The Electronic Structure and Optical Spectroscopy of ErNi2Mnx Compounds
- Authors: Knyazev Y.V.1, Lukoyanov A.V.1,2, Kuz’min Y.I.1, Gerasimov E.G.1,2, Mushnikov N.V.1,2
-
Affiliations:
- Mikheev Institute of Metal Physics, Ural Branch, Russian Academy of Sciences
- Ural Federal University
- Issue: Vol 124, No 5 (2023)
- Pages: 363-368
- Section: ЭЛЕКТРИЧЕСКИЕ И МАГНИТНЫЕ СВОЙСТВА
- URL: https://journal-vniispk.ru/0015-3230/article/view/139434
- DOI: https://doi.org/10.31857/S0015323023600351
- EDN: https://elibrary.ru/OLQYNU
- ID: 139434
Cite item
Full Text
Abstract
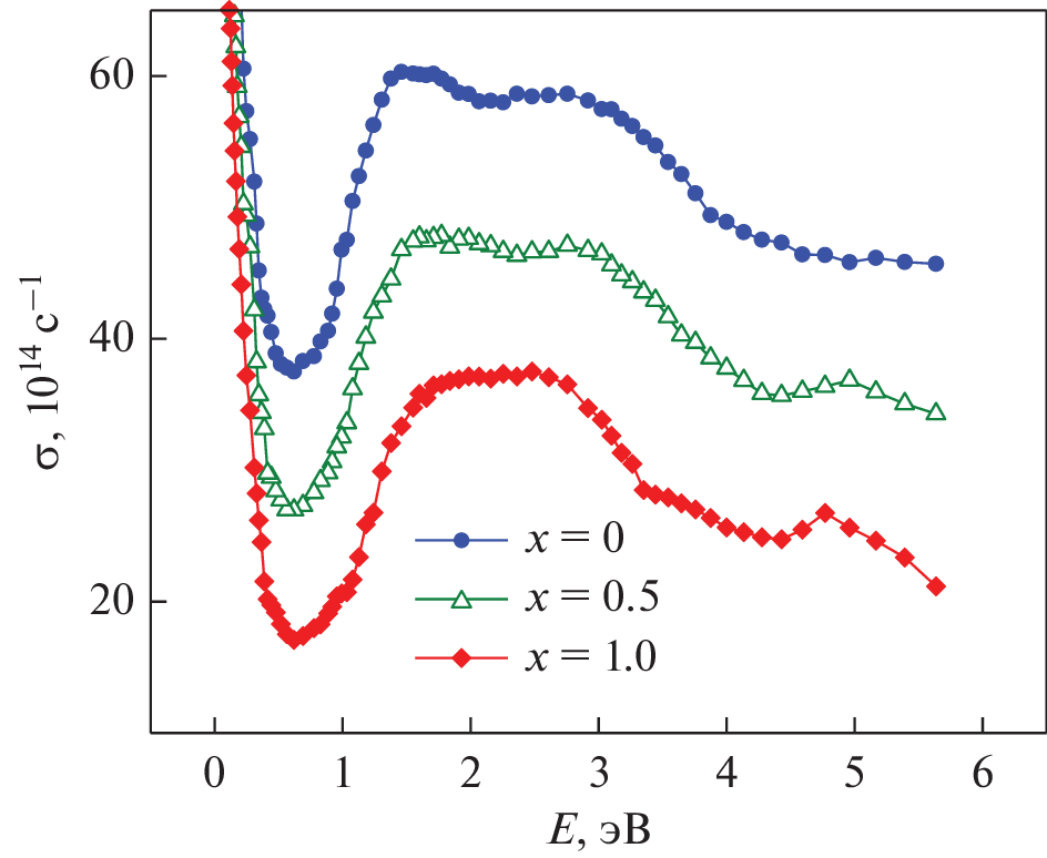
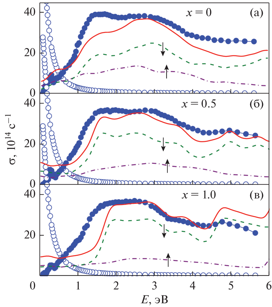
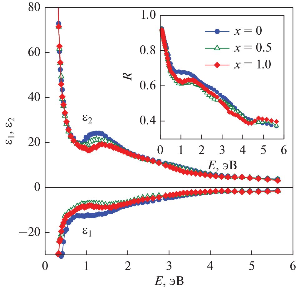
The electronic structure and optical properties of nonstoichiometric ErNi2Mnx compounds (with х = 0, 0.5, 1) have been studied. Spin-polarization calculations of the total and partial densities of electron states have been performed in terms of DFT + U method with a correction for strong electronic correlations in the 4f shell of Er in the approximation of ErNi2 – xMnx solid-solution. The peculiarities of transformations of the densities of electron states Have been determined depending on the manganese content. The optical properties of these compounds have been studied over a wide wave length range. The calculated interband optical conductivity spectra have been compared with the dependences obtained experimentally. The origin of the quantum absorption of light is discussed. The plasma and relaxation frequencies of current carriers have been determined.
About the authors
Yu. V. Knyazev
Mikheev Institute of Metal Physics, Ural Branch, Russian Academy of Sciences
Email: knyazev@imp.uran.ru
Ekaterinburg, 620108 Russia
A. V. Lukoyanov
Mikheev Institute of Metal Physics, Ural Branch, Russian Academy of Sciences; Ural Federal University
Email: knyazev@imp.uran.ru
Ekaterinburg, 620108 Russia; Ekaterinburg, 620002 Russia
Yu. I. Kuz’min
Mikheev Institute of Metal Physics, Ural Branch, Russian Academy of Sciences
Email: knyazev@imp.uran.ru
Ekaterinburg, 620108 Russia
E. G. Gerasimov
Mikheev Institute of Metal Physics, Ural Branch, Russian Academy of Sciences; Ural Federal University
Email: knyazev@imp.uran.ru
Ekaterinburg, 620108 Russia; Ekaterinburg, 620002 Russia
N. V. Mushnikov
Mikheev Institute of Metal Physics, Ural Branch, Russian Academy of Sciences; Ural Federal University
Author for correspondence.
Email: knyazev@imp.uran.ru
Ekaterinburg, 620108 Russia; Ekaterinburg, 620002 Russia
References
- Gschneidner Jr. K.A., Pecharsky V.K., Tsokol A.O. Recent developments in magnetocaloric materials // Rep. Progr. Phys. 2005. V. 68. № 6. P. 1479–1539.
- Singh N.K., Suresh K.G., Nigam A.K., Malik S.K., Coelho A.A., Gama S. Itinerant electron metamagnetism and magnetocaloric effect in RCo2-based Laves phase compounds // J. Magn. Magn. Mater. 2007. V. 317. № 1–2. P. 68–79.
- Franco V., Blazquez J.S., Ipus J.J, Law J.Y., Moreno-Ramirez L.M., Conde A. Magnetocaloric effect: From materials research to refrigeration devices // Prog. Mater. Sci. 2018. V. 93. P. 112–232.
- Singh N.K., Agarwal S., Suresh K.G., Nirmala R., Nigam A.K., Malik S.K. Anomalous magnetocaloric effect and magnetoresistance in Ho(Ni,Fe)2 compounds // Phys. Rev. B. 2005. V. 72. № 1. P. 014452.
- de Souza M.V. Investigation on the magnetocaloric effect in RNi2 (R: Dy, Tb) melt-spun ribbon // J. Magn. Magn. Mater. 2016. V. 412. P. 11–14.
- von Ranke P.J., Nobrega E.P., de Oliveira I.G., Gomes A.M., Sarthour R.S. Influence of the crystalline electrical field on the magnetocaloric effect in the series RNi2 (R = Pr, Nd, Gd, Tb, Ho, Er). Phys. Rev. B. 2001. V. 63. № 18. P. 184 406.
- Pawar H., Aynyas M., Sanyal S.P. Thermoelectric properties of rare-earth based RENi2 (RE = Dy, Ho and Er) Laves phase compounds // J. Magn. Magn. Mater. 2018. V. 468. P. 123–131.
- Ćwik J., Koshkid’ko Y., Nenkov K., Tereshina E.A., Rogacki K. Structural, magnetic and magnetocaloric properties of HoNi2 and ErNi2 compounds ordered at low temperatures // J. Alloys. Compds. 2018. V. 735. P. 1088–1095.
- Plaza E.J.R., de Sousa V.S.R., Reis M.S., von Ranke P.J. A comparative study of the magnetocaloric effect in RNi2 (R = Dy, Ho, Er) intermetallic compounds // J. Alloys Compd. 2010. V. 505. № 1. P. 357–361.
- Balinski K., Kuznetsova T.V., Gerasimov E.G., Protasov A.V., Marchenkov V.V., Mushnikov N.V., Galakhov V.R., Mesilov V.V., Shamin S.N., Gaviko V.S., Senkovskiy B.V., Fijałkowski M., Schneider L., Ślebarski A., Chrobak A., Kuepper K. Electrical resistivity, magnetism and electronic structure of the intermetallic 3d/4f Laves phase compounds ErNi2Mnx // AIP Advances 2018. V. 8. № 1. P. 105225.
- Mushnikov N.V., Gerasimov E.G., Terent’ev P.B., Gaviko V.S., Inishev A.A. Magnetic Properties of Nonstoichiometric 4f–3d Intermetallics // Phys. Met. Metallogr. 2019. V. 120. № 13. P. 1347–1353.
- Zhang Q.A., Dong Z.Q., Xie S.C. Crystal structures and hydrogenation-dehydrogenation characteristics of Er(Ni1 – xMnx)2 // J. Alloys Compd. 2015. V. 626. P. 189–193.
- Wang J.L., Marquina C., Ibarra M.R., Wu G.H. Structure and magnetic properties of RNi2Mn compounds (R = Tb, Dy, Ho and Er) // Phys. Rev. B 2006. V. 73. № 9. P. 094436.
- Wang J.L., Campbell S.J., Zeng R., Dou S.X., Kennedy S.J. Magnetic phase transition and Mössbauer spectroscopy of ErNi2Mnx compounds // J. Appl. Phys. 2011. V. 109. № 7. P. 07E304.
- Инишев А.А., Герасимов Е.Г., Терентьев П.Б., Гавико В.С., Мушников Н.В. Магнитокалорический эффект в нестехиометрических соединениях ErM2Mnx (M = Ni, Co, Fe) // ФММ. 2022. Т. 123. № 9. С. 929–934.
- Pawar H., Shugani M., Aynyas M., Sanyal S.P. Localization effect of f-electron of heavier rare-earth atoms in RENi2 (RE = Dy, Ho and Er) Laves phase compounds // Comp. Condens. Matter 2018. V. 16. P. e00316.
- Giannozzi P., Andreussi O., Brumme T., Bunau O., Nardelli M.B., Calandra M., Car R., Cavazzoni C., Ceresoli D., Cococcioni M., Colonna N., Carnimeo I., Dal Corso A., de Gironcoli S., Delugas P., DiStasio Jr. R.A., Ferretti A., Floris A., Fratesi G., Fugallo G., Gebauer R., Gerstmann U., Giustino F., Gorni T., Jia J., Kawamura M., Ko H.-Y., Kokalj A., Küçükbenli E., Lazzeri M., Marsili M., Marzari N., Mauri F., Nguyen N.L., Nguyen H.-V., Otero-de-la-Roza A., Paulatto L., Poncé S., Rocca D., Sabatini R., Santra B., Schlipf M., Seitsonen A.P, Smogunov A., Timrov I., Thonhauser T., Umari P., Vast N., Wu X., Baroni S. Advanced capabilities for materials modelling with Quantum ESPRESSO // J. Phys.: Condens. Matter. 2017. V. 29. № 46. P. 465901.
- Perdew J.P., Burke K., Ernzerhof M. Generalized gradient approximation made simple // Phys. Rev. Lett. 1996. V. 77. № 18. P. 3865–3868.
- Anisimov V.I., Aryasetiawan F., Lichtenstein A.I. First-principles calculations of the electronic structure and spectra of strongly correlated systems: the LDA + U // J. Phys.: Condens. Matter. 1997. V. 9. № 4. P. 767–808.
- Князев Ю.В., Лукоянов А.В., Кузьмин Ю.И., Мухачев Р.Д., Гупта С., Суреш К.Г. Электронные состояния и оптические спектры соединений ErSn1.1Ge0.9 и TmSn1.1Ge0.9 // ФММ. 2020. Т. 121. № 6. С. 594–600.
- Topsakal M., Wentzcovitch R.M. Accurate projected augmented wave (PAW) datasets for rare-earth elements (RE = La–Lu) // Comput. Mater. Sci. 2014. V. 95. P. 263–270.
- Носков М.М. Оптические свойства металлов. Свердловск: УНЦ АН СССР, 1983. 220 с.
- Knyazev Yu.V., Lukoyanov A.V., Kuz’min Yu.I., Kuchin A.G., Nekrasov I.A. Electronic structure, magnetic and optical properties of the intermetallic compounds R2Fe17 (R = Pr, Gd) // Phys. Rev. B. 2006. V. 73. № 9. P. 094410.
Supplementary files





