The Reverse Proximity Effect in Superconductor–Ferromagnetic Insulator Heterostructures
- Authors: Seleznev D.V.1, Yagovtsev V.O.1, Pugach N.G.1, Turkin Y.V.1,2, Ekomasov E.G.3,4, L’vov B.G.1
-
Affiliations:
- National Research University Higher School of Economics
- Vernadsky Crimean Federal University
- Ufa University of Science and Technology
- Bashkir State Pedagogical University
- Issue: Vol 124, No 2 (2023)
- Pages: 196-203
- Section: ЭЛЕКТРИЧЕСКИЕ И МАГНИТНЫЕ СВОЙСТВА
- URL: https://journal-vniispk.ru/0015-3230/article/view/139416
- DOI: https://doi.org/10.31857/S0015323022601593
- EDN: https://elibrary.ru/KYXYRR
- ID: 139416
Cite item
Full Text
Abstract
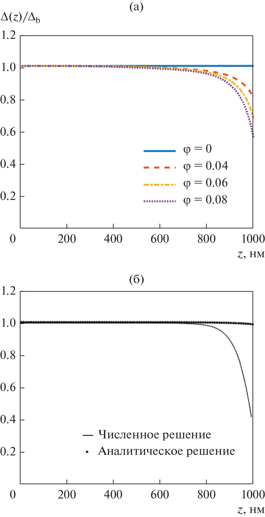
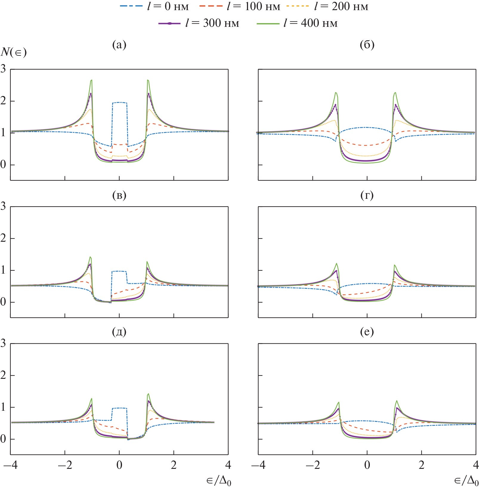
The magnetization induced in a superconductor due to the reverse proximity effect is studied in hybrid structures containing a superconductor and a ferromagnetic insulator. The study was carried out within the method of semiclassical Green’s functions, in which the Usadel equations are solved numerically with boundary conditions suitable for strongly spin-polarized ferromagnetic materials. The conversion of sin-glet superconducting correlations into triplet ones as a result of the proximity effect with a ferromagnet and its manifestation in the features of the electron density of states, induced magnetization, and suppression of the superconducting order parameter have been studied. It is shown that the magnetization can change sign inside the superconducting layer. The magnetization distribution is compared with the data obtained by the authors in previous works.
About the authors
D. V. Seleznev
National Research University Higher School of Economics
Email: selezmsu@ya.ru
Moscow, 101000 Russia
V. O. Yagovtsev
National Research University Higher School of Economics
Email: selezmsu@ya.ru
Moscow, 101000 Russia
N. G. Pugach
National Research University Higher School of Economics
Email: selezmsu@ya.ru
Moscow, 101000 Russia
Ya. V. Turkin
National Research University Higher School of Economics; Vernadsky Crimean Federal University
Email: selezmsu@ya.ru
Moscow, 101000 Russia; Simferopol, 295007 Russia
E. G. Ekomasov
Ufa University of Science and Technology; Bashkir State Pedagogical University
Email: selezmsu@ya.ru
Ufa, 450076 Russia; Ufa, 450008 Russia
B. G. L’vov
National Research University Higher School of Economics
Author for correspondence.
Email: selezmsu@ya.ru
Moscow, 101000 Russia
References
- Žutić I., Fabian J., Sarma S.D. Spintronics: Fundamentals and applications // Rev. Mod. Phys. 2004. V. 76. № 2. P. 323–410.
- Пугач Н.Г., Cафончик M.O., Хайм Д.М., Яговцев В.О. Сверхпроводящие спиновые вентили на основе спиральных магнетиков // ФТТ. 2018. Т. 60. № 11. С. 2196–2202.
- Gusev N.A., Dgheparov D.I., Pugach N.G., Belotelov V.I. Magnonic control of the superconducting spin valve by magnetization reorientation in a helimagnet // Appl. Phys. Lett. 2021. V. 118. № 23. P. 232601.
- Pugach N. G., Safonchik M., Champel T., Zhitomirsky M.E., Lähderanta E., Eschrig M., Lacroix C. Superconducting spin valves controlled by spiral re-orientation in B20-family magnets // Appl. Phys. Lett. 2017. V. 111. № 16. P. 162 601.
- Yagovtsev V.O., Gusev N.A., Pugach N.G., Eschrig M. The inverse proximity effect in strong ferromagnet–superconductor structures // Supercond. Sci. Tech. 2021. V. 34. № 2. P. 025003.
- Pugach N.G., Safonchik M.O., Belotelov V.I., Ziman T., Champel T. Superconducting spin valve under magnonic control // arXiv prep. 2021. arXiv:2110.00369.
- Linder J., Robinson J.W. Superconducting spintronics // Nat. Phys. 2015. V. 11. № 4. P. 307–315.
- Blamire M.G., Robinson J.W.A. The interface between superconductivity and magnetism: understanding and device prospects // J. Phys. Cond. Matt. 2014. V. 26. № 45. P. 453 201.
- Buzdin A.I. Proximity effects in superconductor-ferromagnet heterostructures // Rev. Mod. Phys. 2005. V. 77. № 3. P. 935–976.
- Eschrig M. Spin-polarized supercurrents for spintronics: a review of current progress // Rep. Prog. Phys. 2015. V. 78. № 10. P. 104501.
- Bergeret F.S., Volkov A.F., Efetov K.B. Odd triplet superconductivity and related phenomena in superconductor-ferromagnet structures // Rev. Mod. Phys. 2005. V. 77. № 4. P. 1321–1373.
- Heim D.M., Pugach N.G., Kupriyanov M.Y., Goldobin E., Koelle D., Kleiner R. Ferromagnetic planar Josephson junction with transparent interfaces: a φ junction proposal // J. Phys. Cond. Matt. 2013. V. 25. № 21. P. 215 701.
- Heim D.M., Pugach N.G., Kupriyanov M.Y., Goldobin E., Koelle D., Kleiner R., Ruppelt N., Weides M., Kohlstedt H. The effect of normal and insulating layers on 0-π transitions in Josephson junctions with a ferromagnetic barrier // New J. Phys. 2015. V. 17. № 11. P. 113022.
- Stoutimore M.J.A., Rossolenko A.N., Bolginov V.V., Oboznov V.A., Rusanov A.Y., Baranov D.S., Pugach N., Frolov S.M., Ryazanov V.V., Van Harlingen D.J. Second-harmonic current-phase relation in Josephson junctions with ferromagnetic barriers // Phys. Rev. Lett. 2018. V. 121. № 17. P. 177702.
- Pugach N.G., Kupriyanov M.Yu., Vedyayev A.V., Lacroix C., Goldobin E., Koelle D., Kleiner R., Sidorenko A.S. Ferromagnetic Josephson junctions with steplike interface transparency // Phys. Rev. B. 2009. V. 80. № 13. P. 134 516.
- Klenov N., Kornev V., Vedyayev A., Ryzhanova N., Pugach N., Rumyantseva T. Examination of logic operations with silent phase qubit // J. Phys. Conf. Ser. 2008. V. 97. № 1. P. 012037.
- Gaifullin R.R., Deminov R.G., Aliyev M.N., Tagirov L.R. Superconducting spin-valves in spintronics // Magn. Res. Sol. 2019. V. 21. № 3.
- Devizorova Z., Buzdin A. Superconductivity-driven helical magnetic structure in EuRbFe4As4 ferromagnetic superconductor // Phys. Rev. B. 2019. V. 100. № 10. P. 104 523.
- Leksin P.V., Kamashev A.A., Schumann J., Kataev V.E., Thomas J., Büchner B., Garifullin I.A. Boosting the superconducting spin valve effect in a metallic superconductor/ferromagnet heterostructure // Nano Res. 2016. V. 9. № 4. P. 1005–1011.
- Tokuyasu T., Sauls J.A., Rainer D. Proximity effect of a ferromagnetic insulator in contact with a superconductor // Phys. Rev. B. 1988. V. 38. № 13. P. 8823–8833.
- Fazio R., Lucheroni C. Local density of states in superconductor-ferromagnetic hybrid systems // EPL 1999. V. 45. № 6. P. 707–713.
- Bergeret F.S., Volkov A.F., Efetov K.B. Induced ferromagnetism due to superconductivity in superconductor-ferromagnet structures // Phys. Rev. B. 2004. V. 69. № 17. P. 174504.
- Champel T., Eschrig M. Effect of an inhomogeneous exchange field on the proximity effect in disordered superconductor-ferromagnet hybrid structures // Phys. Rev. B. 2005 V. 72. № 5. P. 054523.
- Linder J., Yokoyama T., Sudbø A. Theory of superconducting and magnetic proximity effect in S/F structures with inhomogeneous magnetization textures and spin-active interfaces // Phys. Rev. B. 2009. V. 79. № 5. P. 054 523.
- Bergeret F.S., Verso A., Volkov A.F. Spin-polarized Josephson and quasiparticle currents in superconducting spin-filter tunnel junctions // Phys. Rev. B. 2012. V. 86. № 6. P. 060506.
- Bergeret F.S., Verso A., Volkov A.F. Electronic transport through ferromagnetic and superconducting junctions with spin-filter tunneling barriers // Phys. Rev. B. 2012. V. 86. № 21. P. 214516.
- Pugach N.G., Buzdin A.I. Magnetic moment manipulation by triplet Josephson current // Appl. Phys. Lett. 2012. V. 101. № 24. P. 242602.
- Ouassou J.A., Pal A., Blamire M., Eschrig M., Linder J. Triplet Cooper pairs induced in diffusive s-wave superconductors interfaced with strongly spin-polarized magnetic insulators or half-metallic ferromagnets // Sci. Rep. 2017. V. 7. № 1. P. 1–16.
- Eschrig M., Cottet A., Belzig W., Linder J. General boundary conditions for quasiclassical theory of superconductivity in the diffusive limit: application to strongly spin-polarized systems // New J. Phys. 2015. V. 17. № 8. P. 083037.
- Kiwi M. Origin of the magnetic proximity effect // MRS Online Proc. Lib. 2002. 746.
- Giazotto F., Solinas P., Braggio A., Bergeret F. S. Ferromagnetic-insulator-based superconducting junctions as sensitive electron thermometers // Phys. Rev. App. 2015. V. 4. № 4. P. 044016.
- Pal A., Blamire M.G. Large interfacial exchange fields in a thick superconducting film coupled to a spin-filter tunnel barrier // Phys. Rev. B. 2015. V. 92. № 18. P. 180510.
- Li B., Roschewsky N., Assaf B.A., Eich M., Epstein–Martin M., Heiman D., Münzenberg M., Moodera J.S. Superconducting spin switch with infinite magnetoresistance induced by an internal exchange field // Phys. Rev. Lett. 2013. V. 110. № 9. P. 097001.
- Wolf M.J., Sürgers C., Fischer G., Beckmann D. Spin-polarized quasiparticle transport in exchange-split superconducting aluminum on europium sulfide // Phys. Rev. B. 2014. V. 90. № 14. P. 144509.
- Boden K.M., Pratt Jr. W.P., Birge N.O. Proximity-induced density-of-states oscillations in a superconductor/strong-ferromagnet system // Phys. Rev. B. 2011. V. 84. № 2. P. 020510.
- Knežević M., Trifunovic L., Radović Z. Signature of the long-range triplet proximity effect in the density of states // Phys. Rev. B. 2012. V. 85. № 9. P. 094517.
- Alidoust M., Halterman K., Valls O.T. Zero-energy peak and triplet correlations in nanoscale superconductor/ferromagnet/ferromagnet spin valves // Phys. Rev. B. 2015. V. 92. № 1. P. 014508.
- Яговцев В.О., Пугач Н.Г. Намагниченность, наведенная в сверхпроводнике из-за эффекта близости с ферромагнитным диэлектриком // ФММ. 2020. Т. 121. № 3. С. 277–282.
- Alexander J.A.X., Orlando T.P., Rainer D., Tedrow P.M. Theory of Fermi-liquid effects in high-field tunneling // Phys. Rev. B. 1985. V. 31. № 9. P. 5811–5825.
- Яговцев В.О., Пугач Н.Г., Екомасов Е.Г., Львов Б.Г. Намагниченность в бислоях сверхпроводник–ферромагнитный металл, вызванная обратным эффектом близости // ФММ. 2021. Т. 122. № 9. С. 908–916.
- Bakurskiy S.V., Neilo A.A., Klenov N.V., Soloviev I.I., Golubov A.A., Kupriyanov M.Y. Density of states and current–voltage characteristics in SIsFS junctions // Supercond. Sci. Tech. 2021. V. 34. № 8. P. З085007.
- Li B., Miao G.X. Moodera J.S. Observation of tunnel magnetoresistance in a superconducting junction with Zeeman-split energy bands // Phys. Rev. B. 2013. V. 8. № 16. P. 161 105.
Supplementary files







