The Electronic Structure, Thermoelectric, Optical Properties of Heusler Alloys Mn2MeAl (Me = Ti, V, Cr)
- Authors: Shreder E.I.1, Filanovich A.N.1,2, Chernov E.D.1, Lukoyanov A.V.1,2, Marchenkov V.V.1,2, Stashkova L.A.1
-
Affiliations:
- Mikheev Institute of Metal Physics, Ural Branch, Russian Academy of Sciences
- Ural Federal University
- Issue: Vol 124, No 7 (2023)
- Pages: 608-615
- Section: ЭЛЕКТРИЧЕСКИЕ И МАГНИТНЫЕ СВОЙСТВА
- URL: https://journal-vniispk.ru/0015-3230/article/view/139438
- DOI: https://doi.org/10.31857/S0015323023600624
- EDN: https://elibrary.ru/DKHQFZ
- ID: 139438
Cite item
Full Text
Abstract
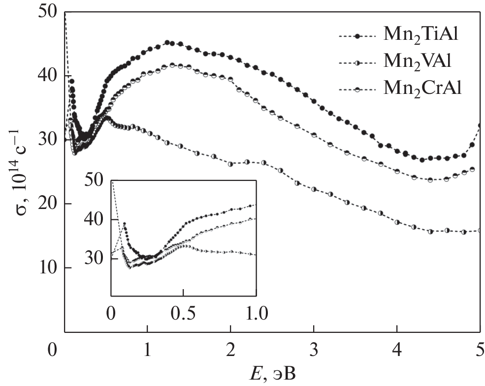
The results of calculations of the electronic structure, thermoelectric characteristics, and an experimental study of the thermoelectric, electrical, and optical properties of Mn2MeAl Heusler alloys (Me = Ti, V, Cr) are presented. The agreement between theory and experiment in the sign of the Seebeck coefficient is shown. The obtained pattern of the band spectrum allows us to qualitatively explain the peculiarities of the temperature dependences of the electrical resistance and the permittivity dispersion.
About the authors
E. I. Shreder
Mikheev Institute of Metal Physics, Ural Branch, Russian Academy of Sciences
Email: shreder@imp.uran.ru
Ekaterinburg, 620108 Russia
A. N. Filanovich
Mikheev Institute of Metal Physics, Ural Branch, Russian Academy of Sciences; Ural Federal University
Email: shreder@imp.uran.ru
Ekaterinburg, 620108 Russia; Ekaterinburg, 620002 Russia
E. D. Chernov
Mikheev Institute of Metal Physics, Ural Branch, Russian Academy of Sciences
Email: shreder@imp.uran.ru
Ekaterinburg, 620108 Russia
A. V. Lukoyanov
Mikheev Institute of Metal Physics, Ural Branch, Russian Academy of Sciences; Ural Federal University
Email: shreder@imp.uran.ru
Ekaterinburg, 620108 Russia; Ekaterinburg, 620002 Russia
V. V. Marchenkov
Mikheev Institute of Metal Physics, Ural Branch, Russian Academy of Sciences; Ural Federal University
Email: shreder@imp.uran.ru
Ekaterinburg, 620108 Russia; Ekaterinburg, 620002 Russia
L. A. Stashkova
Mikheev Institute of Metal Physics, Ural Branch, Russian Academy of Sciences
Author for correspondence.
Email: shreder@imp.uran.ru
Ekaterinburg, 620108 Russia
References
- Марченков В.В., Ирхин В.Ю. Полуметаллические ферромагнетики, спиновые бесщелевые полупроводники и топологические полуметаллы на основе сплавов Гейслера: теория и эксперимент // ФММ. 2021. Т. 122. № 12. С. 1221–1246.
- Lue C.S., Kuo Y.-K. Thermoelectric properties of the semimetallic Heusler compounds Fe2 – xV1 + xM (M = = Al, Ga) // Phys. Rev. B. 2002. V. 66. P. 085121 (4).
- Hayashi K., Li H., Eguchi M., Nagashima Y., Miyazaki Y. Magnetic Full-Heusler Compounds for Thermoelectric Applications // Magn. Mater. Magn. Levitation (ed. D.R. Sahu and V.N. Stavrou). https://doi.org/10.5772/intechopen.92867
- Hayashi K., Eguchi M., Miyazaki Y. Structural and Thermoelectric Properties of Ternary Full-Heusler Alloys // J. Electronic Mater. 2017. V. 46. P. 2710.
- Li H., Hayashi K., Nagashima Y., Yoshioka S., Dong J., Li J-F., Miyazaki Y. Effects of Disorder on the Electronic Structure and Thermoelectric Properties of an Inverse Full-Heusler Mn2CoAl Alloy // Chem. Mater. 2021. V. 33. P. 2543–2547.
- Jum’h I., Sâad Essaoud S., Baaziz H., Charifi Z., Telfah A. Electronic and Magnetic Structure and Elastic and Thermal Properties of Mn2-Based Full Heusler Alloys // J. of Supercond. Novel Magn. 2019. V. 32. P. 3915–3926.
- Korobeynikov I.V., Usik A.Yu., Govorkova T.E., Emelyanova S.M., Marchenkov V.V. Nonstoichiometric Fe–V–Al full Heusler alloys under high pressure: thermoelectric properties: High Pressure Research // High Pressure Research. 2021. V. 41. P. 184–197.
- Gavrikov I., Seredina M., Zheleznyy M., Shchetinin I., Karpenkov D., Bogach A., Chatterjee R., Khovaylo V. Magnetic and transport properties of Mn2FeAl // JMMM. 2019. V. 478. № 1. P. 55–58.
- Voronin A.I., Zueva V.Yu., Karpenkov D.Yu., Moskovskikh D.O., Novitskii A.P., Miki H., Khovaylo V.V. Preparation and study of the thermoelectric properties of Fe2TiSn1 – xSix Heusler alloys // Semiconductors. 2017. V. 51. P. 891–893.
- Mokhtari D.J., Jum’h I., Baaziz H., Charifi Z., Ghellab T., Telfah A., Hergenröder R. Structural, electronic, magnetic and thermoelectric properties of inverse Heusler alloys Ti2CoSi, Mn2CoAl and Cr2ZnSi by employing Ab initio calculations // Philosoph. Magazine. 2020. V. 100. № 12. P. 1636–1661.
- Li H., Hayashi K., Nagashima Y., Yoshioka Sh., Dong J., Li J.-F., Miyazaki Yu. Effects of Disorder on the Electronic Structure and Thermoelectric Properties of an Inverse Full-Heusler Mn2CoAl Alloy // Chem. Mater. 2021. V. 33. № 7. P. 2543–2547.
- Yousuf S., Gupta D.C. Investigation of electronic, magnetic and thermoelectric properties of Zr2NiZ (Z = = Al,Ga) ferromagnets // Mater. Chem. Physics. 2017. V. 192. P. 33–40.
- Buschow K.H.J., Van Engen P.G. Magnetic and magneto-optical properties of Heusler alloys based on aluminium and gallium // JMMM. 1981. V. 25. P. 90–96.
- Wollmann L., Chadov S., Kubler J., Felser C. Magnetism in cubic manganese-rich Heusler compounds // Phys. Rev. B. 2014. V. 90. P. 214420.
- Dash Sh., Lukoyanov A.V., Nancy, Mishra D., Mohammed Rasi U.P., Gangineni R.B., Vasundhara M., Patra A.K. Structural stability and magnetic properties of Mn2FeAl alloy with a β-Mn structure // JMMM. 2020. V. 513. P. 167205.
- Марченков В.В., Ирхин В.Ю., Перевозчикова Ю.А., Терентьев П.Б., Семянникова А.А., Марченкова Е.Б., Eisterer M. Кинетические свойства и полуметаллический магнетизм в сплавах Гейслера Mn2YAl // ЖЭТФ. 2019. Т. 155. Вып. 6. С. 1083–1090.
- Шредер Е.И., Лукоянов А.В., Мухачев Р.Д., Филанович А.Н., Даш Ш., Патра А.К., Васундхара М. Электронная структура и оптические свойства сплавов гейслера Mn2 – xFe1 + xAl (x = –0.5, 0, 0.5, 1) // ФММ. 2023. Т. 124. С. 257–263.
- Коуров Н.И., Марченков В.В., Королев А.В., Сташкова Л.А., Емельянова С.М., Weber H.W. Особенности свойств полуметаллических ферромагнитных сплавов Гейслера: Fe2MnAl, Fe2MnSi и Co2MnAl // ФТТ. 2015. Т. 57. Вып. 4. С. 684–691.
- Kresse G., Hafner J. Ab initio molecular dynamics for liquid metals // Phys. Rev. B. 1993. V. 47. P. 558.
- Kresse G., Furthmüller G. Efficient iterative schemes for ab initio total-energy calculations using a plane-wave basis set // Phys. Rev. B. 1996. V. 54. P. 11169.
- Blöchl P.E., Jepsen O., Andersen O.K. Improved tetrahedron method for Brillouin-zone integrations // Phys. Rev. B. 1994. V. 49. P. 16223.
- Perdew J., Burke K., Ernzerhof M. Generalized Gradient Approximation Made Simple // Phys. Rev. Lett. 1996. V. 77. P. 3865.
- Madsen G.K.H., Carrete J., Verstraete M.J. BoltzTraP2, a program for interpolating band structures and calculating semi-classical transport coefficients // Computer Phys. Commun. 2018. V. 231. P. 140–145.
- Антонов А.С., Новиков С.В., Пшенай-Северин Д.А., Бурков А.Т. Термоэлектрические свойства моносилицида кобальта и сплавов на его основе // Физика и техника полупроводников. 2019. Т. 53. Вып. 5. С. 674–679.
- Соколов А.В. Оптические свойства металлов. М.: ГИФМЛ, 1961. 464 с.
Supplementary files








