Formation of Chemical Short-Range Order in Equiatomic CoNiCrFeMn High-Entropy Alloy. Atomistic MD/MC Simulation
- Authors: Karkin I.N.1, Karkina L.E.1, Gornostyrev Y.N.1
-
Affiliations:
- Mikheev Institute of Metal Physics, Ural Branch, Russian Academy of Sciences
- Issue: Vol 124, No 10 (2023)
- Pages: 971-977
- Section: СТРУКТУРА, ФАЗОВЫЕ ПРЕВРАЩЕНИЯ И ДИФФУЗИЯ
- URL: https://journal-vniispk.ru/0015-3230/article/view/232670
- DOI: https://doi.org/10.31857/S0015323023600971
- EDN: https://elibrary.ru/HRJFZC
- ID: 232670
Cite item
Full Text
Abstract
Abstract
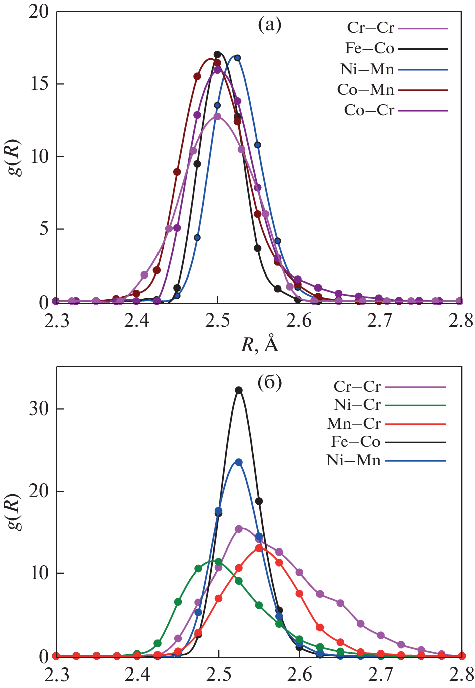
—The formation of short-range order in the equiatomic high-entropy alloy (HEA) CoNiCrFeMn during annealing at moderate temperatures was studied using atomistic MD/MC simulation, including the exchange of atoms in the Monte Carlo (MC) scheme and the relaxation of its positions by the molecular dynamics (MD) method. It has been found that two types of chemical short range order (CSRO) regions are formed during annealing. One of them consist mainly of Fe and Co atoms, while others are enriched by Cr with Ni and Mn atoms at their boundaries. It is shown that the formation of short-range order includes several stages, the sequence of which is determined by the value of Cr–Cr, Fe–Co and Ni–Mn interatomic interactions.
About the authors
I. N. Karkin
Mikheev Institute of Metal Physics, Ural Branch, Russian Academy of Sciences
Email: lidiakarkina@gmail.com
Russia, 620108, Ekaterinburg
L. E. Karkina
Mikheev Institute of Metal Physics, Ural Branch, Russian Academy of Sciences
Author for correspondence.
Email: lidiakarkina@gmail.com
Russia, 620108, Ekaterinburg
Yu. N. Gornostyrev
Mikheev Institute of Metal Physics, Ural Branch, Russian Academy of Sciences
Email: lidiakarkina@gmail.com
Russia, 620108, Ekaterinburg
References
- Zhang Y., Zuo T.T., Tang Z., Gao M.C., Dahmen K.A., Liaw P.K., Lu Z.P. Microstructures and properties of high-entropy alloys // Prog. Mater. Sci. 2014. V. 61. P. 1–93.
- Miracle D.B., Senkov O.N. A critical review of high entropy alloys and related concepts // Acta Mater. 2017. V. 122. P. 448–511.
- Tokarewicz M., Gradzka-Dahlke M. Review of Recent Research on AlCoCrFeNi High-Entropy Alloy //Metals. 2021. V. 11. P. 1302–1316.
- Cantor B., Chang I.T.H., Knight P., Vincent A.J.B. Microstructural development in equiatomic multicomponent alloys // Mater. Sci. Eng. A. 2004. V. 375–377. P. 213–218.
- Otto F., Dlouhý A., Pradeep K.G., Kuběnová M., Raabe D., Eggeler G. Decomposition of the single-phase high-entropy alloy CrMnFeCoNi after prolonged anneals at intermediate temperatures // Acta Materialia. 2016. V. 112. P. 40–52.
- Laurent-Brocq M., Akhatova A., Perrière L., Chebini S., Sauvage X., Leroy E., Champion Y. Insights into the phase diagram of the CrMnFeCoNi high entropy alloy // Acta Mater. 2015. V. 88. P. 355–365.
- Schuh B., Mendez-Martin F., Volker B., George E.P., Clemenb H., Pippan R., Hohenwarter A. Mechanical properties, microstructure and thermal stability of a nanocrystalline CoCrFeMnNi high-entropy alloy after severe plastic deformation // Acta Mater. 2015. V. 96. P. 258–268.
- Huang X., Liu L., Duan X., Liao W., Huang J., SunH., Yu Y. Atomistic simulation of chemical short-range order in HfNbTaZr high entropy alloy based on a newly-developed interatomic potential // Mater. Design. 2021. V. 2021. P. 09560.
- Antillon E., Woodward C., Rao S.I., Akdim B., Parthasarathy T.A. Chemical short-range order strengthening in a model FCC high entropy alloy // Acta Mater. 2020. V. 190. P. 29–42.
- Jiana W.-R., Xieb Z., Xu S., Su Y., Yao X., Beyerlein I.J. Effects of lattice distortion and chemical short-range order on the mechanisms of deformation in medium entropy alloy CoCrNi // Acta Mater. 2020. V. 199. P. 352–369.
- Xing B., Wang X., Bowmana W.J., Cao P. Short-range order localizing diffusion in multi-principal element alloys // Scripta Mater. 2022. V. 210. P. 114450.
- Zhang F. X., Zhao S., Jin K., Xue H., Velisa G., Bei H., Huang R., Ko J.Y.P., Pagan D.C., Neuefeind J.C., Weber W.J., Zhang Y. Local Structure and Short-Range Order in a NiCoCr Solid Solution Alloy // Phys. Rev. Lett. 2017. V. 118. P. 205501.
- Lei Z.F., Liu X.J., Wu Y., Qiao S., Zhu Guo-liang, Dong An-ping, Shu Da, Sun Bao-de Enhanced strength and ductility in a high-entropy alloy via ordered oxygen complexes // Nature. 2018. V. 563(7732). P. 546–550.
- Ding Q.Q., Zhang Y., Chen X., Fu X., Chen D., Chen S., Gu L., Wei F., Bei H., Gao Y., Wen M., Li J., Zhang Z., Zhu T., O Ritchie R., Yu Q. Tuning element distribution, structure and properties by composition in high-entropy alloys // Nature. 2019. V. 574(7777). P. 223–227.
- Ma Y., Wang Q., Li C., Santodonato L.J., Feygenson M., Dong C., Liaw P.K. Chemical short-range orders and the induced structural transition in high-entropy alloys // Scripta Mater. 2018. V. 144. P. 64–68.
- Mizunoa M., Sugita K., Araki H. Prediction of short-range order in CrMnFeCoNi high-entropy alloy // Results Phys. 2022. V. 34. P. 105285.
- Li Q.-J., Sheng H., Ma E. Strengthening in multi-principal element alloys with local-chemical-order roughened dislocation pathways // Nature Comm. 2019. V. 10. P. 3564. 11 p.
- Hsieh K.-T., Lin Y.-Y., Lu C.-H., Yang J.-R., Liaw P.K., Kuo C.-L. Atomistic simulations of the face-centered-cubic-to-hexagonal-close-packed phase transformation in the equiatomic CoCrFeMnNi high entropy alloy under high compression // Comp. Mater. Sci. 2020. V. 184. P. 109864.
- Карькина Л.Е., Карькин И.Н., Горностырев Ю. Н. Образование сегрегаций и нанофасетирование асимметричных специальных границ зерен в Al // ФММ. 2022. Т. 123. № 10. С. 1079–1084.
- http://lammps.sandia.gov/index.html.
- Choi W.-M., Kim Y., Seol D., Lee B.-J. Modified embedded-atom method interatomic potentials for the Co–Cr, Co–Fe, Co–Mn, Cr–Mn and Mn–Ni binary systems // Comp. Mater. Sci. 2017. V. 130. P. 121–129.
- Zhang S., Kontsevoi O.Y., Freeman A.J., Olson G.B. First principles investigation of zinc-induced embrittlement in an aluminum grain boundary // Acta Mater. 2011. V. 59. P. 6155–6167.
- de Fontaine D. The number of independent pair-correlation functions in multicomponent systems // J. Appl. Crystall. 1971. V. 4. № 1. P. 15–19.
- Shuang S., Lu S., Zhang Bo, Bao Chen, Kan Q., Kang G., Zhang Xu. Effects of high entropy and twin boundary on the nanoindentation of CoCrNiFeMn high-entropy alloy: A molecular dynamics study // Comp. Mater. Sci. 2021. V. 195. P. 110495.
Supplementary files








