Влияние структурно-композиционных факторов на реализацию эффекта обменного смещения в пленках (Cr–Mn)/Fe20Ni80
- Авторы: Фещенко А.А.1, Москалев М.Е.1, Северова С.В.1, Горьковенко А.Н.1, Лепаловский В.Н.1, Селезнева Н.В.1, Кравцов Е.А.1,2, Васьковский В.О.1,2
-
Учреждения:
- Уральский федеральный университет им. Б.Н. Ельцина
- Институт физики металлов им. М.Н. Михеева УрО РАН
- Выпуск: Том 124, № 9 (2023)
- Страницы: 830-837
- Раздел: ЭЛЕКТРИЧЕСКИЕ И МАГНИТНЫЕ СВОЙСТВА
- URL: https://journal-vniispk.ru/0015-3230/article/view/139486
- DOI: https://doi.org/10.31857/S0015323023601307
- EDN: https://elibrary.ru/YYTUSB
- ID: 139486
Цитировать
Полный текст
Аннотация
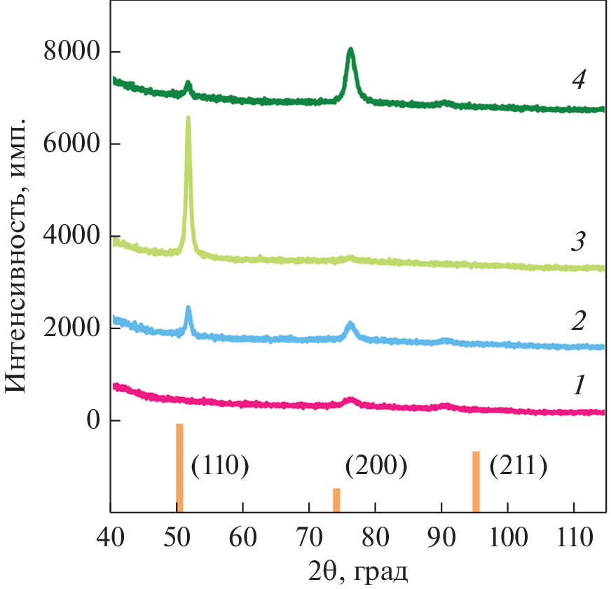
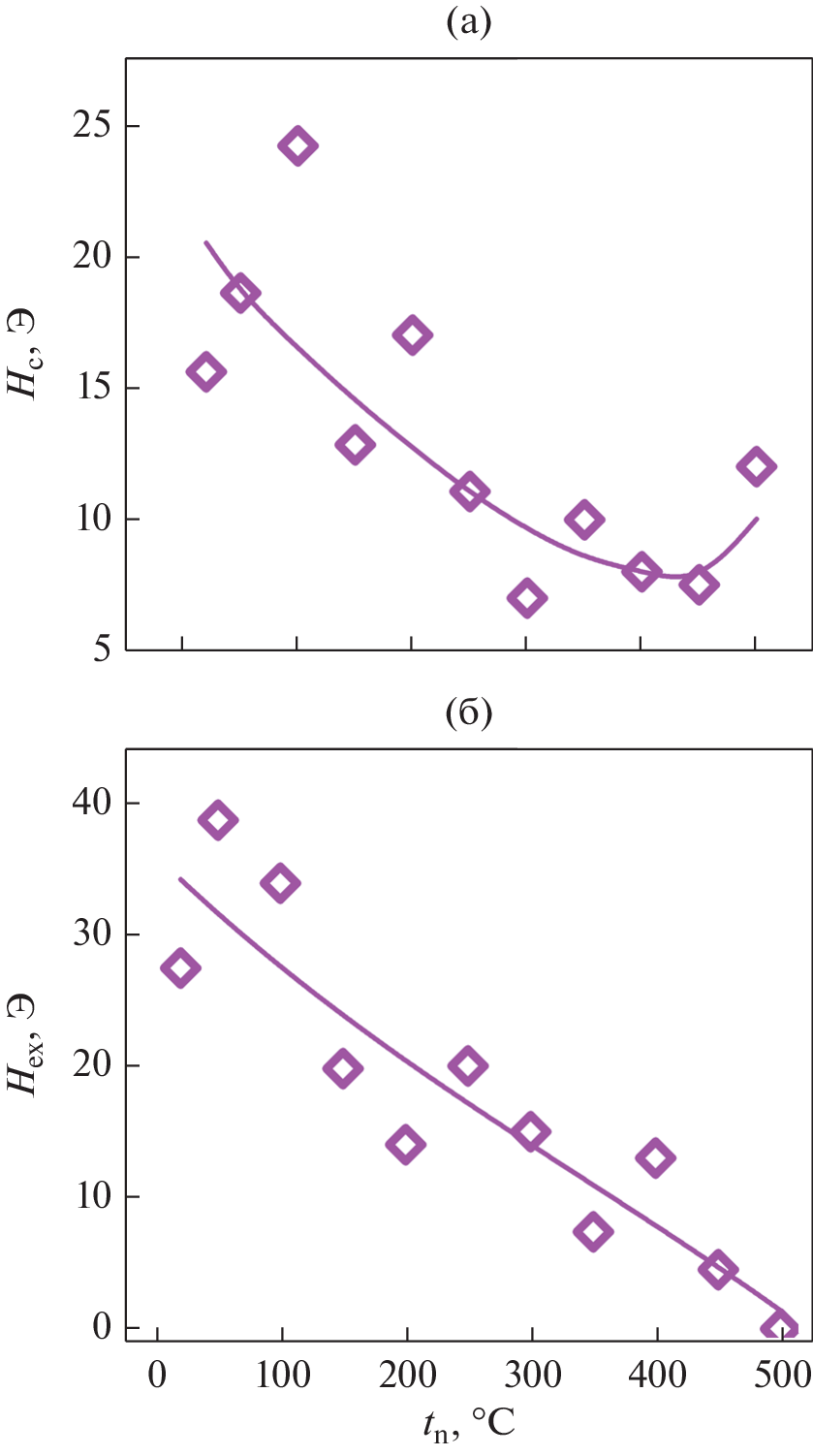
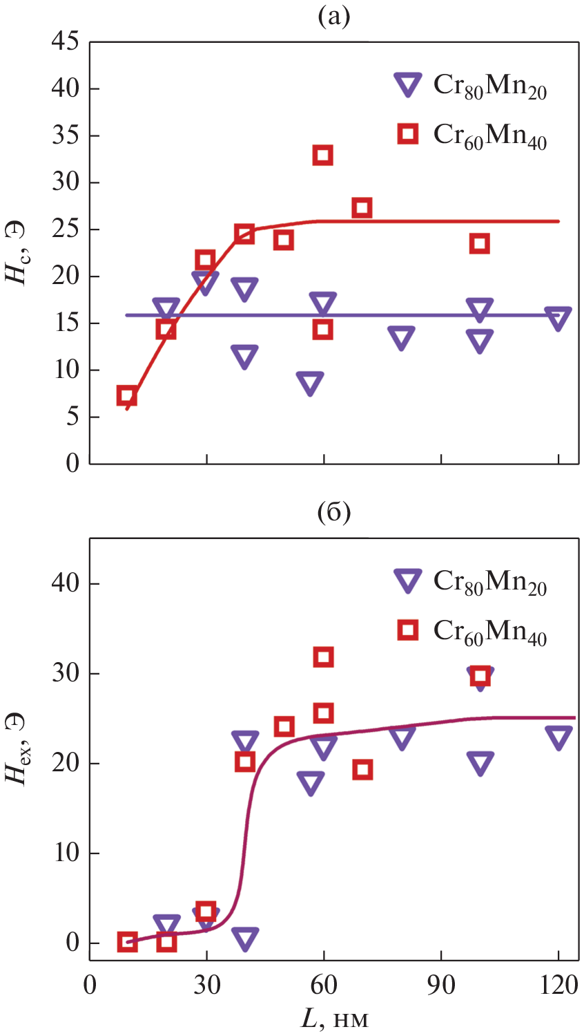
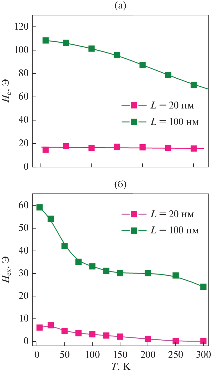
Изучено влияние ряда физических факторов на структурные и гистерезисные свойства многослойных пленок (Cr–Mn)/FeNi. По косвенным признакам установлено наличие антиферромагнетизма в слоях Cr–Mn при содержании Mn в пределах 20–40 ат. %. Показано, что в таких структурах может наблюдаться эффект обменного смещения, но только при толщине антиферромагнитного слоя более 40 нм. Исходной причиной низких “закрепляющих” свойств слоя Cr–Mn является его слабая магнитная анизотропия, на которую накладывается нестабильность в воспроизведении микроструктуры. Применение нагрева подложки при нанесении пленок повысило воспроизводимость параметров микроструктуры и гистерезисных характеристик, но привело к ослаблению эффекта обменного смещения, по-видимому, из-за изменений в структуре и составе межслойного интерфейса.
Ключевые слова
Об авторах
А. А. Фещенко
Уральский федеральный университет им. Б.Н. Ельцина
Email: a.a.feshchenko@urfu.ru
Россия, 620002, Екатеринбург, ул. Мира, 19
М. Е. Москалев
Уральский федеральный университет им. Б.Н. Ельцина
Email: a.a.feshchenko@urfu.ru
Россия, 620002, Екатеринбург, ул. Мира, 19
С. В. Северова
Уральский федеральный университет им. Б.Н. Ельцина
Email: a.a.feshchenko@urfu.ru
Россия, 620002, Екатеринбург, ул. Мира, 19
А. Н. Горьковенко
Уральский федеральный университет им. Б.Н. Ельцина
Email: a.a.feshchenko@urfu.ru
Россия, 620002, Екатеринбург, ул. Мира, 19
В. Н. Лепаловский
Уральский федеральный университет им. Б.Н. Ельцина
Email: a.a.feshchenko@urfu.ru
Россия, 620002, Екатеринбург, ул. Мира, 19
Н. В. Селезнева
Уральский федеральный университет им. Б.Н. Ельцина
Email: a.a.feshchenko@urfu.ru
Россия, 620002, Екатеринбург, ул. Мира, 19
Е. А. Кравцов
Уральский федеральный университет им. Б.Н. Ельцина; Институт физики металлов им. М.Н. Михеева УрО РАН
Email: a.a.feshchenko@urfu.ru
Россия, 620002, Екатеринбург, ул. Мира, 19; Россия, 620108, Екатеринбург, ул. С. Ковалевской, 18
В. О. Васьковский
Уральский федеральный университет им. Б.Н. Ельцина; Институт физики металлов им. М.Н. Михеева УрО РАН
Автор, ответственный за переписку.
Email: a.a.feshchenko@urfu.ru
Россия, 620002, Екатеринбург, ул. Мира, 19; Россия, 620108, Екатеринбург, ул. С. Ковалевской, 18
Список литературы
- Gomonay E.V., Loktev V.M. Spintronics of antiferromagnetic systems // Low Temperature Phys. 2014. V. 40. № 1. P. 17–35.
- Morales R., Flores A. N., Vargas N. M., Giuliani J., Schuller I.K., Monton C. Ultradense Arrays of Sub-100 nm Co/CoO Nanodisks for Spintronics Applications // ACS Appl. Nano Mater. 2020. V. 3. № 5. P. 4037–4044.
- Xiong D., Jiang Y., Shi K., Du A., Yao Y., Guo Z., Zhu D., Cao K., Peng S., Cai W., Zhu D., Zhao W. Antiferromagnetic spintronics: An overview and outlook //Fundamental Research. 2022. V. 2. P. 522–534.
- Radu F., Zabel H. Exchange bias effect of ferro-/antiferromagnetic heterostructures // Magnetic Heterostructures: Advances and Perspectives in Spinstructures and Spintransport. 2008. P. 97–184.
- Nogués J., Schuller I.K. Exchange bias // J. Magn. Magn. Mater. 1999. V. 192. № 2. P. 203–232.
- O’Grady K., Sinclair J., Elphick K., Carpenter R., Vallejo-Fernandez G., Probert M.I.J., Hirohata A. Anisotropy in antiferromagnets // J. Appl. Phys. 2020. V. 128. № 4. P. 040901.
- O’Grady K., Fernandez-Outon L.E., Vallejo-Fernandez G. A new paradigm for exchange bias in polycrystalline thin films // J. Magn. Magn. mater. 2010. V. 322. № 8. P. 883–899.
- Maki S., Adachi K. Antiferromagnetism and Weak Ferromagnetism of Disordered bcc Cr–Mn Alloys // J. Phys. Soc. Japan. 1979. V. 46. № 4. P. 1131–1137.
- Venkatraman M., Neumann J.P. The Cr−Mn (Chromium-Manganese) system // Bulletin of Alloy Phase Diagrams. 1986. V. 7. № 5. P. 457–462.
- Feng W., Choi J., Dung D.D., Cho S., Hao X. Structural and magnetic phase diagrams of epitaxial Cr–Mn alloy thin films // J. Appl. Phys. 2010. V. 108. № 7. P. 073915.
- Soeya S., Hoshiya H., Fuyama M., Tadokoro S. Exchange coupling between ferromagnetic fcc Ni81Fe19 and antiferromagnetic bcc CrMnPt films // J. Appl. Phys. 1996. V. 80. № 2. P. 1006–1011.
- Xi H., White R.M. Exchange coupling of NiFe/CrMnPtx bilayers prepared by a substrate bias sputtering method // J. Appl. Phys. 2000. V. 87. № 1. P. 410–415.
- Soeya S., Hoshiya H., Arai R., Fuyama M. Effect of metallic additives (M) on the exchange coupling of antiferromagnetic CrMnMx films to a ferromagnetic Ni81Fe19 film // J. Appl. Phys. 1997. V. 81. № 9. P. 6488–6490.
- Васьковский В.О., Фещенко А.А., Москалев М.Е., Лепаловский В.Н., Кравцов Е.А., Горьковенко А.Н. Влияние буферных покрытий на структурное состояние и магнитные свойства пленок (Cr–Mn)/Fe // Журнал технич. физики. 2023. Т. 93. № 5. С. 679–686.
- Фещенко А.А., Москалев М.Е., Горьковенко А.Н., Лепаловский В.Н., Степанова Е.А., Кравцов Е.А., Васьковский В.О. Особенности проявления антиферромагнетизма сплава Cr–Mn в составе пленочных композитов типа (Cr–Mn)/Fe // ФТТ. 2023. Т. 65. № 6. С. 961–966.
- Radu F., Zabel H. Exchange bias effect of ferro-/antiferromagnetic heterostructures // Magnetic Heterostructures: Advances and Perspectives in Spinstructures and Spintransport. 2008. P. 97–184.
- Vas’kovskiy V.O., Kudyukov E.V., Svalov A.V., Balymov K.G., Maltseva V.E. Magnetic structure and macroscopic magnetic properties of Gd100–xCox films: Changing x from 0 to 100 // J. Magn. Magn. Mater. 2023. V. 565. P. 170254.
- Tsunoda M., Takahashi H., Takahashi M. Systematic Study for Magnetization Dependence of Exchange Anisotropy Strength in Mn–Ir/FM (FM = Ni–Co, Co–Fe, Fe–Ni) Bilayer System // IEEE Trans. Magn. 2009. V. 45. № 10. P. 3877–3880.
- Juraszek J., Fassbender J., Poppe S., Mewes T., Hillebrands B., Engel D., Kronenberger A., Ehresmann A., Schmoranzer H. Tuning exchange bias and coercive fields in ferromagnet/antiferromagnet bilayers with ion irradiation // J. Appl. Phys. 2002. V. 91. № 10. P. 6896–6898.
- Smilgies D.M. Scherrer grain-size analysis adapted to grazing-incidence scattering with area detectors // J. Appl. Crystal. 2009. V. 42. № 6. P. 1030–1034.
- Васьковский В.О., Кандаурова Г.С., Лепаловский В.Н., Сорокин А.Н., Тейтель Е.И., Щёголева Н.Н. Особенности электрических, магнитоэлектрических свойств и микроструктура пленок пермаллоя // Металлофизика. 1991. Т. 13. № 6. С. 107–115.
Дополнительные файлы









