Кристаллизация и распад соединений с кристаллической структурой ауривиллиуса в псевдобинарной метастабильной системе Bi2GeO5–Bi2SiO5
- Авторы: Бермешев Т.В.1, Подшибякина Е.Ю.1, Бундин М.П.1, Мазурова Е.В.2, Самойло А.С.1, Ясинский А.С.1,3, Юшкова О.В.1, Ворошилов Д.С.1, Беспалов В.М.1, Залога А.Н.1, Юрьев П.О.1
-
Учреждения:
- Сибирский федеральный университет
- Институт химии и химической технологии Сибирского отделения Российской академии наук
- IME, Institute for Process Metallurgy and Metal Recycling, RWTH Aachen University
- Выпуск: Том 124, № 2 (2023)
- Страницы: 214-225
- Раздел: СТРУКТУРА, ФАЗОВЫЕ ПРЕВРАЩЕНИЯ И ДИФФУЗИЯ
- URL: https://journal-vniispk.ru/0015-3230/article/view/139419
- DOI: https://doi.org/10.31857/S0015323022601258
- EDN: https://elibrary.ru/HKJPNJ
- ID: 139419
Цитировать
Полный текст
Аннотация
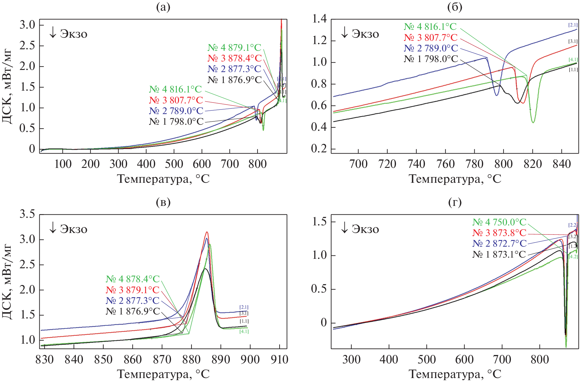
Изучена возможность частичного замещения Ge на Si в структуре Bi2GeO5 при синтезе его из расплава, а также влияние замещения на структуру синтезируемого материала. Исследована микроструктура синтезированных соединений после их полного распада. С помощью рентгенофазового анализа и оптической микроскопии установлено, что метастабильные силикат и германат висмута со структурой типа Ауривиллиуса образуют непрерывный ряд твердых растворов. Показано, что после распада соединений квазибинарной системы Bi2SiO5–Bi2GeO5, вне зависимости от процента замещения Ge на Si, получается смешанная структура, состоящая из крупных кристаллов Bi4Si(Ge)3O12 и точечной эвтектики Bi12Si(Ge)O20 + Bi4Si(Ge)3O12. При медленном нагреве до температур отжига (13.5°С/мин) будет формироваться более мелкодисперсная и однородная структура распада, чем при быстром нагреве (загрузка в уже заранее разогретую печь), при котором структура будет более крупнозернистой и неоднородной. При этом, когда содержание оксидов кремния и германия в сплаве близкое (20/30–30/20 мол. %), в материале могут возникать области с крупной, схожей с дендритной, структурой. Такие области мало отличаются по химическому составу от окружающего их материала и проявляются как при медленном, так и при быстром нагреве материала до температур отжига.
Ключевые слова
Об авторах
Т. В. Бермешев
Сибирский федеральный университет
Email: irbis_btv@mail.ru
Россия, 660041, Красноярск, просп. Свободный, 79
Е. Ю. Подшибякина
Сибирский федеральный университет
Email: irbis_btv@mail.ru
Россия, 660041, Красноярск, просп. Свободный, 79
М. П. Бундин
Сибирский федеральный университет
Email: irbis_btv@mail.ru
Россия, 660041, Красноярск, просп. Свободный, 79
Е. В. Мазурова
Институт химии и химической технологии Сибирского отделения Российской академии наук
Email: irbis_btv@mail.ru
Россия, 660036, Красноярск, Академгородок, 50, стр. 24
А. С. Самойло
Сибирский федеральный университет
Email: irbis_btv@mail.ru
Россия, 660041, Красноярск, просп. Свободный, 79
А. С. Ясинский
Сибирский федеральный университет; IME, Institute for Process Metallurgy and Metal Recycling, RWTH Aachen University
Email: irbis_btv@mail.ru
Россия, 660041, Красноярск, просп. Свободный, 79; Intzestraße, 3, 52056, Aachen
О. В. Юшкова
Сибирский федеральный университет
Email: irbis_btv@mail.ru
Россия, 660041, Красноярск, просп. Свободный, 79
Д. С. Ворошилов
Сибирский федеральный университет
Email: irbis_btv@mail.ru
Россия, 660041, Красноярск, просп. Свободный, 79
В. М. Беспалов
Сибирский федеральный университет
Email: irbis_btv@mail.ru
Россия, 660041, Красноярск, просп. Свободный, 79
А. Н. Залога
Сибирский федеральный университет
Email: irbis_btv@mail.ru
Россия, 660041, Красноярск, просп. Свободный, 79
П. О. Юрьев
Сибирский федеральный университет
Автор, ответственный за переписку.
Email: irbis_btv@mail.ru
Россия, 660041, Красноярск, просп. Свободный, 79
Список литературы
- Aurivillius B., Lindblom C.J., Stenson P. The crystal structure of Bi2GeO5 // Acta Chem. Scand. 1964. V. 8. № 6. P. 1555–1557.
- Фирсов А.В., Скороходов Н.Е., Астафьев А.В., Буш А.А., Стефанович С.Ю., Веневцев Ю.Н. Выращивание и некоторые свойства монокристаллов Bi2GeO5 и Bi2SiO5 // Кристаллография. 1984. Т. 29. № 3. С. 509–517.
- Venevtsev Yu.N., Bush A.A., Politova E.D., Stefanovich S.Yu., Firsov A.V., Danilenko I.N., Kosse L.I., Astaf’iev A.V., Skorohodov N.E., Schashkov A.Yu., Medvedev B.S., Mirkin A.E., Reiman S.I., Rannev N.V., Efremov V.A., Trunov V.K. New Ferroelectric Oxides: Synthesis, Crystal Structures, Phase Transitions and Properties // Ferroelectrics. 1985. V. 63. P. 217–226.
- Bush A.A., Koshelayeva V.G., Venevtsev Y.N. Crystals of the Bi2GeO5–Bi4V2O11 System // Jpn. J. Appl. Phys. 1985. V. 24. № 24-2. P. 625–627.
- Харитонова Е.П., Воронкова В.И. Синтез и электрические свойства твердых растворов Bi2V1–xGexO5 + y // Неорган. материалы. 2007. Т. 43. № 1. С. 60–65.
- Жереб В.П. Метастабильные состояния в оксидных висмутсодержащих системах. М.: МАКС Пресс, 2003. 162 с.
- Panyata S., Eitssayeam S., Rujijanagul G., Tunkasiri T., Munpakdee A., Pengpat K. Electrical properties of bismuth germanate (Bi2GeO5) ferroelectric glass-ceramics prepared by two different methods // J. Integrated Ferroelectrics. 2019. V. 195. P. 187–195.
- Liu W., Jin R., Hu L., Zhong H., Ren L., Hu1 S. Facile fabrication of Ag–Bi2GeO5 microflowers and the high photodegradable performance on RhB // J. Mater. Sci.: Materials in Electronics. 2019. V. 30. P. 10912–10922.
- Li X., Zhang W., Cui W., Li J., Sun Y., Jiang G., Huang H., Zhang Y., Dong F. Reactant activation and photocatalysis mechanisms on Bi-metal@Bi2GeO5 with oxygen vacancies: A combined experimental and theoretical investigation // Chemic. Eng. J. 2019. V. 370. P. 1366–1375.
- Dou L., Xiang Y., Zhong J., Li J., Huang S. Ionic liquid-assisted preparation of thin Bi2SiO5 nanosheets for effective photocatalytic degradation of RhB // Mater. Letters. 2020. V. 261. P. 127117.
- Feng X., Qi X., Li J., Yang L., Qiu M., Yin J., Lu F., Zhong J. Preparation, structure and photo-catalytic performances of hybrid Bi2SiO5 modified Si nanowire arrays // Appl. Surface Sci. 2011. V. 257. P. 5571–5575.
- Dou L., Jin X., Chen J., Zhong J., Li J., Zeng Y., Duan R. One-pot solvothermal fabrication of S-scheme OVs-Bi2O3/Bi2SiO5 microsphere heterojunctions with enhanced photocatalytic performance toward decontamination of organic pollutants // Applied Surface Science. 2020 V. 527. P. 146775.
- Zou C., Liang M., Yang Z., Zhou X., Yang Y., Yang S. Flower-like Bi2SiO5/Bi4MoO9 heterostructures for enhanced photocatalytic degradation of ciprofloxacin // Nanotechnology. 2020. V. 31. P. 345604.
- Guan X., Zhang X., Zhang C., Li R., Wang Y., Fan C. One-step synthesis of novel Bi/Bi2SiO5 flower-like composites with highly-efficient CO2 photoreduction performance // Comp. Comm. 2020. V. 20. P. 100366.
- Tanimu G., Aitani A.M., Asaoka S., Alasiri H. Oxidative dehydrogenation of n-butane to butadiene catalyzed by new mesoporous mixed oxides NiO-(beta-Bi2O3)-Bi2SiO5/SBA-15 system // Molecular Catalysis. 2020. V. 488. P. 110893.
- Hala R. Mahmoud. Eu3+ ions doped Bi2SiO5 as a novel solid acid catalyst for methyl oleate production: Ultrasonic hydrothermal synthesis, characterization, catalytic activity and kinetics // Fuel. 2020. V. 280. P. 118 596.
- Cheng G., Xiong J., Yang H., Lu Z., Chen R. Facile solvothermal synthesis of uniform sponge-like Bi2SiO5 hierarchical nanostructure and its application in Cr(VI) removal // Mater. Letters. 2012. V. 77. P. 25–28.
- Back M., Casagrande E., Brondin C.A., Ambrosi E., Cristofori D., Ueda J., Tanabe S., Trave E., Riello P. Lanthanide-Doped Bi2SiO5@SiO2 Core–Shell Upconverting Nanoparticles for Stable Ratiometric Optical Thermometry // ACS Appl. Nano Mater. 2020. V. 3. № 3. P. 2594–2604.
- Yamaguchi M., Hiraki K., Nagatomo T., Masuda Y. Preparation and Properties of Bi2SiO5/Si Structures // Jpn. J. Appl. Phys. 2000. V. 39. P. 5512–5516.
- Haldar T., Kumar U., Yadav B.C., Ravi Kanth Kumar V.V. Effect of direct–current biasing on the adjustable radio-frequency negative permittivity characteristics of Bi2SiO5/multiwall carbon nanotube metacomposites // Ceramics International. 2021. V. 47. P. 1389–1398.
- Ke Y., Huang W., Thatikonda S.K., Chen R., Yao C., Qin N., Bao D. Highly frequency-, temperature-, and bias-stable dielectric properties of 500°C processed Bi2SiO5 thin films with low dielectric loss // Current Appl. Phys. 2020. V. 20. P. 751–754.
- Жереб В.П., Бермешев Т.В., Каргин Ю.Ф., Мазурова Е.В., Денисов В.М. Фазовый состав и микроструктура продуктов кристаллизации расплава Bi2O3∙GeO2 при различных условиях охлаждения // Неорганич. материалы. 2019. Т. 55. № 7. С. 782–797. (Zhereb V.P., Bermeshev T.V., Kargin Yu.F., Mazurova E.V., Denisov V.M. Phase Composition and Microstructure of Crystallization Products of Molten Bi2O3∙GeO2 under Various Cooling Conditions // Inorganic Mater. 2019. V. 55. Р. 737–747).
- Бермешев Т.В., Жереб В.П., Тас-Оол Р.Н., Мазурова Е.В., Метелица С.И. Расслаивание в системе Bi2O3–SiO2. Влияние условий охлаждения расплава на фазовый состав и микроструктуру продуктов затвердевания // Изв. РАН. Сер. химическая. 2021. № 8. С. 1462–1470. (Bermeshev T.V., Zhereb V.P., Tas-Ool R.N., Mazurova E.V., Metelitsa S.I. Phase separation in the Bi2O3–SiO2 system. Effect of cooling conditions on the phase composition and microstructure of solidifi cation products // Russian Chemical Bulletin, International Edition. 2021. V. 70. № 8. Р. 1462–1470).
- Бермешев Т.В., Жереб В.П., Бундин М.П., Юшкова О.В., Ясинский А.С., Ворошилов Д.С., Беспалов В.М., Залога А.Н., Подшибякина Е.Ю., Якивьюк О.В., Мазурова Е.В. Особенности затвердевания расплава 2Bi2O3·3GeO2 при различных условиях охлаждения // Неорганич. материалы. 2022. Т. 58. № 4. С. 451–463. (Bermeshev T.V., Zhereb V.P., Bundin M.P., Yushkova O.V., Yasinsky A.S., Voroshilov D.S., Bespalov V.M., Zaloga A.N., Podshibyakina E.Yu., Yakivyuk O.V., Mazurova E.V. Features of Solidification of the 2Bi2O3·3GeO2 Melt under Different Cooling Conditions // Inorganic Materials. 2022. V. 58. № 4. Р. 433–445).
- Бермешев Т.В., Жереб В.П., Губанов И.Ю., Набиулин А.Б., Ченцов В.П., Рябов В.В., Ясинский А.С., Мердак Н.В., Юшкова О.В., Бундин М.П., Беспалов В.М., Мазурова Е.В., Ворошилов Д.С., Подшибякина Е.Ю. Моделирование условий охлаждения германата висмута Bi2GeO5 // Письма в ЖТФ. 2021. Т. 47. № 15. Р. 27–30. (Bermeshev T.V., Zhereb V.P., Gubanov I.Yu., Nabiulin A.B., Chentsov V.P., Ryabov V.V., Yasinskii A.S., Merdak N.V., Yushkova O.V., Bundin M.P., Bespalov V.M., Mazurova E.V., Voroshilov D.S., Podshibyakina E.Yu. Simulating the Conditions for Cooling Bismuth Germanate Bi2GeO5 // Techn. Phys. Letters. 2021. V. 47. № 8. Р. 765–768).
- Bermeshev T.V., Zhereb V.P., Bazhutov M. Synthesis of metastable bismuth germanates and bismuth silicates and their solid solutions // EICC-5 5th Euchems Inorganic Chemistry conference. Moscow. Russia. 24–28 June 2019. Book of Abstracts. Posters – P15. P. 201.
- Бермешев Т.В., Тас-оол Р.Н. Метастабильное равновесие в системе Bi2GeO5–Bi2SiO5 // Проспект Свободный-2016: материалы науч. конф., посвященной Году образования в Содружестве Независимых Государств (15–25 апреля 2016 г.) [Электронный ресурс] отв. ред. А.Н. Тамаровская. Красноярск: Сиб. федер. унт., 2016. С. 11–12.
Дополнительные файлы













