Nanosize Dependence of the Mutual Solubility in the Solid State in the Mo–Ru Metal System
- Authors: Afashagov A.A.1, Shebzukhova M.A.1, Bzhikhatlov K.C.1, Tsipinova A.K.1
-
Affiliations:
- Kabardino-Balkarian State University named after Kh.M. Berbekov
- Issue: Vol 124, No 10 (2023)
- Pages: 939-948
- Section: СТРУКТУРА, ФАЗОВЫЕ ПРЕВРАЩЕНИЯ И ДИФФУЗИЯ
- URL: https://journal-vniispk.ru/0015-3230/article/view/232659
- DOI: https://doi.org/10.31857/S0015323023600740
- EDN: https://elibrary.ru/RGHTPA
- ID: 232659
Cite item
Full Text
Abstract
Abstract—
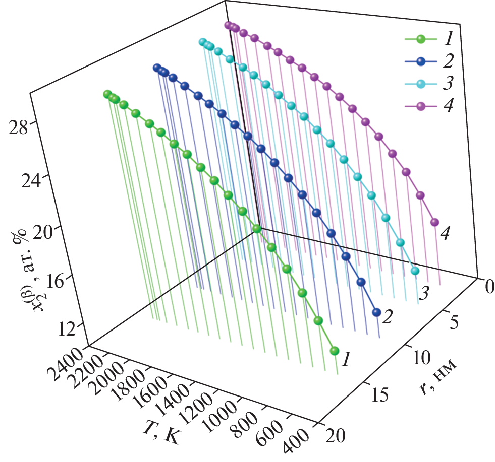
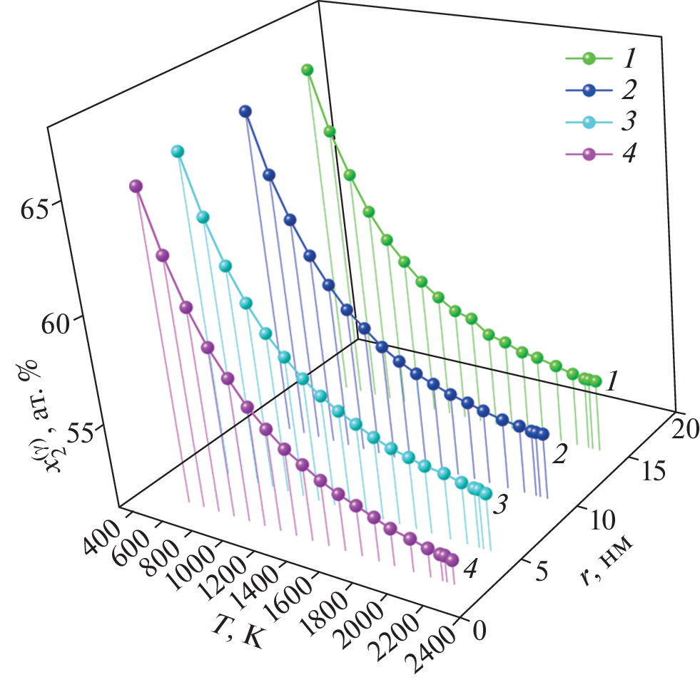
The present work is devoted to constructing a method for calculating the solubility curves of molybdenum and ruthenium in the solid state in the binary Mo–Ru system with consideration of nanoscale effects. The approach is based on the thermodynamics of phase equilibria, taking into account the surface phenomena within the framework of the Gibbs thermodynamic method of separating surfaces. The surface tension is chosen as such a separating surface. The calculations of solubility were performed taking into account the dimensional dependences of the individual characteristics of metals and the parameters of interparticle interaction in the phases. A good agreement of the obtained results with the available experimental data for the macroscopic case is observed.
Keywords
About the authors
A. A. Afashagov
Kabardino-Balkarian State University named after Kh.M. Berbekov
Author for correspondence.
Email: sh-madina@mail.ru
Russia, 360004, Nalchik
M. A. Shebzukhova
Kabardino-Balkarian State University named after Kh.M. Berbekov
Email: sh-madina@mail.ru
Russia, 360004, Nalchik
K. Ch. Bzhikhatlov
Kabardino-Balkarian State University named after Kh.M. Berbekov
Email: sh-madina@mail.ru
Russia, 360004, Nalchik
A. Kh. Tsipinova
Kabardino-Balkarian State University named after Kh.M. Berbekov
Email: sh-madina@mail.ru
Russia, 360004, Nalchik
References
- Родунер Э. Размерные эффекты в наноматериалах. М.: Техносфера, 2010. 352 с.
- Андриевский Р.А. Основы наноструктурного материаловедения. Возможности и проблемы. М.: Лаборатория знаний, 2020. 255 с.
- Землянов М.Г., Панова Г.Х., Сырых Г.Ф., Шиков А.А. Влияние размерного эффекта на колебательные и электронные свойства нанокомпозитов Cu–Pb // ФТТ. 2006. Т. 48. № 1. С. 128–132.
- Kosacki I., Rouleau Ch.M., Becher P.F., Bentley J., Lowndes D. Nanoscale effects on the ionic conductivity in highly textured YSZ thin films // Solid State Ionics. 2005. V. 176. P. 1319–1326.
- Андриевский Р.А., Дашевский З.М., Калинников Г.В. Проводимость и коэффициент Холла наноструктурных пленок нитрида титана // Письма в ЖТФ. 2004. Т. 30. № 22. С. 1–7.
- Zhong W.H., Sun Ch.Q., Li S. Size effect on the magnetism of nanocrystalline Ni films at ambient temperature // Solid State Commun. 2004. V. 130. P. 603–606.
- Rafaja D., Havela L., Kužel R., Wastin F., Colineau E., Gouder T. Real structure and magnetic properties of UN thin films // J. Alloys Compounds. 2005. V. 386. P. 87–95.
- Русанов А.И. Условие фазового равновесия растворимых наночастиц // Коллоидный журн. 2006. Т. 68. № 3. С. 368–374.
- Самсонов В.М. О проблеме фазового состояния наночастиц // Известия РАН. Серия физическая. 2005. Т. 69. № 7. С. 1036–1038.
- Кузамишев А.Г., Шебзухова М.А., Шебзухов А.А. Влияние размера на температуру плавления наночастиц // Известия РАН. Серия физическая. 2021. Т. 85. № 9. С. 1263–1266.
- Цюй Я.Д, Лян С.Л., Кун С.Ц., Чжан В.Ц. Размерные зависимости энергии когезии, температуры плавления и температуры Дебая сферических металлических частиц // ФММ. 2017. Т. 118. № 6. С. 558–564.
- Цю Я., Лью В., Чжан В., Чжай Ч. Теоретическое изучение влияния размерного фактора на энтропию и энтальпию плавления для наночастиц олова, серебра, меди и индия // ФММ. 2019. Т. 120. № 5. С. 451–456.
- Кузамишев А.Г., Шебзухова М.А., Бжихатлов К.Ч., Шебзухов А.А. Размерные зависимости теплофизических свойств наночастиц. Поверхностное натяжение // ТВТ. 2022. Т. 60. № 3. С. 343–349.
- Афашагов А.А., Шебзухова М.А., Шебзухов А.А. Термодинамические характеристики границ раздела конденсированных фаз в бинарных и металлических сплавах // ФТТ. 2022. Т. 64. № 10. С. 1585–1590.
- Гладких Н.Т., Дукаров С.В., Крышталь А.П., Ларин В.И., Сухов В.Н. Капиллярные свойства островковых пленок и малых частиц. Х.: ХНУ имени В.Н. Каразина, 2015. 212 с.
- Чижик С.П., Гладких Н.Т., Григорьева Л.К., Куклин Р.Н., Степанова С.В., Чмель С.В. Смещение границ растворимости в высокодисперсных системах // Изв. АН СССР. Металлы. 1985. № 2. С. 175–181.
- Миненков А.А., Крышталь А.П. Влияние характерного размера на твердофазную растворимость в пленочной системе Ag–Ge // Физич. инженерия поверхности. 2015. Т.13. № 2. С. 259–263.
- Палатник Л.С., Бойко Б.Т. О диаграмме состояния сплавов Al–Cu в тонких пленках // ФММ. 1961. Т. 11. № 1. С. 123–127.
- Кошкин В.М., Слезов В.В. Легирование наночастиц // ЖТФ. 2004. Т. 30. № 9. С. 38–43.
- Львов П.Е., Светухин В.В. Влияние наноразмерных эффектов на фазовый состав // Письма в ЖТФ. 2009. Т. 35. № 22. С. 33–39.
- Львов П.Е., Светухин В.В., Обухов А.В. Термодинамика фазового равновесия бинарных сплавов, содержащих наноразмерные преципитаты // ФТТ. 2011. Т. 53. № 2. С. 394–399.
- Львов П.Е., Светухин В.В. Термодинамика фазового равновесия многокомпонентных твердых растворов, содержащих наноразмерные выделения второй фазы // ФТТ. 2013. Т. 55. № 11. С. 2256–2261.
- Novy S., Pareige P., Pareige C. Atomic scale analysis and phase separation understanding in a thermally aged Fe–20% Cr alloy // J. Nuclear Mater. 2009. V. 384. № 2. P. 96–102.
- Шебзухова М.А., Шебзухов А.А. Межфазная сегрегация на искривленных границах в бинарных системах // Изв. РАН. Сер. физическая. 2007. Т. 71. № 5. С. 755–757.
- Шебзухова М.А., Шебзухов А.А. Межфазное натяжение на границе двух конденсированных фаз в бинарной системе с учетом наноразмерных эффектов // Известия РАН. Серия физическая. 2016. Т. 80. № 6. С. 789–792.
- Шебзухова М.А., Шебзухов А.А. Влияние наноразмерных эффектов на состав сосуществующих фаз в бинарной системе с искривленными границами // ФТТ. 2017. Т. 59. № 7. С. 1368–1378.
- Шебзухова М.А., Шебзухов А.А. Фазовая диаграмма состояния и межфазные характеристики в бинарной системе // ФТТ. 2018. Т. 60. № 1. С. 180–186.
- Шебзухова М.А., Шебзухов А.А. Фазовое равновесие и поверхностные характеристики в бинарной системе, содержащей наноразмерные частицы // ФТТ. 2018. Т. 60. № 2. С. 390–395.
- Русанов А.И. Фазовые равновесия и поверхностные явления. Л.: Химия, 1967. 388 с.
- Шебзухова М.А., Шебзухов А.А. Размерные зависимости межфазного натяжения на границе твердое тело-жидкость и температуры плавления металлических наночастиц // Изв. РАН. Сер. физическая. 2012. Т. 76. № 7. С. 863–867.
- Коган В.Б. Гетерогенные равновесия. Л.: Химия, 1968. 432 с.
- Tanaka T. Prediction of phase diagrams in nano-sized binary alloys // Mater. Sci. Forum. 2010. V. 653. P. 55–75.
- Смирнов А.А. Молекулярно-кинетическая теория металлов. М.: Наука, 1966. 488 с.
- Кауфман Л., Бернстейн Х. Расчет диаграмм состояния с помощью ЭВМ. М.: Мир, 1972. 326 c.
- Okamoto H. Mo-Ru (Molybdenum-Ruthenium) // J. Phase Equilibria 2000. V. 21. № 6. P. 572.
- Лякишев Н.П. Диаграммы состояния двойных металлических систем. Т. 3. Кн. 1. М.: Машиностроение, 2001. 872 c.
- Попель С.И. Поверхностные явления в расплавах. М.: Металлургия, 1994. 440 с.
- Frenkel A.I., Yevick A., Cooper Ch., Vasic R. Modeling the Structure and Composition of Nanoparticles by Extended X-Ray Absorption Fine-Structure Spectroscopy // Annual Review of Analytical Chemistry. 2011. V. 4. P. 23–39.
- Шебзухова М.А., Шебзухов З.А., Шебзухов А.А. Параметр Толмена, автоадсорбция и поверхностное натяжение на плоских и искривленных поверхностях жидких металлов // Изв. РАН. Сер. физическая. 2010. Т. 74. № 5. С. 729–736.
- Русанов А.И. Лекции по термодинамике. СПб.: Лань, 2013. 240 с.
- Байдов В.В., Кунин Л.Л. К вопросу о связи скорости звука с поверхностным натяжением металлов / В кн.: Поверхностные явления в расплавах и возникающих из них твердых фазах под ред. С.Н. Задумкина. Нальчик: Кабардино-Балкарское книжн. изд-во, 1965. С. 89–93.
- Шебзухов З.А., Шебзухова М.А., Шебзухов А.А. Поверхностное натяжение и поверхностная энергия металлических наночастиц // Изв. Кабардино-Балкарского гос. ун-та. 2010. № 1. С. 17–58.
- Jiang Q., Lu H.M. Size dependent interface energy and its applications // Surf. Sci. Rep. 2008. V. 63. P. 427–464.
- Магомедов М.Н. Изучение межатомного взаимодействия, образования вакансий и самодиффузии в кристаллах. М.: Физматлит, 2010. 544 с.
- Шебзухов А.А., Осико Т.П., Кожокова Ф.М., Мозговой А.Г. Поверхностное натяжение жидких щелочных металлов и их сплавов / В кн.: Обзоры по теплофизическим свойствам веществ № 5(31). М.: ИВТАН, 1981. 142c.
- Шебзухова М.А., Шебзухов З.А., Шебзухов А.А. Межфазное натяжение кристаллической наночастицы в жидкой материнской фазе в однокомпонентной металлической системе // ФТТ. 2012. Т. 54. № 1. С. 173–181.
- Новикова С.И. Тепловое расширение твердых тел. М.: Наука, 1974. 294 с.
- Скрипов В.П., Файзуллин М.З. Фазовые переходы кристалл–жидкость–пар и термодинамическое подобие. М.: Физматлит, 2003. 160 с.
Supplementary files





