МД-моделирование каскадов столкновений в α-Ti. Статистика и закономерности образования кластеров точечных дефектов
- Авторы: Воскобойников Р.Е.1,2
-
Учреждения:
- Национальный исследовательский ядерный университет “МИФИ”
- Национальный исследовательский центр “Курчатовский институт”
- Выпуск: Том 124, № 8 (2023)
- Страницы: 679-686
- Раздел: ТЕОРИЯ МЕТАЛЛОВ
- URL: https://journal-vniispk.ru/0015-3230/article/view/139475
- DOI: https://doi.org/10.31857/S001532302360048X
- EDN: https://elibrary.ru/SXIYMG
- ID: 139475
Цитировать
Полный текст
Аннотация
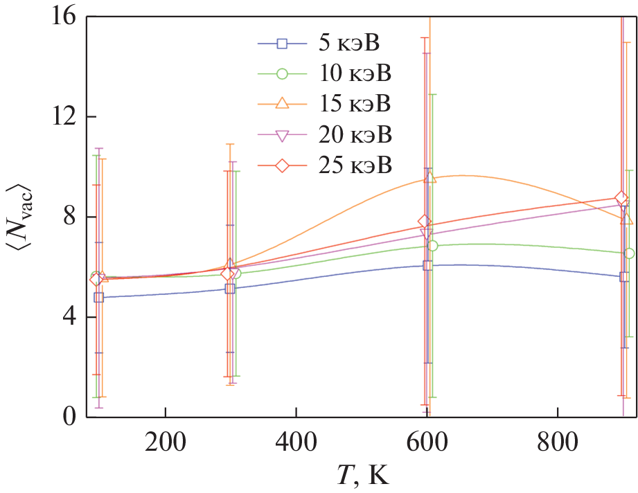
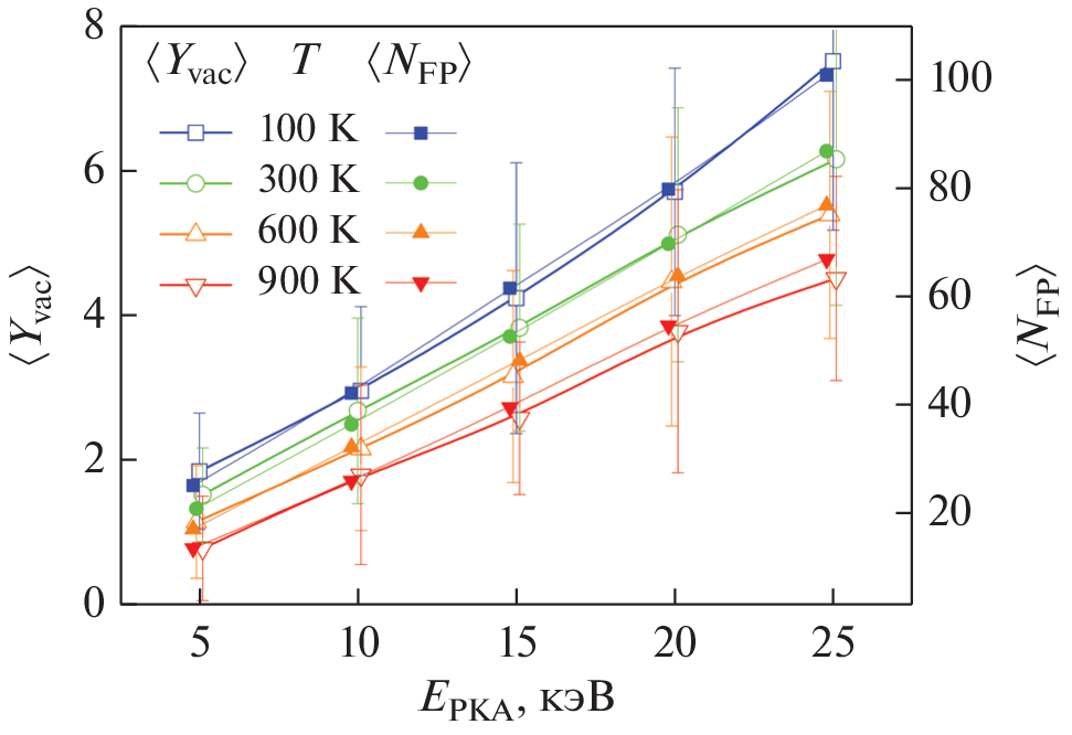
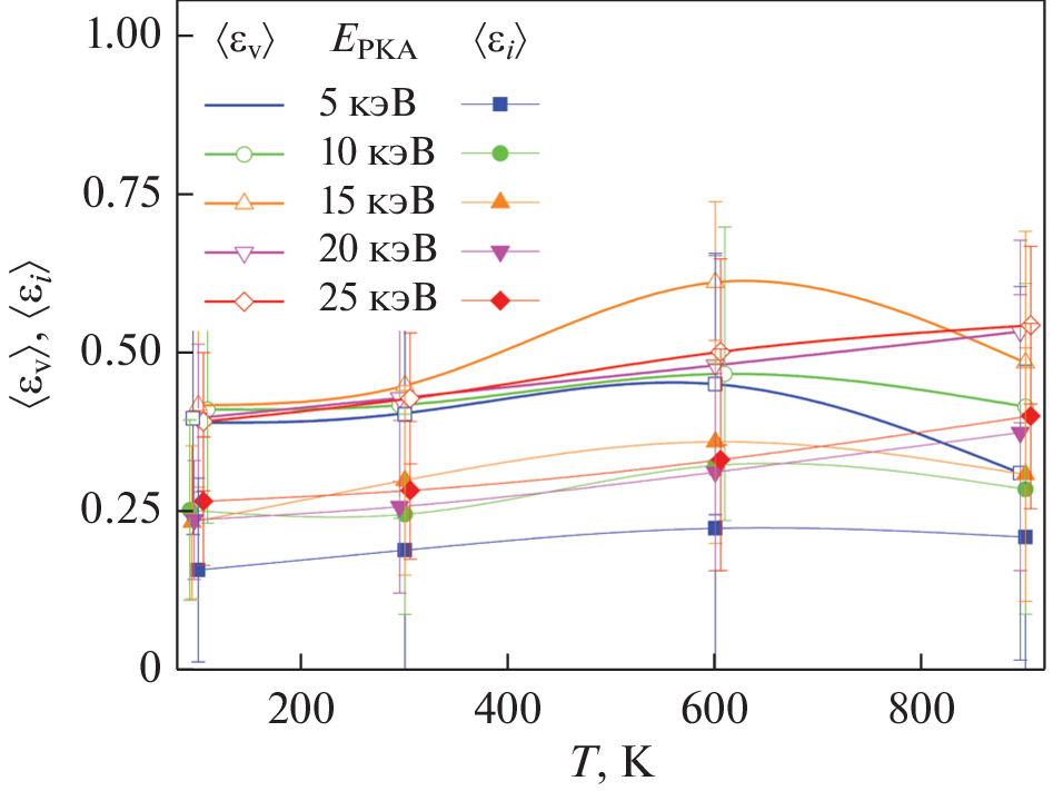
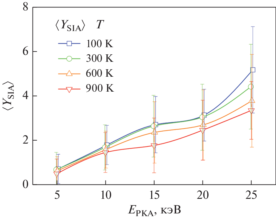
Проанализированы результаты моделирования первичного дефектообразования в каскадах столкновений в α-титане в широком диапазоне энергий первично выбитых атомов (ПВА) 5 \( \leqslant {{E}_{{{\text{PKA}}}}} \leqslant \) 25 кэВ и температур облучения 100 \(~ \leqslant T \leqslant ~\) 900 K. Определены доли вакансий \({{{\text{\varepsilon }}}_{{\text{v}}}}\) и междоузельных атомов \({{{\text{\varepsilon }}}_{i}}\) в кластерах точечных дефектов, образованных в индивидуальных каскадах, и их средние значения \(\left\langle {{{{\text{\varepsilon }}}_{{\text{v}}}}} \right\rangle \) и \(\left\langle {{{{\text{\varepsilon }}}_{i}}} \right\rangle \), средние размеры вакансионных \(\left\langle {{{N}_{{{\text{vac}}}}}} \right\rangle \) и междоузельных \(\left\langle {{{N}_{{{\text{SIA}}}}}} \right\rangle \) кластеров и среднее число вакансионных \(\left\langle {{{Y}_{{{\text{vac}}}}}} \right\rangle \) и междоузельных \(\left\langle {{{Y}_{{{\text{SIA}}}}}} \right\rangle \) кластеров на каскад. Предложены физические механизмы, определяющие зависимость \(\left\langle {{{{\text{\varepsilon }}}_{{\text{v}}}}} \right\rangle \), \(\left\langle {{{{\text{\varepsilon }}}_{i}}} \right\rangle \), \(\left\langle {{{N}_{{{\text{vac}}}}}} \right\rangle \), \(\left\langle {{{N}_{{{\text{SIA}}}}}} \right\rangle \), \(\left\langle {{{Y}_{{{\text{vac}}}}}} \right\rangle \) и \(\left\langle {{{Y}_{{{\text{SIA}}}}}} \right\rangle \) от параметров \(\left( {{{E}_{{{\text{PKA}}}}},T} \right).\)
Об авторах
Р. Е. Воскобойников
Национальный исследовательский ядерный университет “МИФИ”; Национальный исследовательский центр “Курчатовский институт”
Автор, ответственный за переписку.
Email: roman.voskoboynikov@gmail.com
Россия, 115409, Москва, Каширское ш., 31; Россия, 123182, Москва, пл. Курчатова, 1
Список литературы
- Raji A.T., Scandolo S., Mazzarello R., Nsengiyumva S., Haerting M., Britton D.T. Ab initio pseudopotential study of vacancies and self-interstitials in hcp titanium // Philos. Mag. 2009. V. 89. P. 1629–1645.
- Воскобойников Р.Е. МД Моделирование каскадов столкновений в α-Ti. Число дефектов, время релаксации и морфология каскадной области смещений // ФММ. 2023. Т. 124. № 8. С. 671–678.
- Voskoboinikov R.E., Osetsky Yu.N., Bacon D.J. Computer simulation of primary damage creation in displacement cascades in copper. I. Defect creation and cluster statistics // J. Nucl. Mater. 2008. V. 377. P. 385–395.
- Voskoboinikov R. Statistics of primary radiation defects in pure nickel // Nucl. Instr. Meth. Phys. Res. B. 2020. V. 478. P. 201–204.
- Voskoboinikov R.E., Osetsky Yu.N., Bacon D.J. Statistics of primary damage creation in high-energy displacement cascades in copper and zirconium // Nucl. Instr. Meth. Phys. Res. B. 2006. V. 242. P. 68–70.
- Воскобойников Р.Е. Радиационные дефекты в алюминии. Моделирование первичных повреждений в объеме материала // ФММ. 2019. Т. 120. № 1. С. 3–10.
- Voskoboinikov R. A contribution of L10 ordered crystal structure to the high radiation tolerance of γ-TiAl intermetallics // Instr. Meth. Phys. Res. B. 2019. V. 460. P. 92–97.
- Voskoboinikov R. An insight into radiation resistance of D019 Ti3Al intermetallics // J. Nucl. Mater. 2019. V. 519. P. 239–246.
- Voskoboinikov R. MD simulations of primary damage formation in L12 Ni3Al intermetallics // J. Nucl. Mater. 2019. V. 522. P. 123–135.
- Nordlund K., Averback R.S. Point defect movement and annealing in collision cascades // Phys. Rev. B. 1997. V. 56. P. 2421–2431.
- Lindemann P. Über die Berechnung molekularer Eigenfrequenzen // Physikalische Zeitschrift. 1910. V. 11. P. 609–612.
- Voskoboinikov R.E., Osetsky Yu.N., Bacon D.J. Interaction of edge dislocation with point defect clusters created in displacement cascades in α-zirconium // Mater. Sci. Eng. A. 2005. V. 400–401. P. 49–53.
- Was G.S. Fundamentals of Radiation Materials Science. Metals and Alloys 2nd Ed. Elsevier, Amsterdam, 2017. 1002 p.
- Gardiner C. Stochastic Methods. A Handbook for the Natural and Social Sciences 4th Ed. Springer Berlin, Heidelberg, 2009. 447 p.
- de Diego N., Osetsky Y.N., Bacon D.J. Mobility of interstitial clusters in alpha-zirconium // Metall Mater Trans A. 2002. V. 33. P. 783–789.
- Пример одномерной диффузии ди-, три- и т.п. междоузлий, расположенных в базисной плоскости, вдоль плотноупакованных кристаллографических направлений в α-Ti при низких температурах. https://youtu.be/RgldmdibdHs.
- Изменение диффузионной подвижности ди-, три- и т.п. междоузлий, расположенных в базисной плоскости, с одного кристаллографического направления на другое кристаллографическое направление в α-Ti при температурах K. https://youtu.be/eNluPvqktc4.
- Релаксация каскада столкновений, инициированного ПВА с энергией кэВ в α-титане при температуре К. https://youtu.be/roMU-RTats4.
- Релаксация каскада смещений, инициированного ПВА с энергией кэВ в α-титане при температуре T = 900 К. https://youtu.be/JkJKSaPwcfY.
Дополнительные файлы











