Распад метастабильной бета-фазы в высокопрочных титановых сплавах VST5553, Ti–10V–2Fe–3Al и BETA-21S
- Авторы: Калиенко М.С.1,2, Желнина А.В.1,2, Попов А.А.1,2,3
-
Учреждения:
- ПАО “Корпорация ВСМПО-АВИСМА”
- ФГАОУ ВО Уральский федеральный университет имени первого Президента России Б.Н. Ельцина
- Институт физики металлов УрО РАН
- Выпуск: Том 124, № 9 (2023)
- Страницы: 854-860
- Раздел: СТРУКТУРА, ФАЗОВЫЕ ПРЕВРАЩЕНИЯ И ДИФФУЗИЯ
- URL: https://journal-vniispk.ru/0015-3230/article/view/139491
- DOI: https://doi.org/10.31857/S0015323023601198
- EDN: https://elibrary.ru/YYTIKR
- ID: 139491
Цитировать
Полный текст
Аннотация
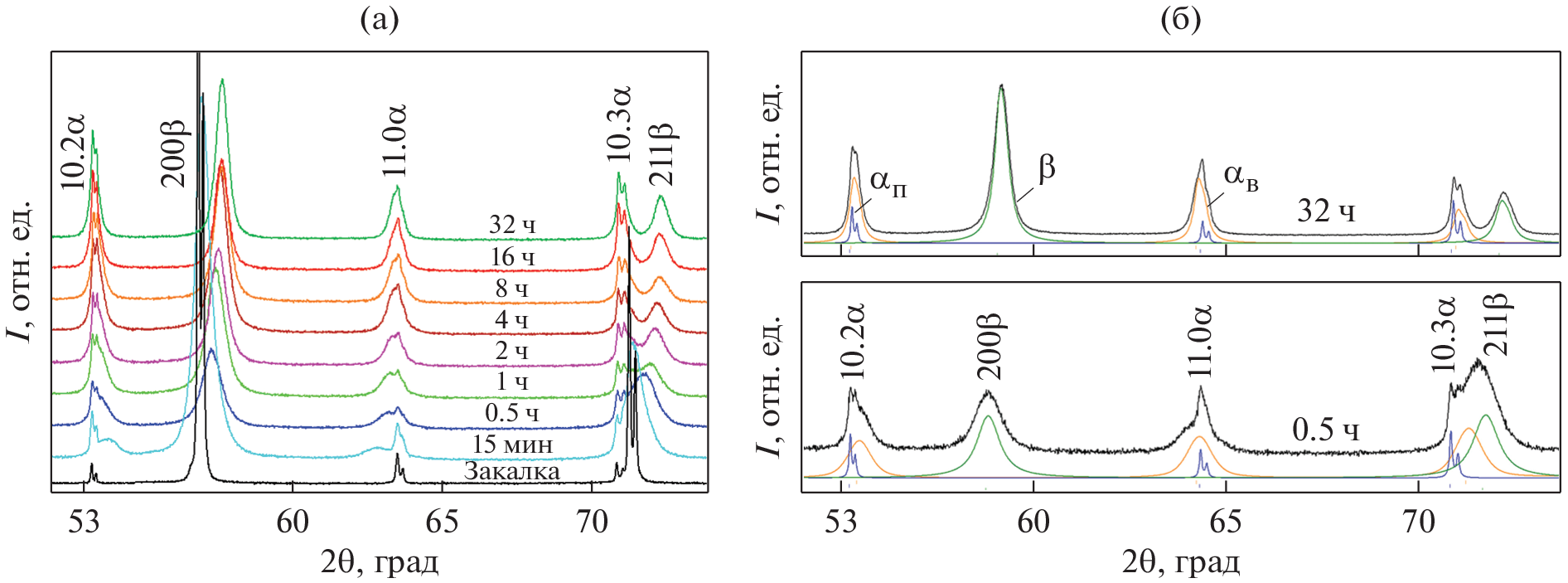
Представлены результаты исследования распада метастабильной β-фазы при старении сплавов Ti–10V–2Fe–3Al, VST5553 (Ti–5Al–5V–5Mo–3Cr–0.5Fe) и Beta-21S (Ti–3Al–15Mo–2.7Nb–0.2Si вес. %). Проведено сравнительное исследование эволюции микроструктуры и изменения периодов кристаллической решетки фаз в сплавах при старении. Морфологию вторичной α-фазы, образующейся при старении, исследовали с помощью растровой электронной микроскопии. Сопутствующее диффузионное перераспределения легирующих элементов между фазами оценивали с помощью метода полнопрофильного рентгеноструктурного анализа и проведения термодинамического моделирования в программе JMatPRO и численных расчетов. Установлено, что в процессе старения изменение периодов кристаллических решеток в исследованных сплавах имеет общую закономерность, что связано с единой природой процесса диффузионного перераспределения легирующих элементов между фазами.
Ключевые слова
Об авторах
М. С. Калиенко
ПАО “Корпорация ВСМПО-АВИСМА”; ФГАОУ ВО Уральский федеральный университет имени первого Президента России Б.Н. Ельцина
Email: kamak@yandex.ru
Россия, 624760, Верхняя Салда, ул. Парковая, 1; Россия, 620002, Екатеринбург, ул. Мира, 19
А. В. Желнина
ПАО “Корпорация ВСМПО-АВИСМА”; ФГАОУ ВО Уральский федеральный университет имени первого Президента России Б.Н. Ельцина
Email: kamak@yandex.ru
Россия, 624760, Верхняя Салда, ул. Парковая, 1; Россия, 620002, Екатеринбург, ул. Мира, 19
А. А. Попов
ПАО “Корпорация ВСМПО-АВИСМА”; ФГАОУ ВО Уральский федеральный университет имени первого Президента России Б.Н. Ельцина; Институт физики металлов УрО РАН
Автор, ответственный за переписку.
Email: kamak@yandex.ru
Россия, 624760, Верхняя Салда, ул. Парковая, 1; Россия, 620002, Екатеринбург, ул. Мира, 19; Россия, 620108, Екатеринбург, ул. С. Ковалевской, 18
Список литературы
- Полькин И.С. Упрочняющая термическая обработка титановых сплавов. М.: Металлургия, 1984. 96 с.
- Ильин А.А. Механизм и кинетика фазовых и структурных превращений в титановых сплавах. М.: Наука, 1994. 304 с.
- Цвиккер У. Титан и его сплавы. М.: Мир, 1979. 512 с.
- Ильин А.А., Колачев Б.А., Полькин И.С. Титановые сплавы. Состав, структура, свойства / Справочник. М.: ВИЛС, 2009. 520 с.
- Полькин И.С., Егорова Ю.Б., Давыденко Л.В. Статистическая оценка свойств титановых сплавов // Технология легких сплавов. 2015. № 1. С. 27–36.
- Wang C.Y., Yang L.W., Cui Y.W., Pérez-Prado M.T. High throughput analysis of solute effects on the mechanical behavior and slip activity of beta titanium alloys // Mater. Des. 2018. V. 137. P. 371–383.
- Zhang Y., Tang B., Kou H., Wang H., Wang J., Xu D., Lin D. Revealing the local lattice strains and strengthening mechanisms of Ti alloys // Comput. Mater. Sci. 2018. V. 152. P. 169–177.
- Pan Y., Sun Q., Xiao L., Ding X., Juan L. Plastic deformation behavior and microscopic mechanism of metastable Ti–10V–2Fe–3Al alloy single crystal pillars orientated to 〈011〉β in submicron scales Part II: Phase transformation dependence of size effect and deformation mechanism // Mater. Sci. Eng. A. 2019. V. 743. P. 804–810.
- Желнина А.В., Калиенко М.С., Щетников Н.В., Водолазский Ф.В. Эволюция структурно-фазового состояния в закаленном титановом сплаве Ti–10V–2Fe–3Al при старении // Неорганические материалы. 2021. Т. 57. № 4. С. 449–456.
- Желнина А.В., Калиенко М.С., Илларионов А.Г., Щетников Н.В. Трансформация структуры, параметров фаз при старении сплава титана Ti–10V–2Fe–3Al и их связь упрочнением // Физика металлов и металловедение. 2020. Т. 121. № 12. С. 1324–1330.
- Bein S., Bechet J. Phase transformation kinetics and mechanisms in titanium alloys Ti-6.2. 4.6, β-CEZ and Ti-10.2. 3 // Le Journal de Physique IV. 1996. V. 6. № 1. P. 99–108.
- Калиенко М.С., Желнина А.В., Илларионов А.Г. Влияние скорости нагрева до температуры старения на структуру и упрочнение титанового сплава TI–10V–2FE–3AL с разным содержанием углерода // Физика металлов и металловедение. 2022. Т. 123. № 6. С. 621–629.
- Maeda T., Flower H.M. Element Partitioning Behavior in Commercial β Titanium Alloys / Proceedings of the 11th World Conference on Titanium, Kyoto, Japan, 2007. P. 443–446.
- Malinov S., Sha W., Markovsky P. Experimental study and computer modelling of the β → α+ β phase transformation in β21s alloy at isothermal conditions // J. Alloys Compd. 2003. V. 348. № 1–2. P. 110–118.
- Jones N.G., Dashwood R.J., Jackson M., Dye D. β Phase decomposition in Ti–5Al–5Mo–5V–3Cr // Acta Mater. 2009. V. 57. № 13. P. 3830–3839.
- Goetz M., Dehmas M., Appolaire B., Aeby-Gautier E., Andrieu S., Billot T. Decomposition of the β phase at intermediate temperature in β-metastable Ti-5553 alloy // MATEC Web of Conferences. EDP Sciences, 2020. V. 321. P. 12024.
- Cotton J.D., Briggs R.D., Boyer R.R., Tamirisakandala S., Russo P., Shchetnikov N., Fanning J.C. State of the Art in Beta Titanium Alloys for Airframe Applications // JOM. 2015. V. 67. P. 1281–1303.
- Bignon M., Bertrand E., Rivera-Díaz-Del-Castillo P.E., Tancret F. Martensite formation in titanium alloys: Crystallographic and compositional effects // J. Alloys Compd. 2021. V. 872. P. 159636.
- Fitzner A., Thomas M., Fonseca J.Q.D., Zhang S.Y., Kelleher J., Preuss M. The effect of aluminium on deformation and twinning in alpha titanium: the ND case / Proceedings of the 13th World Conference on Titanium. Hoboken, NJ, USA: John Wiley & Sons, Inc., 2016. P. 1051–1055.
- Aurelio G., Guillermet A.F., Cuello G.J., Campo J. Metastable Phases in the Ti–V System: Part I. Neutron Diffraction Study and Assessment of Structural Properties // Metall. Mater. Trans. A. 2002. V. 33. P. 1307–1317.
- Huang S., Zhang J., Ma Y., Zhang S., Youssef S.S., Qi M., Yang R. Influence of thermal treatment on element partitioning in α + β titanium alloy // J. Alloys Compd. 2019. V. 791. P. 575–585.
Дополнительные файлы








