Влияние частичного замещения Ga на структурные и магнитные свойства сплавов Гейслера Ni–Mn–Ga
- Авторы: Соколовский В.В.1,2, Бучельников В.Д.1
-
Учреждения:
- Челябинский государственный университет
- НИТУ “МИСиС”
- Выпуск: Том 124, № 11 (2023)
- Страницы: 1108-1116
- Раздел: ЭЛЕКТРИЧЕСКИЕ И МАГНИТНЫЕ СВОЙСТВА
- URL: https://journal-vniispk.ru/0015-3230/article/view/232712
- DOI: https://doi.org/10.31857/S0015323023601150
- EDN: https://elibrary.ru/YGXJEU
- ID: 232712
Цитировать
Полный текст
Аннотация
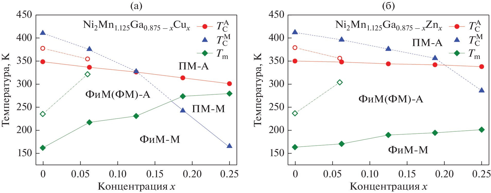
В рамках теории функционала плотности исследовано влияние легирования атомами Cu и Zn на магнитные и структурные свойства кубической и тетрагональной фазы сплава Гейслера Ni2Mn1.125Ga0.875. Частичное замещение атомов Ga атомами Cu и Zn приводит к уменьшению разницы энергий между ферромагнитным и ферримагнитным состоянием кубической фазы и увеличению энергетического барьера между кубической и тетрагональной фазой. Последнее наблюдение косвенно указывает на рост температуры структурного перехода, наблюдаемый экспериментально. В рамках расчетов параметров обменного взаимодействия из первых принципов и моделирования методом Монте-Карло температурных зависимостей намагниченности построена фазовая Т–х диаграмма. Показано, что температура Кюри тетрагональной фазы существенно уменьшается по сравнению с температурой Кюри кубической фазы с ростом содержания Cu и Zn за счет увеличения межподрешеточного антиферромагнитного взаимодействия между атомами Mn.
Ключевые слова
Об авторах
В. В. Соколовский
Челябинский государственный университет; НИТУ “МИСиС”
Автор, ответственный за переписку.
Email: vsokolovsky84@mail.ru
Россия, 454001, Челябинск, ул. Бр. Кашириных, 129; Россия, 119049, Москва, Ленинский просп. 4
В. Д. Бучельников
Челябинский государственный университет
Email: vsokolovsky84@mail.ru
Россия, 454001, Челябинск, ул. Бр. Кашириных, 129
Список литературы
- Vasiliev A.N., Buchelnikov V.D., Takagi T. Khovailo V.V., Estrin E.I. Shape-memory ferromagnets // Phys. Uspekhi. 2003. V. 46. P. 559–588.
- Planes A., Mañosa L. Ferromagnetic shape-memory alloys // Mater. Sci. Forum. 2006. V. 512. P. 145–152.
- Buchelnikov V.D., Vasiliev A.N., Koledov V.V., Taskaev S.V., Khovaylo V.V., Shavrov V.G. Magnetic shape-memory alloys: Phase transitions and functional properties // Phys. Uspekhi. 2006. V. 49. P. 871–877.
- Planes A., Mañosa L., Acet M. Magnetocaloric effect and its relation to shape-memory properties in ferromagnetic Heusler alloys // J. Phys. Condens. Matter. 2009. V. 21. P. 233201 (29).
- Khovaylo V.V., Buchelnikov V.D., Kainuma R., Koledov V.V., Otsuka M., Shavrov V.G., Takagi T., Taskaev S.V., Vasiliev A.N. Phase transitions in Ni2 + xMn1 – xGa with a high Ni excess // Phys. Rev. B. 2005. V. 72. P. 224408 (10).
- Çakιr A., Righi L., Albertini F., Acet M., Farle M., Aktürk S. Extended investigation of intermartensitic transitions in Ni–Mn–Ga magnetic shape memory alloys: A detailed phase diagram determination // J. Appl. Phys. 2013. V. 114. P. 183912 (9).
- Sokolovskiy V., Buchelnikov V., Skokov K., Gutfleisch O., Karpenkov D., Koshkid’ko Yu., Miki H., Dubenko I., Ali N., Stadler S., Khovaylo V. Magnetocaloric and magnetic properties of Ni2Mn1–xCuxGa Heusler alloys: An insight from the direct measurements and ab initio and Monte Carlo calculations // J. Appl. Phys. 2013. V. 114. P. 183913 (9).
- Sokolovskiy V., Grünebohm A., Buchelnikov V., Entel P. Ab initio and Monte Carlo approaches for the magnetocaloric effect in Co- and In-doped Ni–Mn–Ga Heusler alloys // Entropy. 2014. V. 16. P. 4992–5019.
- Gamzatov A.G., Batdalov A.B., Aliev A.M., Khizriev Sh.K., Khovaylo V.V., Ghotbi Varzaneh A., Kameli P., Abdolhosseini Sarsari I., Jannati S. Anomalous heat transfer near the martensite-austenite phase transition in Ni50Mn28Ga22 – x(Cu, Zn)x (x = 0; 1.5) alloys // Intermetallics. 2022. V. 143. P. 107491 (6).
- Perdew J.P., Burke K., Ernzerhof M. Generalized Gradient Approximation Made Simple // Phys. Rev. Lett. 1996. V. 77. P. 3865–3868.
- Kresse G., Furthmüller J. Efficient iterative schemes for ab initio total-energy calculations using a plane- wave basis set // Phys. Rev. B. 1996. V. 54. P. 11169–11186.
- Kresse G., Joubert D. From ultrasoft pseudopotentials to the projector augmented-wave method // Phys. Rev. B. 1999. V. 59. P. 1758–1775.
- Buchelnikov V., Zagrebin M., Sokolovskiy V. Magnetic states of Ni2MnZ and Ni2CrZ (Z = Al, As, Bi, Ga, Ge, In, P, Pb, Sb, Si, Sn, Tl) Heusler alloys // J. Magn. Magn. Mater. 2018. V. 459. P. 78–83.
- Sokolovskaya Y., Miroshkina O., Baigutlin D., Sokolovskiy V., Zagrebin M., Buchelnikov V., Zayak A. A ternary map of Ni–Mn–Ga Heusler alloys from ab initio calculations // Metals. 2021. V. 11. P. 973 (14).
- Ebert H., Ködderitzsch D., Minár J. Calculating condensed matter properties using the KKR-Green’s function method-recent developments and applications // Rep. Prog. Phys. 2011. V. 74. P. 096501 (48).
Дополнительные файлы






