamura T., Torizuka S., Tamura S., Enokida S., Takechi H. Effect of austenite grain size on transformation behavior, microstructure and mechanical properties of 0.1C–5Mn martensitic steel // ISIJ Int. 2013. V. 53. № 12. P. 2218–2225.
- Уткинa И.Ю., Ефименко Л.А., Бобринская В.Ю., Капустин О.Е. Оценка роли ванадия и молибдена в изменении кинетики распада аустенита и механических свойств смоделированной зоны перегрева малоуглеродистых ниобийсодержащих сталей // ФММ. 2021. Т. 122. № 7. С. 769–775.
- Попов В.В. Моделирование превращений карбонитридов при термической обработке сталей. Екатеринбург: УрО РАН, 2003. 378 с.
- San Martin D., Caballero F.G., Capdevila C., De Andres C.G. Austenite grain coarsening under the influence of niobium carbonitrides // Mater. Trans. 2004. V. 45. № 9. P. 2797–2804.
- Banerjee K., Militzer M., Perez M., Wang X. Nonisothermal austenite grain growth kinetics in a microalloyed X80 linepipe steel // Metal. Mater. Trans. A. 2010. V. 41A. № 12. P. 3161–3172.
- Roy S., Chakrabarti D., Dey G.K. Austenite grain structures in Ti- and Nb-containing high-strength low-alloy steel during slab reheating // Mater. Sci. Forum. 2014. V. 783–786. P. 669–673.
- Maalekian M., Radis R., Militzer M., Moreau A., Poole W.J. In situ measurement and modelling of austenite grain growth in a Ti/Nb microalloyed steel // Acta Mater. 2012. V. 60. P. 1015–1026.
- Khalaj G., Yoozbashizadeh H., Khodabandeh A., Tamizifar M. Austenite grain growth modelling in weld heat affected zone of Nb/Ti microalloyed linepipe Steel // Mater. Sci. Techn. 2014. V. 30. № 2. P. 424–433.
- Popov V.V., Gorbachev I.I., Pasynkov A.Yu. Simulation of precipitates evolution in multiphase multicomponent systems with consideration of nucleation // Philosoph. Mag. 2016. V. 96. № 35. P. 3632–3653.
- Patterson B.R., Liu Y. Relationship between grain boundary curvature and grain size // Metall. Trans. 1992. 23A. P. 2481–2482.
- Hellman P, Hillert M. On the effect of second-phase particles on grain growth // Scand. J. Metall. 1975. V. 4. P. 211–219.
- Humphreys F.J., Hatherly M. Recrystallization and related annealing phenomena. 2nd ed. Oxford, Elsevier, 2004. 574 p.
- Hillert M. On the theory of normal and abnormal grain growth // Acta Met. 1965. V. 13. P. 227–238.
- C.S. Smith. Introduction to grains, phases, and interfaces – an interpretation of microstructure // Trans. AIME. 1948. V. 175. P. 15–51.
- Rios P.R. Overview № 62: A theory for grain boundary pinning by particles // Acta Metallurgica. 1987. V. 35. № 12. P. 2805–2814.
- Горбачёв И.И., Пасынков А.Ю., Попов В.В. Прогнозирование размера аустенитного зерна микролегированных сталей на основе моделирования эволюции карбонитридных выделений // ФММ. 2015. Т. 116. № 11. С. 1184–1191.
- Hillert M., Staffonsson L.-I. The regular solution model for stoichiometric phases and ionic melts // Acta Chemica Scand. 1970. V. 24. № 10. P. 3618–3626.
- Sandman B., Agren J. A regular solution model for phase with several components and sublattices, suitable for computer applications // J. Phys. Chem. Solids. 1981. V. 42. № 4. P. 297–301.
- Liu W.J., Jonas J. Characterisation of critical nucleus/matrix interface: Application to Cu–Co alloys and microalloyed austenite // Mater. Sci. Technol. 1988. V. 5. P. 8–12.
- Liu W.J., Jonas J. Nucleation kinetics of Ti carbonitride in microalloyed austenite // Metall. Trans. A. 1989. V. 20. P. 689–697.
- Горбачев И.И., Попов В.В., Пасынков А.Ю. Термодинамическое моделирование карбонитридообразования в сталях с Nb и Ti // ФММ. 2012. Т. 113. № 7. С. 727–735.
- Горбачев И.И., Попов В.В., Пасынков А.Ю. Моделирование эволюции выделений двух карбонитридных фаз в сталях с Nb и Ti при изотермическом отжиге // ФММ. 2013. Т. 114. № 9. С. 807–817.
- Горбачев И.И., Попов В.В., Пасынков А.Ю. Расчеты влияния легирующих добавок (Al, Cr, Mn, Ni, Si) на растворимость карбонитридов в малоуглеродистых низколегированных сталях // ФММ. 2016. Т. 117. № 12. С. 1277–1287.




