Diffusion Characteristics of Clusters of Self-Interstitial Atoms in Vanadium: Molecular Dynamics Data
- Authors: Demidov D.N.1, Sivak A.B.1, Sivak P.A.1
-
Affiliations:
- National Research Center Kurchatov Institute
- Issue: Vol 124, No 5 (2023)
- Pages: 400-408
- Section: СТРУКТУРА, ФАЗОВЫЕ ПРЕВРАЩЕНИЯ И ДИФФУЗИЯ
- URL: https://journal-vniispk.ru/0015-3230/article/view/139448
- DOI: https://doi.org/10.31857/S0015323023600132
- EDN: https://elibrary.ru/OKWTMC
- ID: 139448
Cite item
Full Text
Abstract
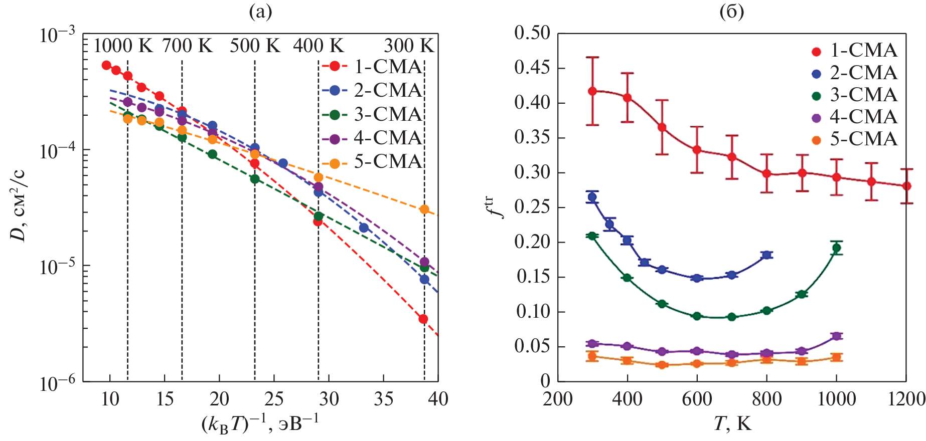
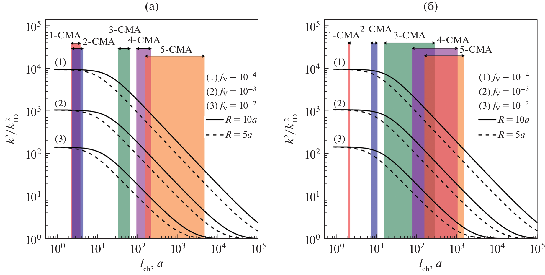
The temperature dependences of diffusion characteristics of the irradiation-induced defects, namely, clusters of self-interstitial atoms (SIAs) containing up to five atoms, in bcc V (vanadium) have been studied by the method of molecular dynamics in the temperature range of 300–1000 K. The diffusion characteristics include the coefficient of diffusion, the tracer correlation factor, the average displacement before changing the direction of migration, and the frequency of changing the direction of migration. The values of the activation energy of diffusion and the activation energy of changing the direction of migration for the considered types of defects in different temperature ranges have been determined. The dependences of the mechanism of (1D vs 3D) diffusion of SIA clusters on the temperature and cluster size and their possible influence on the parameters of phenomenological models of changes in the microstructure of a material under irradiation (sink strengths of spherical absorbers) are discussed.
About the authors
D. N. Demidov
National Research Center Kurchatov Institute
Email: Demidov_DN@nrcki.ru
Moscow, 123098 Russia
A. B. Sivak
National Research Center Kurchatov Institute
Email: Demidov_DN@nrcki.ru
Moscow, 123098 Russia
P. A. Sivak
National Research Center Kurchatov Institute
Author for correspondence.
Email: Demidov_DN@nrcki.ru
Moscow, 123098 Russia
References
- Indenbom V.L., Lothe J. (Eds.) Elastic strain fields and dislocation mobility / Elsevier Science Publishers B.V.: Amsterdam, The Netherlands, 1992.
- Субботин М.Л., Курбатов Д.К., Голубчиков Л.Г. Cоциально-экономические аспекты использования конструкционных материалов, критичных для развития термоядерной энергетики. Ванадиевые сплавы // ВАНТ. Сер. Термоядерный синтез. 2009. Т. 32(1). С. 30–41.
- Chen J.M., Chernov V.M., Kurtz R.J., Muroga T. Overview of the vanadium alloy researches for fusion reactors // J. Nucl. Mater. 2011. V. 417. P. 289–294.
- Chernov V.M., Drobyshev V.A., Potapenko M.M., Blokhin D.A., Budylkin N.I., Degtyarev N.A., Izmalkov I.N., Mironova E.G., Kudryavtseva I.E., Tyumentsev A.N., Ditenberg I.A., Grinyaev K.V., Kardashev B.K., Blokhin A.I., Loginov N.I., Romanov V.A., Sivak A.B., Sivak P.A., Psakhie S.G., Zolnikov K.P. Low activation vanadium alloys for fusion power reactors – the RF results / Proc. 24th Int. Conf. on Fusion Energy (San Diego. CA. 8–13 October 2012). Vienna: IAEA. 2012. Paper FTP/4-5Rb.
- Nikitina A.A., Ageev V.S., Leont’eva-Smirnova M.V., Mitrofanova N.M., Naumenko I.A., Tselishchev A.V., Chernov V.M. Advances in Structural Materials for Fast-Reactor Cores // At. Energy. 2016. V. 119. P. 362–371.
- Никулин С.А., Вотинов С.Н., Рожнов А.Б. Ванадиевые сплавы для ядерной энергетики. М.: Изд. МИСиС. 2014. 206 с.
- Stoller R.E., Zarkadoula E. 1.20 – Primary Radiation Damage Formation in Solids // Comprehensive Nuclear Materials (Second Edition). Elsevier. 2020. V. 1. P. 620–662.
- Сивак А.Б., Демидов Д.Н., Зольников К.П., Корчуганов А.В., Сивак П.А., Романов В.А., Чернов В.М. Первичная радиационная повреждаемость в ОЦК-металлах Fe и V: анализ молекулярно-динамических данных // ВАНТ. Сер. Материаловедение и новые материалы. 2019. Т. 4(100). С. 25–57.
- Shpanskiy Yu.S. and the DEMO-FNS Project Team. Progress in the design of the DEMO-FNS hybrid facility // Nucl. Fusion. 2019. V. 59. 076014.
- Morishita K., De La Rubia T. D., Alonso E., Sekimura N., Yoshida N. A molecular dynamics simulation study of small cluster formation and migration in metals // J. Nucl. Mater. 2000. V. 283–287. P. 753–757.
- Zhang P., Wei M., Li Y., Zhao J., Zheng P., Chen J. Interactions of solute atoms with self-interstitial atoms/clusters in vanadium: A first-principles study // J. Nucl. Mater. 2021. V. 553. 153055.
- Zepeda-Ruiz L.A., Rottler J., Wirth B.D., Car R., Srolovitz D.J. Self-interstitial transport in vanadium // Acta Mater. 2005. V. 53. P. 1985–1994.
- Zepeda-Ruiz L.A., Rottler J., Han S., Ackland G.J., Car R., Srolovitz D.J. Strongly non-Arrhenius self-interstitial diffusion in vanadium // Phys. Rev. B. 2004. V. 70(6). 060102(R).
- Романов В.А., Сивак А.Б., Сивак П.А., Чернов В.М. Равновесные и диффузионные характеристики собственных точечных дефектов в ванадии // ВАНТ. Сер. Термоядерный синтез. 2012. Т. 35(2). С. 60–80.
- Демидов Д.Н., Сивак А.Б., Сивак П.А. Термическая диссоциация димежузлий в ОЦК Fe и V: Молекулярно-динамическое исследование // ВАНТ. Сер. Термоядерный синтез. 2019. Т. 42(2). С. 99–107.
- Демидов Д.Н., Сивак А.Б., Сивак П.А. Кристаллографические, энергетические и диффузионные характеристики димежузлий в ОЦК-металлах Fe и V // ВАНТ. Сер. Термоядерный синтез. 2019. Т. 42(3). С. 85–96.
- Сивак А.Б., Романов В.А., Демидов Д.Н., Сивак П.А., Чернов В.М. Потенциалы межатомного взаимодействия для моделирования каскадов атомных столкновений и собственных точечных дефектов в ОЦК-металлах Fe и V // ВАНТ. Сер. Материаловедение и новые материалы. 2019. Т. 4(100). С. 5–24.
- Sivak A.B., Demidov D.N., Sivak P.A. Diffusion characteristics of radiation defects in iron: molecular dynamics data // Probl. At. Sci. Technol. Ser. Thermonucl. Fusion. 2021. V. 44(2). P. 148–157.
- Manning J.R. Diffusion kinetics for atoms in crystals // Toronto, Canada: D. Van Nostrand Company. 1968.
- Heinisch H.L., Singh B.N., Golubov S.I. A kinetic Monte Carlo study of mixed 1D/3D defect migration // J. Comput. Aided Mater. Des. 1999. V. 6. P. 277–282.
- Malerba L., Becquart C.S., Domain C. Object kinetic Monte Carlo study of sink strengths // J. Nucl. Mater. 2007. V. 360. P. 159–169.
- Wiedersich H. On the theory of void formation during irradiation // Radiat. Eff. 1972. V. 12. P. 111–125.
- Barashev A.V., Golubov S.I., Trinkaus H. Reaction kinetics of glissile interstitial clusters in a crystal containing voids and dislocations // Philos. Mag. A. 2001. V. 81. P. 2515–2532.
- Trinkaus H., Heinisch H.L., Barashev A.V., Golubov S.I., Singh B.N. 1D to 3D diffusion-reaction kinetics of defects in crystals // Phys. Rev. B. 2002. V. 66. 060105(R).
- Abdou M., Maynard C. Calculational methods for nuclear heating–Part II: Applications to fusion-reactor blankets and shields // Nucl. Sci. Eng. 1975. V. 56. P. 381–398.
- Reali L., Gilbert M.R., Boleininger M., Dudarev S.L. Intense γ-photon and high-energy electron production by neutron irradiation: effect of nuclear excitation on transport of defects // arXiv:2210.09667.
- Khripunov V.I. Lifetime assessment for the first wall components of a fusion driven hybrid neutron source // Probl. At. Sci. Technol. Ser. Thermonucl. Fusion. 2022. V. 45(2). P. 5–14.
- Jӓger W., Trinkaus H. Defect ordering in metals under irradiation // J. Nucl. Mater. 1993. V. 205. P. 394–410.
- Foreman A.J.E. // Harwell Report AERE-R 7135. 1972.
- Nandipati G., Setyawana W., Heinisch H.L., Roche K.J., Kurtz R.J., Wirth B.D. Object kinetic Monte Carlo simulations of radiation damage in neutron-irradiated tungsten part-I: Neutron flux with a PKA spectrum corresponding to the high-flux isotope reactor // arXiv: 1510.02732.
- Nandipati G., Setyawana W., Heinisch H.L., Roche K.J., Kurtz R.J., Wirth B.D. Object kinetic Monte Carlo simulations of radiation damage in neutron-irradiated tungsten part-II: With a PKA spectrum corresponding to 14-MeV neutrons // arXiv:1606.01308.
- Li Z.-Z., Li Y.-H., Terentyev D., Castin N., Bakaev A., Bonny G., Yang Z., Liang L., Zhou H.-B., Gao F., Lu G.-H. Investigating the formation mechanism of void lattice in tungsten under neutron irradiation: from collision cascades to ordered nanovoids // Acta Mater. 2021. V. 219. 117239.
Supplementary files







