Намагниченность и магнитострикция сплавов LaFe11.2 – хMnxCo0.7Si1.1 (x = 0.1, 0.2, 0.3) в импульсных магнитных полях
- Авторы: Абдулкадирова Н.З.1, Гамзатов А.Г.1, Батдалов А.Б.1, Камилов К.И.1,2, Алиев А.М.1, Gebara P.3
-
Учреждения:
- Институт физики им. Х.И. Амирханова ДФИЦ РАН
- Московский государственный университет им. М.В. Ломоносова, физический факультет
- Institute of Physics, Czȩstochowa University of Technology
- Выпуск: Том 124, № 11 (2023)
- Страницы: 1051-1057
- Раздел: ЭЛЕКТРИЧЕСКИЕ И МАГНИТНЫЕ СВОЙСТВА
- URL: https://journal-vniispk.ru/0015-3230/article/view/232705
- DOI: https://doi.org/10.31857/S001532302360096X
- EDN: https://elibrary.ru/JXEVKZ
- ID: 232705
Цитировать
Полный текст
Аннотация
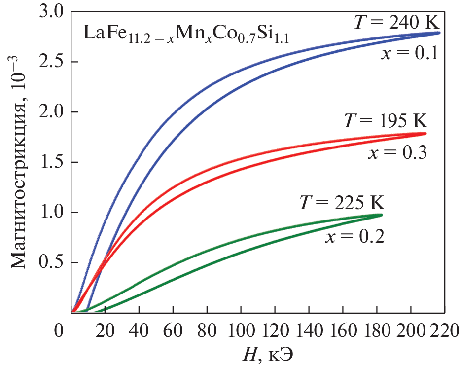
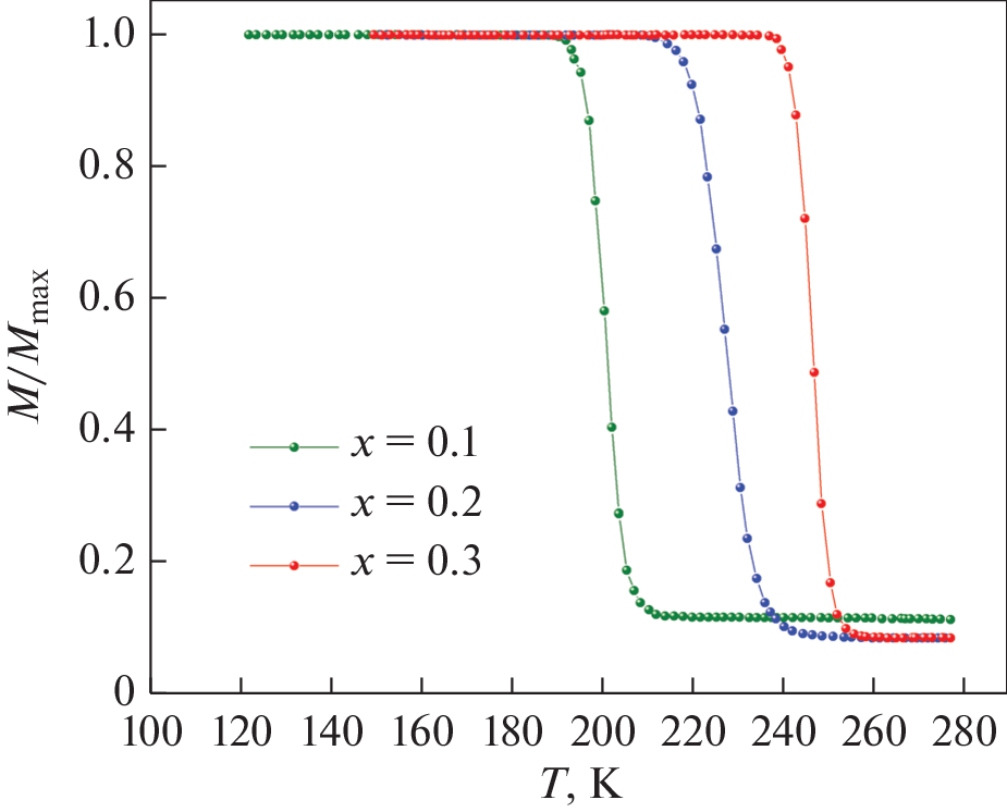
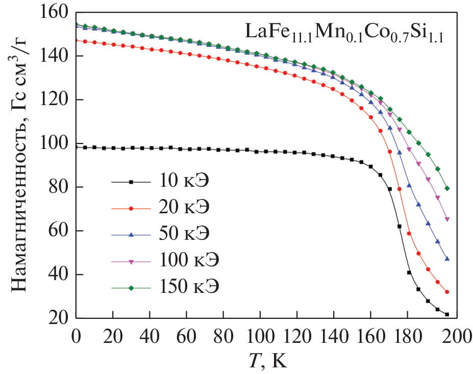
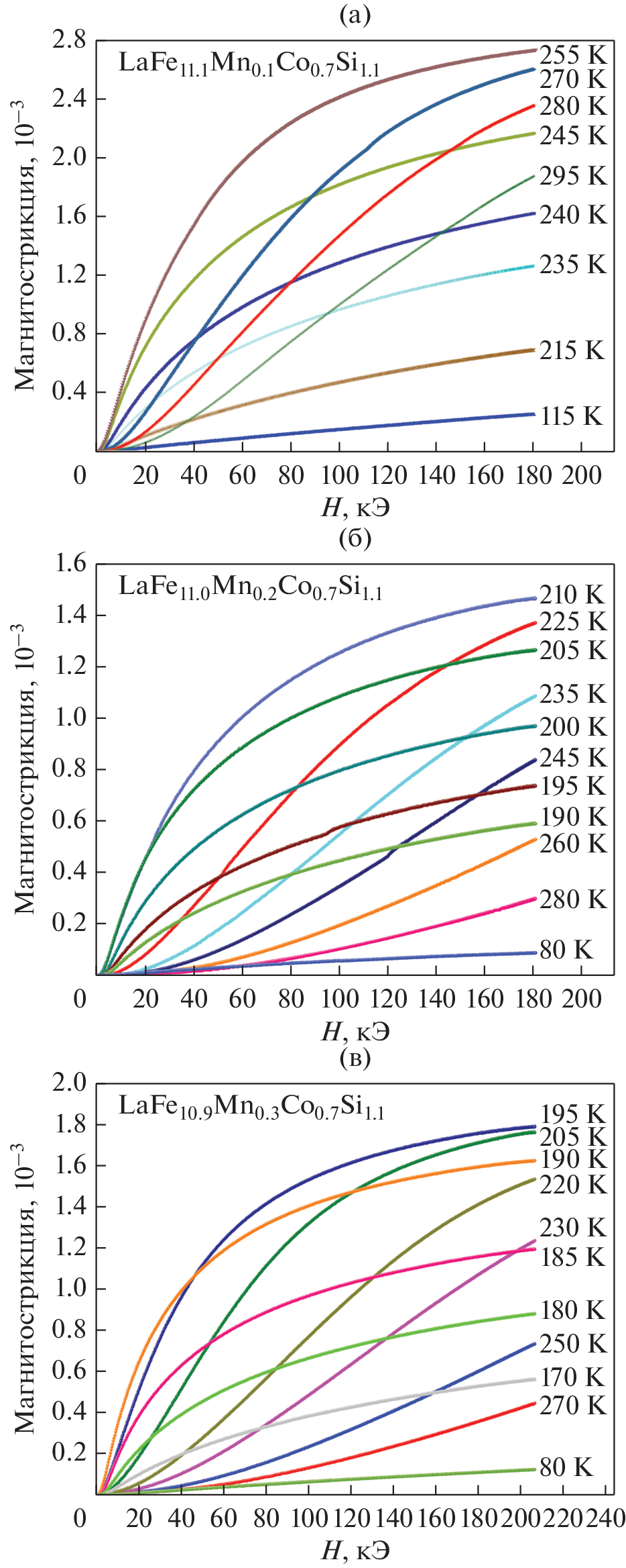
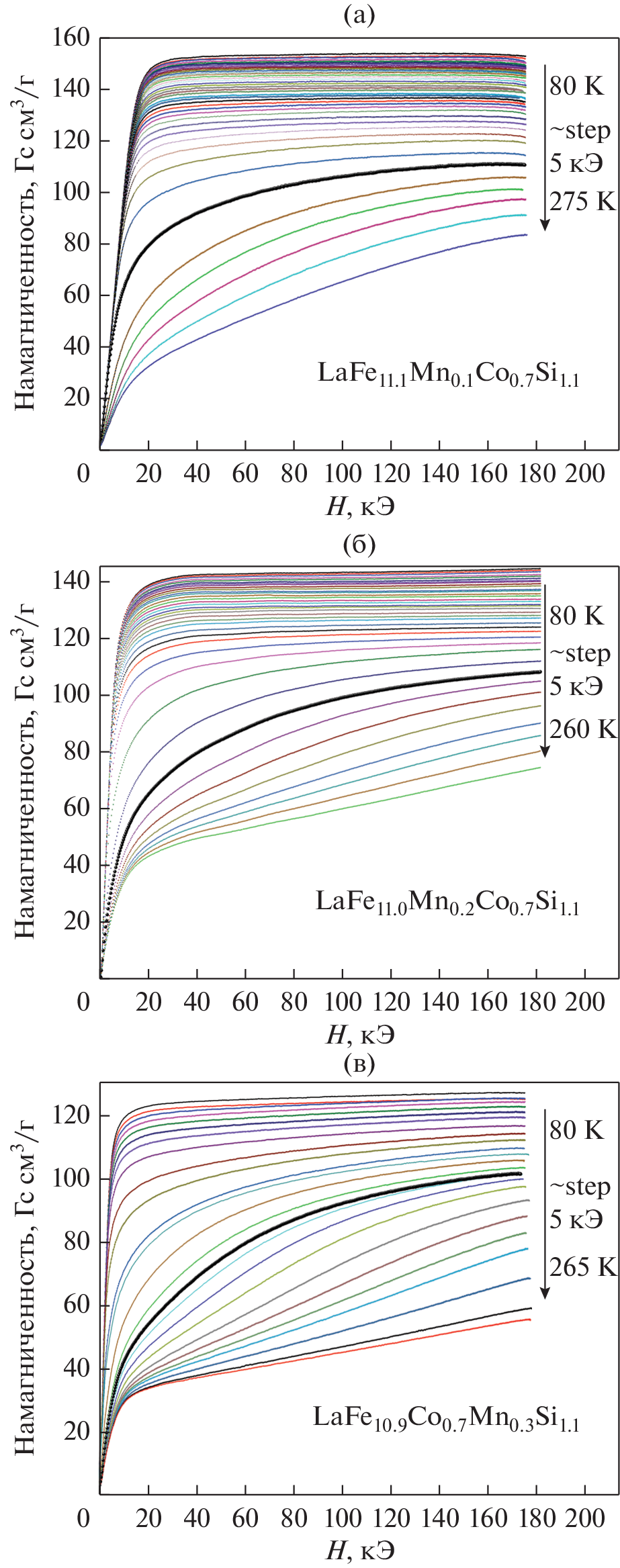
Измерены намагниченность и магнитострикция поликристаллических сплавов LaFe11.2 – хMnxCo0.7Si1.1 (x = 0.1, 0.2, 0.3) в импульсных магнитных полях до 180 кЭ в интервале температур 80–270 К. Замещение атомов Fe атомами Mn сдвигает ТС в сторону низких температур и не сказывается на величине намагниченности насыщения. Наблюдаемая полевая зависимость намагниченности M(H) вблизи ТС характерна для фазовых переходов второго рода, в то время как температурная зависимость намагниченности M(Т) выше ТС в сильных магнитных полях указывает на магнитный фазовый переход первого рода. Магнитообъемный эффект ∆V/V достигает 0.81% в поле 180 кЭ. Асимметрия магнитострикции относительно температуры максимума эффекта, проявляющаяся в сильных магнитных полях, и магнитополевой гистерезис магнитострикции носят признаки фазового перехода первого рода.
Ключевые слова
Об авторах
Н. З. Абдулкадирова
Институт физики им. Х.И. Амирханова ДФИЦ РАН
Автор, ответственный за переписку.
Email: nnurizhat@mail.ru
Россия, 367030, Махачкала, ул. М. Ярагского, 94
А. Г. Гамзатов
Институт физики им. Х.И. Амирханова ДФИЦ РАН
Email: nnurizhat@mail.ru
Россия, 367030, Махачкала, ул. М. Ярагского, 94
А. Б. Батдалов
Институт физики им. Х.И. Амирханова ДФИЦ РАН
Email: nnurizhat@mail.ru
Россия, 367030, Махачкала, ул. М. Ярагского, 94
К. И. Камилов
Институт физики им. Х.И. Амирханова ДФИЦ РАН; Московский государственный университет им. М.В. Ломоносова, физический факультет
Email: nnurizhat@mail.ru
Россия, 367030, Махачкала, ул. М. Ярагского, 94; Россия, 119992, Москва, ул. Колмогорова, 1
А. М. Алиев
Институт физики им. Х.И. Амирханова ДФИЦ РАН
Email: nnurizhat@mail.ru
Россия, 367030, Махачкала, ул. М. Ярагского, 94
P. Gebara
Institute of Physics, Czȩstochowa University of Technology
Email: nnurizhat@mail.ru
Poland, 42-200, Czȩstochowa
Список литературы
- Соколовский В.В., Мирошкина О.Н., Бучельников В.Д., Марченков В.В. Магнитокалорический эффект в металлах и сплавах // ФММ. 2022. Т. 123. № 4. С. 339–343.
- Соколовский В.В., Мирошкинаa О.Н., Бучельников В.Д. Обзор современных теоретических методов исследования магнтокалорических материалов // ФММ. 2022. Т. 123. № 4. С. 344–402.
- Abdulkadirova N.Z., Gamzatov A.G., Kamilov K.I., Kadirbardeev A.T., Aliev A.M., Popov Y.F., Vorob’ev G.P., Gebara P. Magnetostriction and magnetocaloric properties of LaFe11.1Mn0.1Co0.7Si1.1 alloy: Direct and indirect measurements // J. Alloys Comp. 2022. V. 929. P. 167 348.
- Аникин М.С., Тарасов Е.Н., Незнахин Д.С., Сёмкин М.А., Андреев С.В., Селезнёва Н.В., Рагозина М.В., Потапов Е.В., Зинин А.В. Магнитные и магнитотепловые свойства соединений TM1 – xYx(Co0.84Fe0.16)2 // ФММ. 2022. Т. 123. № 4. С. 436–442.
- Абдулкадирова Н.З., Гамзатов А.Г., Алиев А.М., Gebara P. Теплофизический и магнитокалорические свойства сплава LaFe11.1Mn0.1Co0.7Si1.1 // ФММ. 2022. Т. 123. № 4. С. 443–447.
- Hu F.X., Shen B.G., Sun J.R., Sun J., Cheng Z. H. Influence of negative lattice expansion and metamagnetic transition on magnetic entropy change in the compound LaFe11.4Si1.6 // Appl. Phys. Letters. 2001. V. 78. P. 3675.
- Shao Y., Liu J., Zhang M., Yan A., Skokov K.P., Karpenkov D.Yu., Gutfleisch O. High-performance solid-state cooling materials: Balancing magnetocaloric and non-magnetic properties in dual phase La–Fe–Si // Acta Mater. 2017. V. 125. P. 506.
- Fujita A., Fukamichi K., Yamada M., Goto T. Influence of pressure on itinerant electron metamagnetic transition in compound // Journal of Applied Physics. 2003. V. 93. P. 7263.
- Fujita A., Fukamichi K., Wang J.-T., Kawazoe Y. Large magnetovolume effects and band structure of itinerant electron metamagnetic La(FexSi1.1 – x)13 compounds // Phys. Rev. B. 2003. V. 68. P. 104431.
- Sun S., Ye R., Long Y. Influence of the substitution of Ni for Fe on the microstructure evolution and magnetic phase transition in La(Fe1 – xNix)11.5Si1.5 compounds // Mater. Sci. Eng. B. 2013. V. 178. P. 60–64.
- Krautz M., Skokov K., Gottschall T., Teixera C.S., Waske A., Liu J., Schultz L., Gutfleisch O. Systematic investigation of Mn substituted La(Fe,Si)13 alloys and their hydrides for room-temperature magnetocaloric application // J. AlloComp. 2014. V. 598. P. 27.
- Fujita A., Fujieda S., Hasegawa Y., Fukamichi K. Itinerant-electron metamagnetic transition and large magnetocaloric effects in La(FexSi1.1 – x)13 compounds and their hydrides // Phys. Rev. B. 2003. V. 67. P. 104416.
- Gutfleisch O., Willard M.A., Brück E., Chen C.H., Sankar S.G., Liu J.P. Magnetic materials and devices for the 21st century: stronger, lighter, and more energy efficient // Advanced Mater. 2011. V. 23(7). P. 821–842.
- Liu Ya., Fu X., Yu Qi., Zhang M., Liu J. Significant reduction of phase-transition hysteresis for magnetocaloric (La1 – xCex)2Fe11Si2Hy alloys by microstructural manipulation // Acta Mater. 2021. V. 207. P. 116687.
- Gębara P., Kovac J. Magnetocaloric effect of the LaFe11.2Co0.7Si1.1 modified by partial substitution of La by Pr or Ho // Mater. & Design. 2017. V. 129. P. 111–115.
- Gębara P., Cesnek M., Bednarcik J.Anomalous behavior of thermal expansion of α-Fe impurities in the La(Fe, Co, Si)13-based alloys modified by Mn or selected lanthanides (Ce, Pr, Ho) // Current Appl. Phys. 2019. V. 19. P. 188.
- Gebara P., Margin J. Influence of Partial Substitution of Fe by Mn on the Thermomagnetic Properties of Magnetocaloric LaFe11.2Co0.7Si1.1 Alloy // Acta Phys. Polonica A. 2018. V. 133. P. 648.
- Pathak A.K., Basnyat P., Dubenko I., Stadler S., Ali N. Magnetic, magnetocaloric and magnetoelastic properties of compounds // J. Appl. Phys. 2009. V. 106. P. 063 917.
- Hu Feng-xia, Shen Bao-gen, Sun Ji-rong, Wang Guang-jun, Cheng Zhao-hua. Very large magnetic entropy change near room temperature in LaFe11.2Co0.7Si1.1 // Appl. Phys. Letters. 2001. V. 80. P. 826.
- Zavareh M.G., Skourski Y., Skokov K.P., Karpenkov D.Y., Zvyagina L., Waske A., Gutfleisch O. Direct measurement of the magnetocaloric effect in La(Fe,Si,Co)13 compounds in pulsed magnetic fields // Phys. Rev. Appl. 2017. V. 8(1). P. 014037.
- Lovell E., Pereira A.M. Dynamics of the First-Order Metamagnetic Transition in Magnetocaloric La(Fe,Si)13: Reducing Hysteresis // Adv. Energy Mater. 2014. P.1401639.
Дополнительные файлы









