Систематическое описание термодинамических, упругих и механических свойств бинарных ОЦК сплавов на основе Zr из первых принципов
- Авторы: Смирнова Е.А.1, Пономарева А.В.1, Конов Д.А.1, Белов М.П.1
-
Учреждения:
- НИТУ МИСИС
- Выпуск: Том 124, № 6 (2023)
- Страницы: 500-516
- Раздел: СТРУКТУРА, ФАЗОВЫЕ ПРЕВРАЩЕНИЯ И ДИФФУЗИЯ
- URL: https://journal-vniispk.ru/0015-3230/article/view/139449
- DOI: https://doi.org/10.31857/S0015323023600491
- EDN: https://elibrary.ru/WWEYKL
- ID: 139449
Цитировать
Полный текст
Аннотация
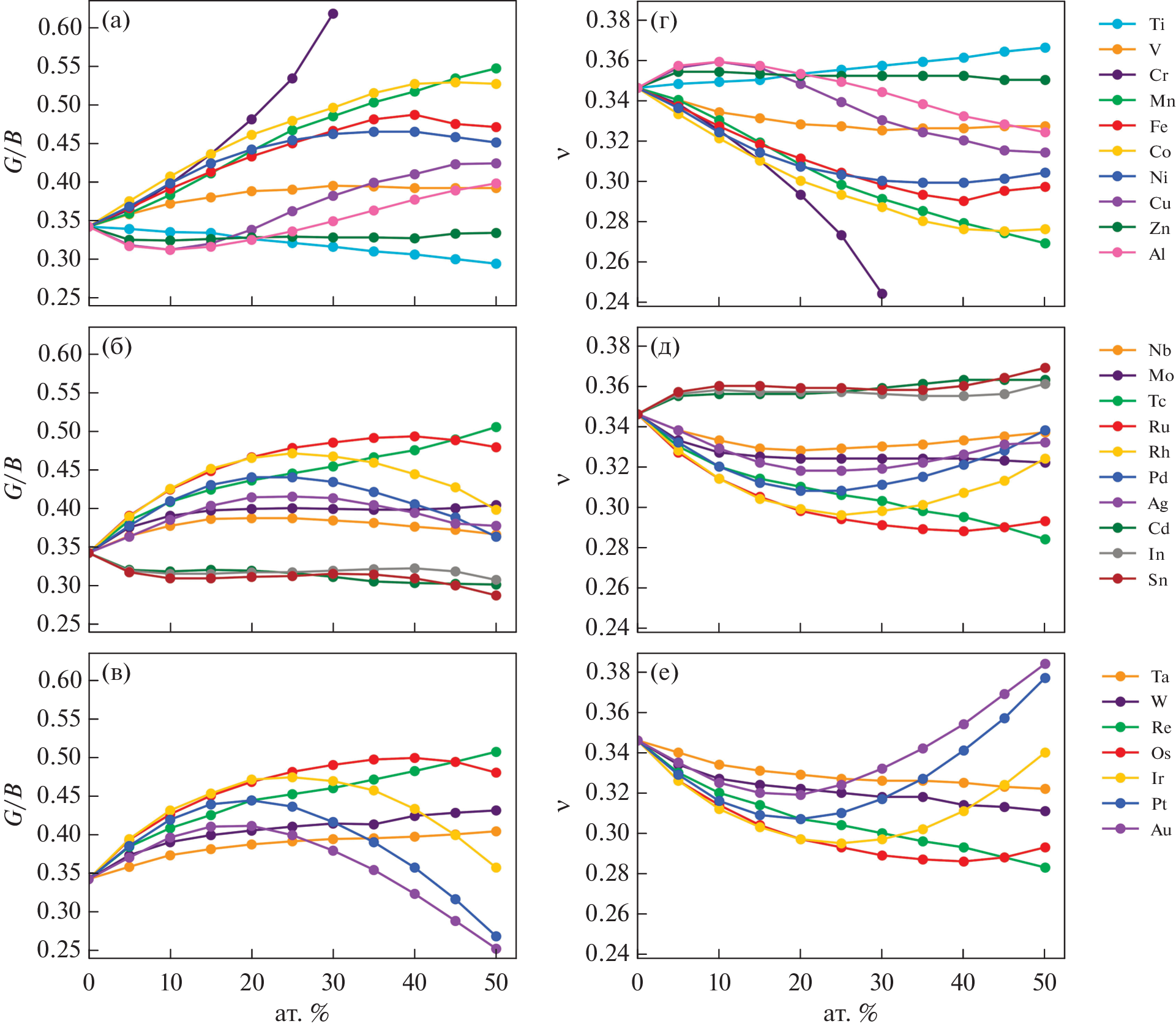
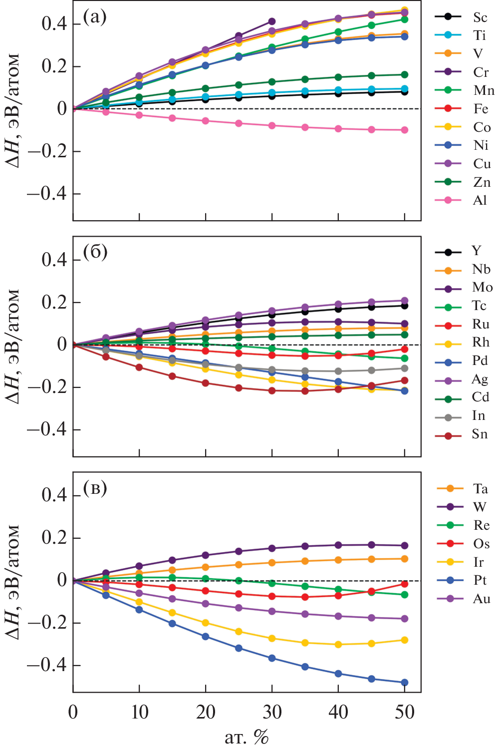
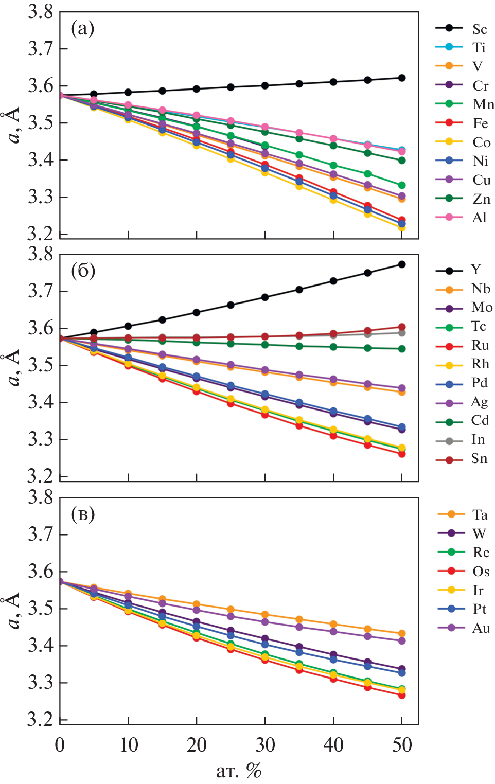
Эффекты влияния растворения 3d-, 4d- и 5d-металлов, а также Al, In и Sn в ОЦК-решетке Zr были исследованы в рамках теории функционала электронной плотности. С использованием метода EMTO-CPA были рассчитаны параметры решетки, энтальпии смешения, монокристаллические упругие константы С11, С12, С44 и C ', поликристаллические модули упругости E, G, а также характеристики пластичности разупорядоченных ОЦК-сплавов на основе Zr в широком концентрационном диапазоне до 50 ат. %. Методом PAW-SQS проведено исследование эффектов сплавления на указанные свойства ОЦК-сплавов Zr–X, где X – серии 4d-элементов Nb, Mo, Tc, Ru, Rh и 5d элементов Ta, W, Re, Os, Ir для концентрационных срезов 6.25, 25 и 50 ат. %. Проведен анализ концентрационных и периодических зависимостей свойств сплавов, их стабильности.
Ключевые слова
Об авторах
Е. А. Смирнова
НИТУ МИСИС
Email: m.belov@misis.ru
Россия, 119049, Москва, Ленинский просп., д. 4, стр. 1
А. В. Пономарева
НИТУ МИСИС
Email: m.belov@misis.ru
Россия, 119049, Москва, Ленинский просп., д. 4, стр. 1
Д. А. Конов
НИТУ МИСИС
Email: m.belov@misis.ru
Россия, 119049, Москва, Ленинский просп., д. 4, стр. 1
М. П. Белов
НИТУ МИСИС
Автор, ответственный за переписку.
Email: m.belov@misis.ru
Россия, 119049, Москва, Ленинский просп., д. 4, стр. 1
Список литературы
- Banerjee S., Mukhopadhyay P. Phase Transformations: examples from titanium and zirconium alloys // Pergamon Mater. Series. 2007. 813 p.
- Добромыслов А.В. Влияние D-металлов на температуру полиморфного и (моно) эвтектоидного превращения в бинарных сплавах титана, циркония и гафния // ФММ. 2020. Т. 121. № 5. С. 516–521.
- Белозерова А.Р., Белозеров С.В., Шамардин В.К. К вопросу моделирования эффектов ядерной трансмутации при исследовании физических свойств циркониевых сплавов // ФММ. 2020. Т. 121. № 6. С. 564–575.
- Рожнов А.Б., Рогачев С.О., Ханан Алшеих, Просвирнин Д.В. Циклическая прочность сплава Zr–1% Nb после равноканального углового пресования // ФММ. 2022. Т. 123. № 1. С. 109–116.
- Егорова Л.Ю., Хлебникова Ю.В., Пилюгин В.П., Реснина П.П. Калориметрия и особенности обратного ω → α-фазового превращения в псевдомонокристаллах Zr и Ti // ФММ. 2022. Т. 123. № 5. С. 515–521.
- Рогачев С.О., Андреев В.А., Горшенков М.В., Тен Д.В., Кузнецова А.С., Щербаков А.Б. Улучшение прочностных характеристик сплава Zr–2.5% Nb ротационной ковкой // ФММ. 2022. Т. 123. № 9. С. 1002–1008.
- Скворцов А.И., Скворцов А.А. Влияние температуры старения на параметры амплитудной зависимости внутреннего трения твердость и структуру сплава Zr–8.1% Nb // ФММ. 2022. Т. 123. № 11. С. 1175–1181.
- Фирсова А.Г, Табачкова Н.Ю., Базлов А.И. Влияние высокотемпературной прокатки и отжига на структуру и свойства аморфного сплава на основе циркония // ФММ. 2021. Т. 122. № 8. С. 845–850.
- Suzuki A.K., Campo K.N., Fonseca E.B., Araújo L.C., Gandra F.C.G., Lopes E.S.N. Appraising the potential of Zr-based biomedical alloys to reduce magnetic resonance imaging artifacts // Sci. Reports. 2020. V. 10. P. 2621.
- Niinomi M. Recent titanium R&D for biomedical applications in japan // JOM. 1999. V. 51. P. 32–34.
- Li Y., Wong C., Xiong J., Hodgson P., Wen C. Cytotoxicity of titanium and titanium alloying elements // J. Dent. Res. 2010. V. 89. P. 493–497.
- Suyalatu, Kondo R., Tsutsumi Y., Doi H., Nomura N., Hanawa T. Effects of phase constitution on magnetic susceptibility and mechanical properties of Zr-rich Zr–Mo alloys // Acta Biomater. 2011. V. 7. P. 4259–4266.
- Zhou F.Y., Wang B.L., Qiu K.J., Lin W.J., Li L., Wang Y.B., Nie F.L., Zheng Y.F. Microstructure, corrosion behavior and cytotoxicity of Zr–Nb alloys for biomedical application // Mater. Sci. Eng. C. 2012. V. 32. P. 851–857.
- Zhou F.Y., Wang B.L., Qiu K.J., Lin J., Li L., Li H., Zheng Y. Microstructure, mechanical property, corrosion behavior, and in vitro biocompatibility of Zr-Mo alloys // J. Biomed. Mater. Res. – Part B Appl. Biomater. 2013. V. 101. P. 237–246.
- Guo S., Zhang J., Shang Y., Zhang J., Meng Q., Cheng X., Zhao X. A novel metastable β-type Zr–12Nb–4Sn alloy with low Young’s modulus and low magnetic susceptibility // J. Alloys Compd. 2018. V. 745. P. 234–239.
- Guo S., Zhang J., Shang Y., Zhang J., Meng Q., Cheng X., Zhao X. A metastable β-type Zr–4Mo–4Sn alloy with low cost, low Young’s modulus and low magnetic susceptibility for biomedical applications // J. Alloys Compd. 2018. V. 754. P. 232–237.
- Hinomi M. Metals for biomedical devices // Woodhead Publishing, 2019.
- Kondo R., Nomura N., Suyalatu, Tsutsumi Y., Doi H., Hanawa T. Microstructure and mechanical properties of as cast Zr–Nb alloys // Acta Biomater. 2011. V. 7. P. 4278–4284.
- Kondo R., Nomura N., Suyalatu, Tsutsumi Y., Doi H., Hanawa T. Effects of phase constitution on magnetic susceptibility and mechanical properties of Zr-rich Zr–Mo alloys // Acta Biomater. 2011. V. 7. P. 4259–4266.
- Kobayashi E., Ando M., Tsutsumi Y., Doi H., Yoneyama T., Kobayashi M., Hanawa T. Inhibition effect of zirconium coating on calcium phosphate precipitation on titanium to avoid assimilation with a bone // Mater. Trans. 2007. V. 48. P. 301–306.
- Steinbruck M. High-Temperature oxidation of zirconium alloys in various atmospheres // Encyclopedia of Materials: Metals and Alloys. 2022. P. 453–464.
- Yau T.-L., Annamalai V.E. Corrosion of zirconium and its alloys // Reference module in Materials Science and Material Engineering. 2016. 39 p.
- Krishnan R., Asundi M.K. Zirconium alloys in nuclear technology // Proceedings of the Indian academy of Sciences Section C: Engineering Sciences. 1981. V. 4. P. 41–56.
- Kobayashi E., Matsumoto S., Doi H., Yoneyama T., Hamanaka H. Mechanical properties of the binary titanium-zirconium alloys and their potential for biomedical materials // J. Biomed. Mater. Research. 1995. V. 29. P. 943–950.
- Li Y., Cui Y., Zhang F. Xu H. Shape memory behavior in Ti-Zr alloys // Scr. Mater. 2011. V. 64. P. 584–587.
- Ijaz M.F, Kim H.Y, Hosoda H. Miyazaki S. Superelastic properties of biomedical (Ti–Zr)–Mo–Sn alloys // Mater. Sci. Eng. 2015. V. 48. P. 11–20.
- Hickman B. S. The formation of omega phase in titanium and zirconium alloys: A review // J. Mater. Sci. 1969. V. 4. P. 554–563.
- Zong H., He P., Ding X., Ackland G. J. Nucleation mechanism for hcp → bcc phase transformation in shock-compressed Zr // Phys. Rev. B. 2020. V. 101. P. 144 105.
- Vitos L., Abrikosov I.A., Johansson B. Anisotropic Lattice Distortions in Random Alloys from First‑Principles Theory // Phys. Rev. Lett. 2001. V. 87. P. 156 401.
- Vitos L. Computational Quantum Mechanics for Materials Engineers: The EMTO Method and Applications // Springer‑Verlag, London. 2007. 237 p.
- Blöchl P.E. Projector augmented‑wave method // Phys. Rev. B. 1994. V. 50. № 24. P. 17953–17979.
- Kresse G., Joubert D. From ultrasoft pseudopotentials to the projector augmented‑wave method // Phys. Rev. B. 1999. V. 59. P. 1758–1775.
- Kresse G., Hafner J. Ab initio molecular dynamics for liquid metals // Phys. Rev. B. 1993. V. 47. P. 558–561.
- Kresse G., Furthmüller J. Efficiency of ab‑initio total energy calculations for metals and semiconductors using a plane‑wave basis set // Comput. Mater. Sci. 1996. V. 6. P. 15–50.
- Kresse G., Furthmüller J. Efficient iterative schemes for ab initio total‑energy calculations using a plane‑wave basis set // Phys. Rev. B. 1996. V. 54. P. 11169–11186.
- Kollár J., Vitos L., Skriver H.L. Electronic Structure and Physical Properties of Solids: The Uses of the LMTO Method // Springer‑Verlag, Berlin. 2000. P. 85–113.
- Perdew J.P., Burke K., Ernzerhof M. Generalized Gradient Approximation Made Simple // Phys. Rev. Lett. 1996. V. 77. P. 3865.
- Mouhat F., Coudert F. Necessary and sufficient elastic stability conditions in various crystal systems // PRB. 2014. V. 90. P. 224104.
- Zunger A., Wei S.-H., Ferreira L.G., Bernard J.E. Special quasirandom structures // Phys. Rev. Lett. 1990. V. 65. P. 353.
- Skripnyak N.V., Ponomareva A.V., Belov M.P., and Abrikosov I.A. Ab initio calculations of elastic properties of alloys with mechanical instability: Application to BCC Ti–V alloys // Mater. Des. 2018. V. 140. P. 357–365.
- Smirnova E.A., Ponomareva A.V., Syzdykova A.B., Belov M.P. Ab initio systematic description of thermodynamic and mechanical properties of binary bcc Ti‑based alloys // Mater. Today Comm. 2022. V. 31. P. 103 583.
- Pugh S.F. XCII. Relations between the elastic moduli and the plastic properties of polycrystalline pure metals // Lond. Edinb. Dublin Philos. Mag. J. Sci. 1954. V. 45. P. 823–843.
- Францевич И.Н., Воронов Ф.Ф., Бакута С.А. Упругие постоянные и модули упругости металлов и неметаллов. Киев: Наукова думка, 1982. 286 с.
- Walker E., Peter M. Elastic constants of the bcc phase in niobium-zirconium alloys between 4.2 and 300 K // J. Appl. Phys. 1977. V. 48. P. 2820–2826.
- Vander Voort G.F. (Ed.). ASM Handbook // Metallography and Microstructures. 2004. Chap. 9.
- Wang Y., Curtarolo S., Jiang C., Arroyave R., Wang T., Ceder G., Chen L.Q., Liu Z.K. Ab initio lattice stability in comparison with CALPHAD lattice stability // Calphad. 2004. V. 28. P. 79–90.
- Skripnyak N.V., Ponomareva A.V., Belov M.P., Syutkin E.A., Khvan A.V., Dinsdale A.T., Abrikosov I.A. Mixing enthalpies of alloys with dynamical instability: bcc Ti–V system // Acta Mater. 2020. V. 188. P. 145.
- Skripnyak N.V., Tasnádi F., Simak S.I., Ponomareva A.V., Löfstrand J., Berastegui P., Jansson U., Abrikosov I.A. Achieving low elastic moduli of bcc Ti–V alloys in vicinity of mechanical instability // AIP Advances. 2020. V. 10. P. 105322.
- Kolli R., Devaraj A. A review of metastable beta titanium alloys // Metals. 2018. V. 8. P. 506.
- Körling M., Häglund J. Cohesive and electronic properties of transition metals: The generalized gradient approximation // Phys. Rev. B. 1992. V. 45. P. 13 293–13 297.
- Еременко В.Р., Семенова Е.Л., Штепа Т.Д. Фазовая диаграмма системы Zr–Ir // Известия академии наук СССР: Металлы. 1980. № 5. С. 237–241.
- Benites G.M., Fernandez Guillermet A., Cuello G.J., Campo Javier. Structural properties of metastable phases in Zr–Nb alloys // J. Alloys Compd. 2000. V. 299. P. 183–188.
- Pearson W.B. A Handbook of Lattice Spacings and Structures of Metals and Alloys. Pergamon-Oxford, 1958. 1054 p.
- Rapp Ö. Superconductivity and lattice parameters in the zirconium‑molybdenum, zirconium‑tungsten, hafnium‑molybdenum and hafnium‑tungsten alloy systems // J. Less‑Common Met. 1970. V. 21. P. 27–44.
- Murray J.L. The Ti−Zr (Titanium–Zirconium) system // Bulletin of Alloy Phase Diagrams. 1981. V. 2. P. 197–201.
- Bao X., Li X., Ding J., Liu X., Meng M., Zhang T. Exploring the limits of mechanical properties of Ti‑Zr binary alloys // Mater. Lett. 2022. V. 318. P. 132091.
- Zhang N.‑N., Zhang Y.-J., Yang Y., Zhang P., Ge C.-C. First‑principles study of structural, mechanical, and electronic properties of W alloying with Zr // Chin. Physics B. 2019. V. 28. P. 046301.
- Diyou J., Li X., Xuemei H., Tao W., Jianfeng H. Effect of Zr additions on crystal structures and mechanical properties of binary W–Zr alloys: A first‑principles study // J. Mater. Res. 2019. V. 34. P. 290–300.
- Ikehata H., Nagasako N., Furuta T., Fukumoto A., Miwa K., Saito T. First‑principles calculations for development of low elastic modulus Ti alloys // Phys. Rev. B. 2004. V. 70. P. 174113.
- Al‑Zoubi N., Schonecker S., Ii X., Li W., Johansson B.S., Vitos L. Elastic properties of 4d transition metal alloys: Values and trends // Comput. Mater. Sci. 2019. V. 159. P. 273–280.
Дополнительные файлы













