Структурно-фазовое состояние высокоэнтропийного сплава NbTiHfVZr
- Авторы: Абзаев Ю.А.1, Гуда С.А.2,3, Гуда А.А.2,3, Зеленков А.А.1, Колесников В.И.3
-
Учреждения:
- Томский государственный архитектурно-строительный университет
- Международный исследовательский институт интеллектуальных материалов, Южный федеральный университет
- Ростовский государственный университет путей сообщения
- Выпуск: Том 124, № 8 (2023)
- Страницы: 739-747
- Раздел: СТРУКТУРА, ФАЗОВЫЕ ПРЕВРАЩЕНИЯ И ДИФФУЗИЯ
- URL: https://journal-vniispk.ru/0015-3230/article/view/139492
- DOI: https://doi.org/10.31857/S0015323023600636
- EDN: https://elibrary.ru/SNGOAW
- ID: 139492
Цитировать
Полный текст
Аннотация
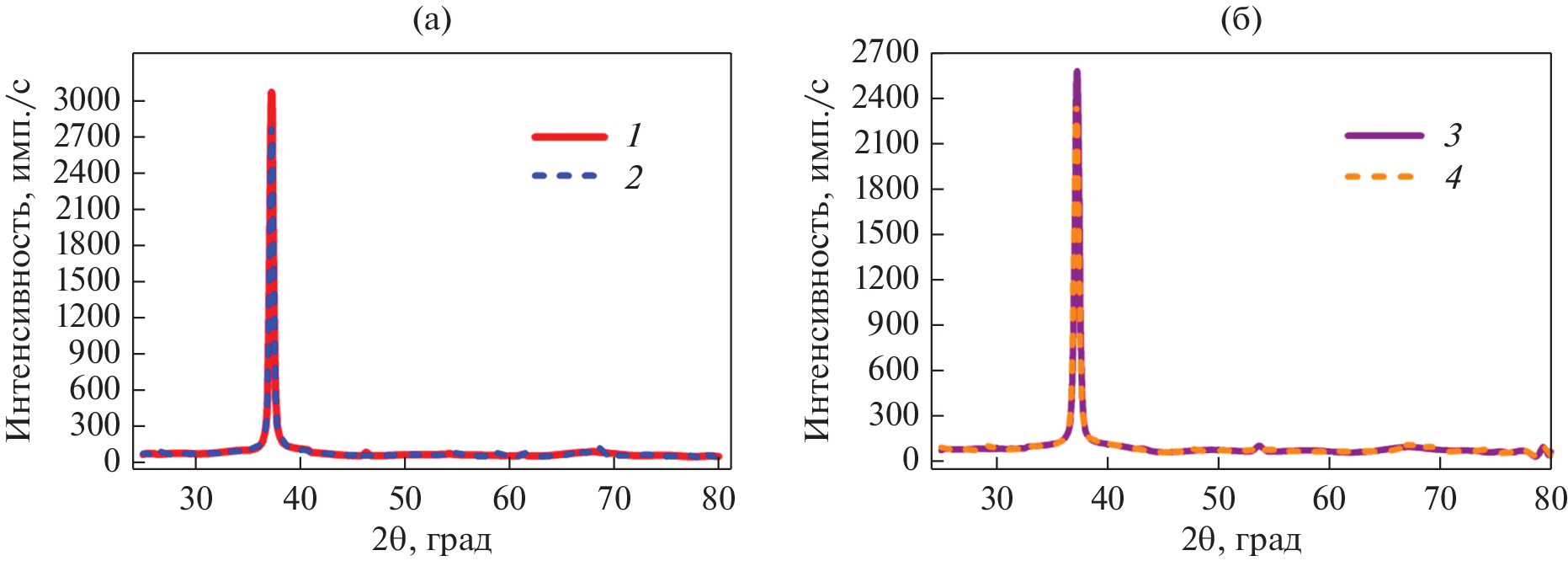
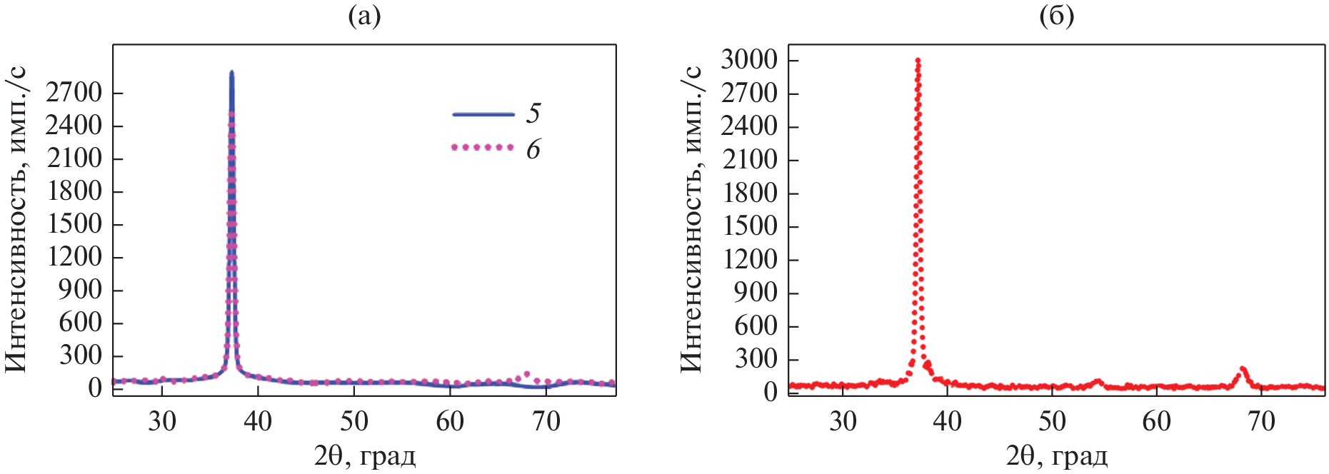
Приведены результаты исследования стабильности высокоэнтропийного сплава NbTiHfVZr на основе анализа критических показателей Юм-Розери, энтальпии двойных сплавов методом Miedema, энтропии смешения сплава NbTiHfVZr вблизи температуры плавления. Методом обратных выпуклых оболочек (InveseHubWeb) обнаружены температурные интервалы стабильности, которые для сплава NbTiHfVZr распространяются от температуры плавления до 1200 K. В случае NbTiHfZr температурный интервал стабильности распространяется вплоть до комнатной температуры. Полученные результаты свидетельствуют о том, что сплавы NbTiHfVZr, NbTiHfZr относятся к высокоэнтропийным, решетки которых принадлежат к классу однофазных одноэлементных твердых растворов. Методом Ритвельда на основе известной экспериментальной дифрактограммы было установлено, что кубические решетки HfNbTiVZr, Hf2Nb2Ti2V2Zr2, NbHfTiZr и Hf2Nb2Ti2Zr2 с пространственной группой P1, найденные с помощью кода USPEX, вносят доминирующий вклад в интегральную интенсивность. В работе для кубических решеток HfNbTiVZr, Hf2Nb2Ti2V2Zr2, NbHfTiZr и Hf2Nb2Ti2Zr2 была установлена полная структурная информация: параметры решеток, координаты атомов, пространственная группа, занятость узлов и т.д. Указанные сплавы характеризуются высокой связанной энергией, стабильны и в соответствии с найденными упругими модулями при комнатной температуре относятся к высокопрочным материалам. Кубические решетки HfNbTiVZr, Hf2Nb2Ti2V2Zr2, NbHfTiZr и Hf2Nb2Ti2Zr2 могут быть включены в кристаллографическую базу данных, используемой для идентификации структурного состояния ВЭС сплавов NbTiHfZr, NbTiHfVZr.
Ключевые слова
Об авторах
Ю. А. Абзаев
Томский государственный архитектурно-строительный университет
Email: Abzaev2010@yandex.ru
Россия, 634009, Томск, пл. Соляная, 2
С. А. Гуда
Международный исследовательский институт интеллектуальных материалов,Южный федеральный университет; Ростовский государственный университет путей сообщения
Email: Abzaev2010@yandex.ru
Россия, 344090, Ростов-на-Дону, ул. Андрея Сладкова, 178/24; Россия, 344038, Ростов-на-Дону, пл. Ростовского Стрелкового Полка Народного Ополчения, 2,
А. А. Гуда
Международный исследовательский институт интеллектуальных материалов,Южный федеральный университет; Ростовский государственный университет путей сообщения
Email: Abzaev2010@yandex.ru
Россия, 344090, Ростов-на-Дону, ул. Андрея Сладкова, 178/24; Россия, 344038, Ростов-на-Дону, пл. Ростовского Стрелкового Полка Народного Ополчения, 2,
А. А. Зеленков
Томский государственный архитектурно-строительный университет
Email: Abzaev2010@yandex.ru
Россия, 634009, Томск, пл. Соляная, 2
В. И. Колесников
Ростовский государственный университет путей сообщения
Автор, ответственный за переписку.
Email: Abzaev2010@yandex.ru
Россия, 344038, Ростов-на-Дону, пл. Ростовского Стрелкового Полка Народного Ополчения, 2,
Список литературы
- Fazakas É., Zadorozhnyy V., Varga L.K., Inoue A., Louzguine-Luzgin D.V., Tian F., Vitos L. Experimental and theoretical study of Ti20Zr20Hf20Nb20X20 (X = V or Cr) refractory high-entropy alloys // Int. J. Refractory Metals and Hard Materials. 2014. V. 47. P. 131–138.
- Wu Y.D., Cai Y.H., Wang T., Si J.J., Zhu J., Wang Y.D., Hui X.D. A refractory Hf25Nb25Ti25Zr25 high-entropy alloy with excellent structural stability and tensile properties // Mater. Letters. 2014. V. 130. P. 277–280.
- Senkov O.N., Wilks G.B. Mechanical properties of Nb25Mo25Ta25W25 and V20Nb20Mo20Ta20W20 refractory high entropy alloys // Intermetallics. 2011. V. 19(5). P. 698–706.
- Li Z., Pradeep K., Deng Y., Raabe D., Tasan C.C. Metastable high-entropy dual-phase alloys overcome the strength–ductility trade-off // Nature. 2016. V. 534. P. 227–230.
- Li R., Xie L., Wang W., Liaw P.K., Zhang Y. High-Throughput Calculations for High-Entropy Alloys: A Brief Review // Frontier in Materials. 2020. V. 7. P. 1–12.
- Lee K., Ayyasamy M.V., Delsa P., Hartnett T.Q., Balachandran P.V. Phase classification of multi-principal element alloys via interpretable machine learning // Comp. Mater. 2022. V. 8. 25. P. 1–12.
- Rajendrachari S. An Overview of High-Entropy Alloys Prepared by Mechanical Alloying Followed by the Characterization of Their Microstructure and Various Properties // Alloys. 2022. V. 1 (2). P. 116–134.
- Zhang Y., Zhou Y.J., Lin J.P., Chen G.L., Liaw P.K. Solid-Solution Phase Formation Rules for Multi-component Alloys // Adv. Eng. Mater. 2008. V. 10. P. 534–538.
- Eshed E., Larianovsky N., Kovalevsky A., Popov V.Jr., Gorbachev I., Popov V., Katz-Demyanetz A. Microstructural Evolution and Phase Formation in 2nd-Generation Refractory-Based High Entropy Alloys // Materials. 2018. V. 11. P. 75. https://doi.org/10.3390/ma11020175
- Ryltsev R.E., Estemirova S.Kh., Gaviko V.S., Yagodin D.A., Bykov V.A., Sterkhov E.V., Cherepanova L.A., Sipatov I.S., Balyakin I.A., Uporov S.A. Structural evolution in TiZrHfNb high-entropy alloy // Materialia. 2022. V. 21. P. 101311. https://doi.org/10.1016/j.mtla.2021.101311
- Rogachev A., Kovalev D., Fourmont A. Vadchenko S., Kochetov N., Shkodich N., Baras F, Politano O., Moskovskikh D. Structural Transformations in Medium- and High-Entropy Alloy Systems in Course of High-Energy Ball Milling // Int. J Self-Propag. High-Temp. Synth. 2022. V. 31. P. 62–68.
- Ахметов Н.С. Общая и неорганическая химия. Учеб. Для вузов. 4-е издание. М.: Высш. шк. Изд-во “Академия”, 2001. 743 с.
- Oganov A.R., Glass C.W. Crystal structure prediction using ab initio evolutionary techniques: Principles and applications // J. Chem. Phys. 2006. V. 124 (24). P. 244704. https://doi.org/10.1063/1.2210932
- Oganov A.R., Lyakhov A.O., Valle M. How Evolutionary Crystal Structure Prediction Works and Why // Accounts Chem. Research. 2011. V. 44 (3). P. 227–237.
- Электронный доступ: https://www.aflowlib.org/search.
- Электронный доступ: https://materialsproject.org/.
- Evans D., Chen J., Bokas G., Chen W., Hautier G., Sun W. Visualizing temperature-dependent phase stability in high entropy alloys // Comput. Mater. 2021. V. 7. № 151. P. 1–9.
- Bokas G.B., Chen W., Hilhorst A., Jacques P.J., Gorsse S., Hautier G. Unveiling the thermodynamic driving forces for high entropy alloys formation through big data ab initio analysis // Scripta Materialia. 2021. V. 202. P. 1–5.
- Kosmachev P.V., Abzaev Yu.A., Vlasov V.A. Quantitative phase analysis of plasma-treated high-silica materials // Russian Physics Journal. 2018. V. 61. № 2. P. 264–269.
- Ivanov Yu.F., Abzaev Y.A., Gromov V.E., Konovalov S.V., Klopotov A A. and Semin A.P. Phase analysis and structural state of AlCoFeCrNi high-entropy alloy of nonequiatomic composition // AIP Conference Proceedings. 2022. V. 2509. P. 020087. https://doi.org/10.1063/5.0085244
- Guo S., Liu C.T. Phase stability in high entropy alloys: Formation of solid-solution phase or amorphous phase // Progress Natural Sci.: Material International. 2020. V. 21. P. 43–446.
- Yeh J, Chen S, Lin S, Gan J, Chin T, Shun T.-T., Tsau C.-H., Chang S.-Y. Nanostructured high-entropy alloys with multiple principal elements: novel alloy design concepts and outcomes // Advance Engineering Materials. 2004. V. 6 (5). P. 299–303.
- Yeh J.W. Alloy Design Strategies and Future Trends in High-Entropy Alloys // JOM. 2013. V. 65. P. 1759–1771.
- Zhang R.F., Zhang S.H., He Z.J., Jing J., Sheng S.H. Miedema Calculator: A thermodynamic platform for predicting formation enthalpies of alloys within framework of Miedema’s Theory // Computer Physics Communications. 2016. V. 209. P. 58–69.
- Электронный доступ: https://en.wikipedia.org/wiki/ Melting_points_of_the_elements.
- Daryoush S., Mirzadeh H., Ataie A. Amorphization, mechano-crystallization, and crystallization kinetics of mechanically alloyed AlFeCuZnTi high-entropy alloys // Materials Letters. 2022. V. 307. P. 131098. https://doi.org/10.1016/j.matlet.2021.131098
- Bäker M. Calculating phase diagrams with ATAT //arXiv: 1907.10151v1. https://doi.org/10.48550/arXiv.1907.10151
- Электронный доступ: http://nano.sfedu.ru/ru/ structure/facilities/supercomputer-blokhin/.
Дополнительные файлы








