Моделирование атомной структуры в окрестности сферических пор в алюминии и расчет анизотропии скорости роста пор
- Авторы: Назаров А.В.1,2, Мельников А.П.1, Михеев А.А.3
-
Учреждения:
- Национальный исследовательский ядерный университет, МИФИ
- НИЦ “Курчатовский институт”, Курчатовский комплекс теоретической и экспериментальной физики
- РГУ им. А.Н. Косыгина
- Выпуск: Том 124, № 9 (2023)
- Страницы: 785-790
- Раздел: ТЕОРИЯ МЕТАЛЛОВ
- URL: https://journal-vniispk.ru/0015-3230/article/view/139476
- DOI: https://doi.org/10.31857/S0015323023600752
- EDN: https://elibrary.ru/DMIRRH
- ID: 139476
Цитировать
Полный текст
Аннотация
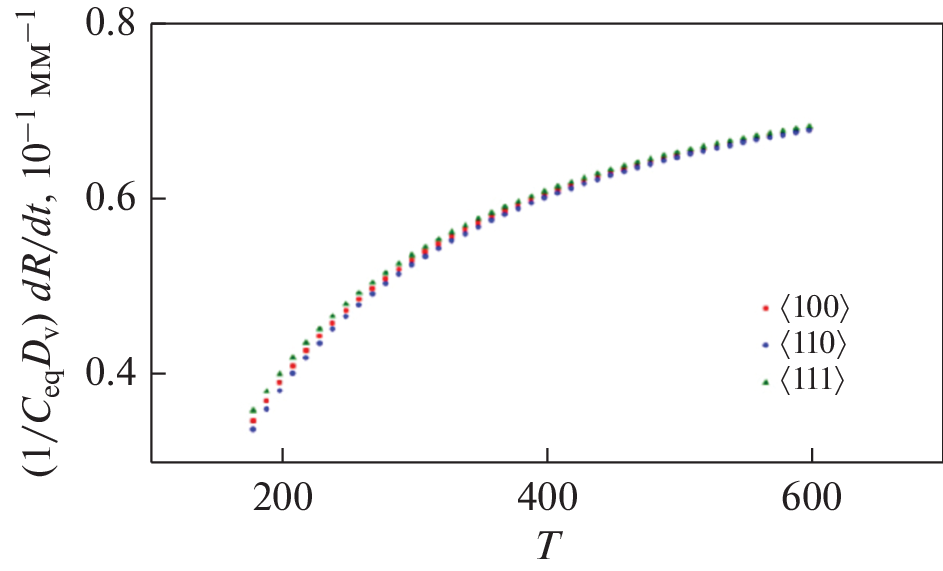
Моделируется структура в окрестности пор разного размера в алюминии с помощью модифицированного метода молекулярной статики (МС). В этом варианте МС атомная структура в окрестности нанопор и параметры, определяющие смещения атомов, помещенных в упругий континуум вокруг основной расчетной ячейки, определяются самосогласованным образом. Для расчетов скорости перемещения элементов поверхности пор в определенных кристаллографических направлениях применяются полученные ранее кинетические уравнения. Эти уравнения учитывают влияние полей деформации на потоки вакансий. Рассчитаны скорости перемещений в зависимости от температуры. Результаты показывают, что анизотропии скорости роста пор в алюминии заметно меньше, чем в ОЦК-железе и вольфраме.
Ключевые слова
Об авторах
А. В. Назаров
Национальный исследовательский ядерный университет, МИФИ; НИЦ “Курчатовский институт”, Курчатовский комплекс теоретической и экспериментальной физики
Email: avn46@mail.ru
Россия, 115487, Москва, Каширское ш., 31; Россия, 117218, Москва, ул. Большая Черемушкинская, 25
А. П. Мельников
Национальный исследовательский ядерный университет, МИФИ
Email: avn46@mail.ru
Россия, 115487, Москва, Каширское ш., 31
А. А. Михеев
РГУ им. А.Н. Косыгина
Автор, ответственный за переписку.
Email: avn46@mail.ru
Россия, 117997, Москва, ул. Садовническая, 33
Список литературы
- Was G.S. Fundamentals of radiation materials science: Metals and alloys. Second edition, Springer-Verlag Berlin Heidelberg. 2016. P. 827.
- Garner F.A. Radiation damage in austenitic steels, in: Comprehensive Nuclear Materials., Elsevier Ltd. 2012. P. 33–95.
- Конобеев Ю.В., Голубов С.И., Печенкин В.А. Распухание и газы в металлах под облучением // Вопр. атомной науки и техники. Сер. Физика радиационных повреждений и радиационное материаловедение. 1981. Вып. 3(17). С. 44–55.
- Wang Xu, Monterrosa Anthony M., Zhang Feifei, Huang Hao, Yan Qingzhi, Jiao Zhijie, Was Gary S., Wang Lumin. Void swelling in high dose ion-irradiated reduced activation ferritic–martensitic steels // J. Nucl. Mater. 2015. V. 462. P. 119–125.
- Singh B.N., Bilde-sbrensen J.B., Leffers T., Ozhigov L.S., Gann V.V. Cavity formation in aluminium irradiated with a pulsating beam of 225 mev electrons // J. Nucl. Mater. 1984. V. 122–123. P. 542–546.
- Девятко Ю.Н., Тронин В.Н. Возникновение зародышей новой фазы в облучаемых металлах // ФММ. 1987. Т. 63. № 4. С.635–643.
- Девятко Ю.Н., Каган М.Ю., Хомяков О.В. Новый механизм образования вакансионных пор // Физика низких температур. 2010. Т. 36. № 4. С. 398–402.
- Антропов А.С., Озрин В.Д., Стегайлов В.В., Тарасов В.И. Cвязь поверхностной самодиффузии и подвижности пузырей в твердом теле: теория и атомистическое моделирование // ЖЭТФ. 2019. Т. 156. № 1. С. 7.
- Chen C.W. The shapes of irradiation-produced voids in nickel // Phys. Stat. Sol. (a). 1973. V. 16. P. 197–210.
- Zinkle S.J. Radiation-induced effects on microstructure // Comprehen. Nucl. Mater. 2012. P. 4.
- Ge W., Zhao S., Wang C., Liu H., Su Y., Huang J., Gao Z., Xue J., Wang Y. A Model for Dose Dependence of the Void Swelling in Electron Irradiated Alloys // Metals. 2022. V. 12. P. 244–255.
- Портных И.А., Козлов А.В. Рост вакансионных пор на начальной стадии нестационарного распухания // ФММ. 2018. Т. 119. № 6. С. 636–644.
- Niwase K., Ezawa T., Fujita F.E., Kusanagi H., Takaku H. Morphology of micro-cavities in nickel during Helium bombardment and post-irradiation annealing // Radiation Effects. 1998. V. 106. № 1–2. P. 65–76.
- Han G.M., Wang H., Lin D.Y., Zhu X.Y., Hu S.Y., Song H.F. Phase-field modeling of void anisotropic growth behavior in irradiated zirconium // Comp. Mater. Sci. 2017. V. 133. P. 22–34.
- Kitayama M., Glaeser A.M. The kinetics of pore shape evolution in alumina // J. Mater. Synthesis and Processing. 1998. № 6. P. 161–167.
- Nazarov A.V., Mikheev A.A. Diffusion under a stress in fcc and bcc metals // J. Phys.: Condens. Matter. 2008. V. 20. P. 485203-7.
- Nazarov A.V., Mikheev A.A., Valikova I.V., Zaluzhnyi A.G. Diffusion under a stress in metals and interstitial alloys // Solid State Phenomena. 2011. V. 172–174. P. 1156–1163.
- Nazarov A.V., Mikheev A.A. General Approach to Diffusion under a Stress in Metals and Interstitial Alloys // Defect and Diffusion Forum. 2015. V. 363. P. 112–119.
- Mikheev A.A., Nazarov A.V., Ershova I.V., Zaluzhnyi A.G. Kinetics of Void Growth in Cubic Metals. Theory and Simulation // Defect and Diffusion Forum. 2015. V. 363. P. 91–98.
- Nazarov A.V., Mikheev A.A., Melnikov A.P. Simulation of the atomic structure near voids and estimation of their growth rate anisotropy // J. Nucl. Mater. 2020. V. 532. P. 152067-7.
- Nazarov A.V., Melnikov A.P., Mikheev A.A., Ershova I.V. Modeling the atomic structure in the vicinity of the spherical voids and calculation of void growth rate anisotropy in bcc iron and tungsten // IOP Conf. Ser.: Mater. Sci. Eng. 2020. V. 1005. P. 012026-6.
- Eshelby J.D. The continuum theory of lattice defects in Solid State Physics / Ed. by F. Seitz and D. Turnbull. Academic Press. New York, 1956. P. 79–144.
- Valikova I.V., Nazarov A.V. Simulation of Pressure Effects on Self-Diffusion in BCC Metals // Defect and Diffusion Forum. 2008. V. 277. P. 125–132.
- Валикова И.В., Назаров А.В. Моделирование характеристик, определяющих влияние давления на концентрацию и диффузионную подвижность вакансий в ОЦК металлах: Новый подход // ФММ. 2008. Т. 105. № 6. С.1–9.
- Валикова И.В., Назаров А.В. Моделирование характеристик, определяющих влияние давления на самодиффузию в ОЦК и ГЦК металлах // ФММ. 2010. Т. 109. № 3. С. 237–244.
- Ganchenkova M., Nazarov A., Kuznetsov A. Formation and stability of radiation defect complexes in Si and Si:Ge: Composition and pressure effects // Nucl. Instrum. Method B. 2003. V. 202. P. 107–113.
- Germanov A.B., Ershova I.V., Kislitskaya E.V., Nazarov A.V., Zaluzhnyi A.G. Atomic structure in the vicinity of nanovoids and features of these defects // Met. Phys. Adv. Techn. 2013. V. 35. № 10. P. 1391–1403.
- Mishin Y., Farkas D., Mehl M.J., Papaconstantopoulos D.A. Interatomic potentials for monoatomic metals from experimental data and ab initio calculations // Phys. Rev. B. 1999. V. 59. № 5. P. 3393–3407.
- Nazarov A.V., Ershova I.V., Volodin Y.S. Simulation of Atomic Structure Near Nanovoids in BCC Iron // KnE Mater. Sci. 2018. https://doi.org/10.18502/kms.v4i1.2197
- Черемской П.Г., Слезов В.В., Бетехтин В.И. Поры в твердых телах. M.: Энергоатомиздат, 1990. 615 с.
- Slezov V.V. Kinetics of First-order Phase Transitions. WILEY-VCH Verlag GmbH & Co. KGaA, 2009. 415 p.
- Назаров А.В. Нескомпенсированный поток вакансий и эффект Киркендалла // ФММ. 1973. Т. 35. № 3. С. 645–649. Nazarov A.V. // Phys. Metals. and Metallography, 1973. V. 35. № 3. P. 184–186. https:// www.researchgate.net/publication/283492271_Uncompensated_vacancy_flow_and_the _kirkendall_effect.
- Nazarov A.V., Ershova I.V., Volodin Y.S. Simulation of Atomic Structure Near Nanovoids in BCC Iron // KnE Mater. Sci. 2018. https://doi.org/10.18502/kms.v4i1.2197w
Дополнительные файлы







