Атомное упорядочение в сплавах Fe2NiZ (Z = Al, Ga, In, Sn): влияние на анизотропию и свойства основного состояния
- Авторы: Соколовский В.В.1,2, Мирошкина О.Н.3, Бучельников В.Д.1, Грюнер М.Э.3
-
Учреждения:
- Челябинский государственный университет
- НИТУ “МИСиС”
- Университет Дуйсбурга-Эссена
- Выпуск: Том 124, № 2 (2023)
- Страницы: 146-153
- Раздел: ЭЛЕКТРИЧЕСКИЕ И МАГНИТНЫЕ СВОЙСТВА
- URL: https://journal-vniispk.ru/0015-3230/article/view/139397
- DOI: https://doi.org/10.31857/S0015323022601337
- EDN: https://elibrary.ru/KVZXVA
- ID: 139397
Цитировать
Полный текст
Аннотация
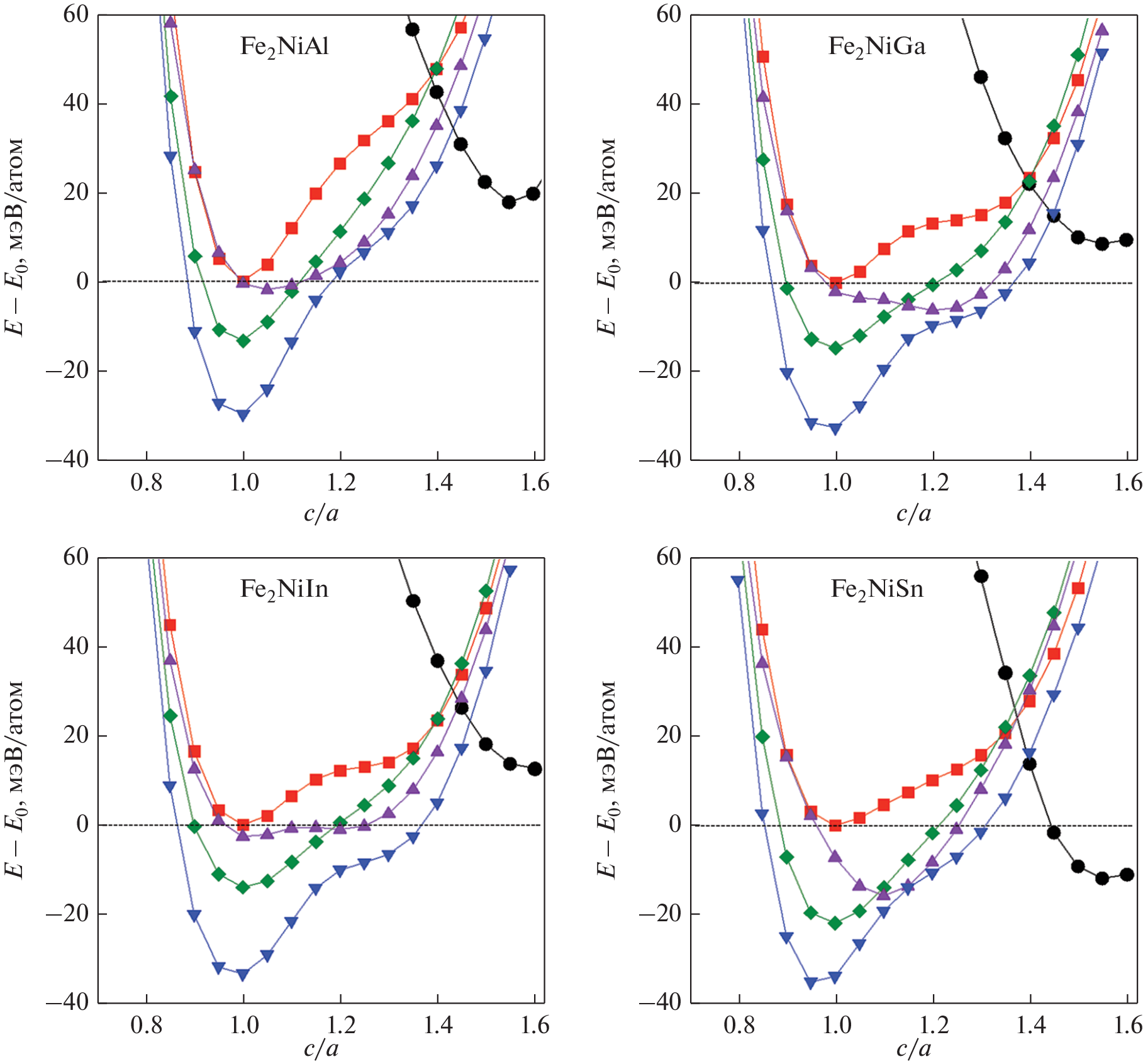
В рамках теории функционала плотности исследовано влияние атомных конфигураций на магнитные и структурные свойства сплавов Гейслера Fe2NiZ (Z = Al, Ga, In, Sn). Обсуждена конкуренция между пятью структурными мотивами кубической фазы, полученными путем перестановок атомов Fe и Ni. Предсказана новая структура кубической фазы с послойным атомным упорядочением атомов Fe и Ni в качестве основного состояния. Рассмотренные соединения в данной структуре обладают высокими значениями магнитокристаллической анизотропии, превосходящими в несколько раз значения для сплава FeNi с тетрагональной симметрией.
Ключевые слова
Об авторах
В. В. Соколовский
Челябинский государственный университет; НИТУ “МИСиС”
Email: vsokolovsky84@mail.ru
Россия, 454001, Челябинск, ул. Бр. Кашириных, 129; Россия, 119049, Москва, Ленинский просп. 4
О. Н. Мирошкина
Университет Дуйсбурга-Эссена
Email: vsokolovsky84@mail.ru
Германия, 47057, Дуйсбург, ул. Лотарштрассе, 1-21
В. Д. Бучельников
Челябинский государственный университет
Email: vsokolovsky84@mail.ru
Россия, 454001, Челябинск, ул. Бр. Кашириных, 129
М. Э. Грюнер
Университет Дуйсбурга-Эссена
Автор, ответственный за переписку.
Email: vsokolovsky84@mail.ru
Германия, 47057, Дуйсбург, ул. Лотарштрассе, 1-21
Список литературы
- Kuz’min M.D., Skokov K.P., Jian H., Radulov I., Gutfleisch O. Towards high-performance permanent magnets without rare earths // J. Phys. Condens. Matter. 2014. V. 26. № 6. P. 064205.
- McCallum R.W., Lewis L.H., Skomski R., Kramer M.J., Anderson I.E. Practical aspects of modern and future permanent magnets // Annu. Rev. Mater. Res. 2014. V. 44. P. 451–477.
- Niarchos D., Giannopoulos G., Gjoka M., Sarafidis C., Psycharis V., Rusz J., Edström A.A., Eriksson O., Toson P., Fidler J., Anagnostopoulou E., Sanyal U., Ott F., Lacroix L.M., Viau G., Bran C., Vazquez M., Reichel L., Schultz L., Fähler S. Toward rare-earth-free permanent magnets: a combinatorial approach exploiting the possibilities of modeling, shape anisotropy in elongated nanoparticles, and combinatorial thin-film approach // JOM. 2015. V. 67. № 6. P. 1318–1328.
- Hirosawa S. Current status of research and develop- ment toward permanent magnets free from critical elements // J. Magn. Soc. Jpn. 2015. V. 39. № 3. P. 85–95.
- Skomski R., Coey J.M.D. Magnetic anisotropy–How much is enough for a permanent magnet? // Scr. Mater. 2016. V. 112. P. 3–8.
- Li D., Pan D., Li S., Zhang Z. Recent developments of rare-earth-free hard-magnetic materials // Sci. China Phys. Mech. Astron. 2016. V. 59. № 1. P. 617501.
- Skokov K.P., Gutfleisch O. Heavy rare earth free, free rare earth and rare earth free magnets-Vision and reality // Scr. Mater. 2018. V. 154. P. 289–294.
- Edström A., Chico J., Jakobsson A., Bergman A., Rusz J. Electronic structure and magnetic properties of L10 binary alloys // Phys. Rev. B. 2014. V. 90 № 1. P. 014402.
- Werwin’ski M., Marciniak W. Ab initio study of magnetocrystalline anisotropy, magnetostriction, and Fermi surface of L10 FeNi (tetrataenite) // J. Phys. D: Appl. Phys. 2017. V. 50. № 49. P. 495008.
- Tian L.-Y., Levamäki H., Eriksson O., Kokko K., Nagy Á., D’elczeg-Czirjak E.K., Vitos L. Density Functional Theory description of the order-disorder transformation in Fe- Ni // Sci. Rep. 2019. V. 9. № 1. P. 1–7.
- Bhattacharjee S., Lee S.-C. First-principles study of the complex magnetism in Fe16N2 // Sci. Rep. 2019. V. 9. № 1. P. 1–9.
- Reichel L., Schultz L., Pohl D., Oswald S., Fahler S., Werwin’ski M., Edström A., Delczeg-Czirjak E.K., Rusz J. From soft to hard magnetic Fe–Co–B by spontaneous strain: a combined first principles and thin film study // J. Condens. Matter Phys. 2015. V. 27. № 47. P. 476002.
- Delczeg-Czirjak E.K., Edström A., Werwin’ski M., Rusz J., Skorodumova N.V., Vitos L., Eriksson O. Stabilization of the tetragonal distortion of FexCo1 – x alloys by C impurities: A potential new permanent magnet // Phys. Rev. B. 2014. V. 89. № 14. P. 144403.
- Werwin’ski M., Edström A., Rusz J., Hedlund D., Gunnarsson K., Svedlindh P., Cedervall J., Sahlberg M. Magnetocrystalline anisotropy of Fe5PB2 and its alloys with Co and 5d elements: A combined first-principles and experimental study // Phys. Rev. B. 2018. V. 98. № 21. P. 214431.
- Werwin’ski M., Kontos S., Gunnarsson K., Svedlindh P., Cedervall J., Höglin V., Sahlberg M., Edström A., Eriksson O., Rusz J. Magnetic properties of Fe5SiB2 and its alloys with P, S, and Co // Phys. Rev. B. 2016. V. 93. № 17. P. 174412.
- Edström A., Werwiński M., Iuşan D., Rusz J., Eriksson O., Skokov K.P., Radulov I.A., Ener S., Kuz’min M.D., Hong J. et al. Magnetic properties of (Fe1 – xCox)2B alloys and the effect of doping by 5d elements // Phys. Rev. B. 2015. V. 92. № 17. P. 174413.
- Herper H.C. Ni-based Heusler compounds: How to tune the magnetocrystalline anisotropy // Phys. Rev. B. 2018. V. 98. № 1. P. 014 411.
- Gao Q., Opahle I., Gutfleisch O., Zhang H. Designing rare-earth free permanent magnets in Heusler alloys via interstitial doping // Acta Mater. 2020. V. 186. P. 355–362.
- Matsushita Y.I., Madjarova G., Dewhurst J.K., Shallcross S., Felser C., Sharma S., Gross E.K.U. Large magnetocrystalline anisotropy in tetragonally distorted Heuslers: a systematic study // J. Phys. D: Appl. Phys. 2017. V. 50. № 9. P. 095002.
- Sokolovskiy V.V., Miroshkina O.N., Buchelnikov V.D., Gruner M.E. Impact of local arrangement of Fe and Ni on the phase stability and magnetocrystalline anisotropy in Fe–Ni–Al Heusler alloys // Phys. Rev. Mater. 2022. V. 6. № 2. P. 025402.
- Kresse G., Furthmüller J. Efficient iterative schemes for ab initio total-energy calculations using a plane- wave basis set // Phys. Rev. B. 1996. Oct. V. 54. P. 11 169–11 186.
- Kresse G., Joubert D. From ultrasoft pseudopotentials to the projector augmented-wave method // Phys. Rev. B. 1999. V. 59. P. 1758.
- Perdew J. P., Burke K., Ernzerhof M. Generalized Gradient Approximation Made Simple // Phys. Rev. Lett. 1996. V. 77. P. 3865.
- Neibecker P., Gruner M.E., Xu X., Kainuma R., Petry W., Pentcheva R., Leitner M. Ordering tendencies and electronic properties in quaternary Heusler derivatives // Phys. Rev. B. 2017. V. 96. № 16. P. 165131.
- Wu R., Freeman A.J. Spin-orbit induced magnetic phenomena in bulk metals and their surfaces and interfaces // J. Magn. Magn. Mater. 1999. V. 200. № 1. P. 498–514.
- Bruno P. Tight-binding approach to the orbital magnetic moment and magnetocrystalline anisotropy of transition-metal monolayers // Phys. Rev. B. 1989. V. 39. № 1. P. 865.
- Paulevé J., Chamberod A., Krebs K., Bourret A. Magnetization curves of Fe–Ni (50–50) single crystals ordered by neutron irradiation with an applied magnetic field // J. Appl. Phys. 1968. V. 39. № 2. P. 989–990.
- Poirier E., Pinkerton F.E., Kubic R., Mishra R.K., Bordeaux N., Mubarok A., Lewis L.H., Goldstein J.I., Skomski R., Barmak K. Intrinsic magnetic properties of L10 FeNi obtained from meteorite NWA 6259 // J. Appl. Phys. 2015. V. 117. № 17. P. 17E318.
- Lewis L.H., Pinkerton F.E., Bordeaux N., Mubarok A., Poirier E., Goldstein J.I., Skomski R., Barmak K. De Magnete et Meteorite: Cosmically Motivated Materials // IEEE Magn. Lett. 2014. V. 5. P. 1–4.
Дополнительные файлы










