The Effect of Magnetization Reversal Frequency on the Dynamic Magnetic Hysteresis of a Plate Made of Electrical Stee
- Authors: Mironyuk N.E.1, Samatov M.V.1
-
Affiliations:
- Mikheev Institute of Metal Physics, Ural Branch, Russian Academy of Sciences
- Issue: Vol 124, No 5 (2023)
- Pages: 369-376
- Section: ЭЛЕКТРИЧЕСКИЕ И МАГНИТНЫЕ СВОЙСТВА
- URL: https://journal-vniispk.ru/0015-3230/article/view/139437
- DOI: https://doi.org/10.31857/S0015323023600041
- EDN: https://elibrary.ru/OKQHKP
- ID: 139437
Cite item
Full Text
Abstract
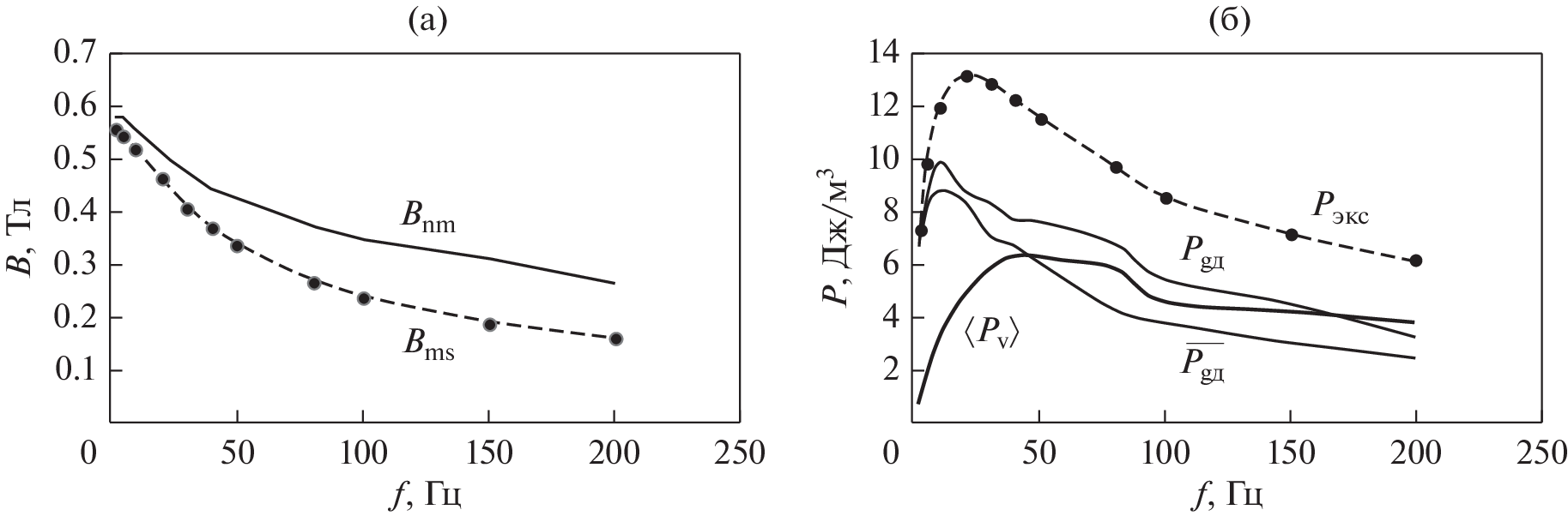
Electrodynamic, quasi-static magnetic hysteresis loops and the form of the domain texture of a single-crystal plate have been experimentally obtained. Using mathematical modeling, the change in the dynamic magnetic hysteresis (the magnetic loss energy per unit volume per magnetization reversal cycle) depending on the frequency of the magnetic field is shown. This dependence is due to the inertia of the magnetization of the sample. With a change in frequency, the dynamic magnetic hysteresis can differ significantly from the hysteresis in the case of quasi-static magnetization reversal.
About the authors
N. E. Mironyuk
Mikheev Institute of Metal Physics, Ural Branch, Russian Academy of Sciences
Email: mironujk48@yandex.ru
Ekaterinburg, 620108 Russia
M. V. Samatov
Mikheev Institute of Metal Physics, Ural Branch, Russian Academy of Sciences
Author for correspondence.
Email: mironujk48@yandex.ru
Ekaterinburg, 620108 Russia
References
- Жаков С.В., Филиппов Б.Н. К теории электромагнитных потерь в монокристаллических ферромагнитных листах при наличии в них доменных структур // ФММ. 1974. Т. 38. Вып. 3. С. 471–478.
- Драгошанский Ю.Н., Зайкова В.А., Тиунов В.Ф. Влияние изгиба 180° доменных границ на электромагнитные потери в монокристаллах кремнистого железа // ФММ. 1975. Т. 39. Вып. 3. С. 519–523.
- Жаков С.В., Тиунов В.Ф., Филиппов Б.Н., Зайкова В.А., Драгошанский Ю.Н. О влиянии изгиба 180° доменных границ на мощность электромагнитных потерь в сплаве Fe–3% Si // ФММ. 1977. Т. 44. Вып. 5. С. 1185–1190.
- Зайкова В.А., Старцева И.Е., Филиппов Б.Н. Доменная структура и магнитные свойства электротехнических сталей. М.: Наука, 1992. 270 с.
- Бозорт Р. Ферромагнетизм. М.: Иностранная литература, 1956. 784 с.
- Вонсовский С.В. Магнетизм. М.: Наука, 1971. 1032 с.
- Сивенцев А.А., Кадочников А.И., Леонов В.В. Динамическое перемагничивание магнитномягких материалов и доменная структура // ФММ. 1974. Т. 38. Вып. 3. С. 529–535.
- Дунаев Ф.Н. Магнитная текстура и процессы перемагничивания ферромагнетиков. Свердловск: Изд-во Урал. гос. ун-та,1978. 109 с.
- Кадочников А.И. Динамические петли магнитного гистерезиса. Екатеринбург: Изд-во УрО РАН, 2007. 287 с.
- Чечерников В.И. Магнитные измерения. М.: Изд-во Московского ун-та, 1969. 387 с.
- Скулкина Н.А. Распределение намагниченности и магнитные свойства кристаллических, аморфных и нанокристаллических магнитных материалов. Екатеринбург. Дис. на соискание уч. степени д. ф. м. н. 2008. 372 с.
- Вонсовский С.В., Шур Я.С. Ферромагнетизм. М.–Л.: ОГИЗ, 1948. 816 с.
- Кадочников А.И., Миронюк Н.Е. Область применимости формул Релея и преобразований Кондорского для описания петель гистерезиса электротехнических сталей // Электротехника. 1982. № 9. С. 14–16.
- Шур Я.С., Хан Е.Б., Зайкова В.А. Доменная структура монокристаллов кремнистого железа в переменных магнитных полях // ФММ. 1971. Т. 31. Вып. 2. С. 286–293.
Supplementary files







