Магнитострикция и магнитокалорический эффект в сплавах Mn1 – xFexAs
- Авторы: Гаджиев А.Б.1, Гамзатов А.Г.1, Ханов Л.Н.1, Митюк В.И.2, Говор Г.А.2, Алиев А.М.1
-
Учреждения:
- Институт Физики им. Х.И. Амирханова, ДФИЦ РАН
- НПЦ НАН Белоруссии по материаловедению
- Выпуск: Том 124, № 11 (2023)
- Страницы: 1117-1121
- Раздел: ЭЛЕКТРИЧЕСКИЕ И МАГНИТНЫЕ СВОЙСТВА
- URL: https://journal-vniispk.ru/0015-3230/article/view/232713
- DOI: https://doi.org/10.31857/S001532302360123X
- EDN: https://elibrary.ru/IBPAAT
- ID: 232713
Цитировать
Полный текст
Аннотация
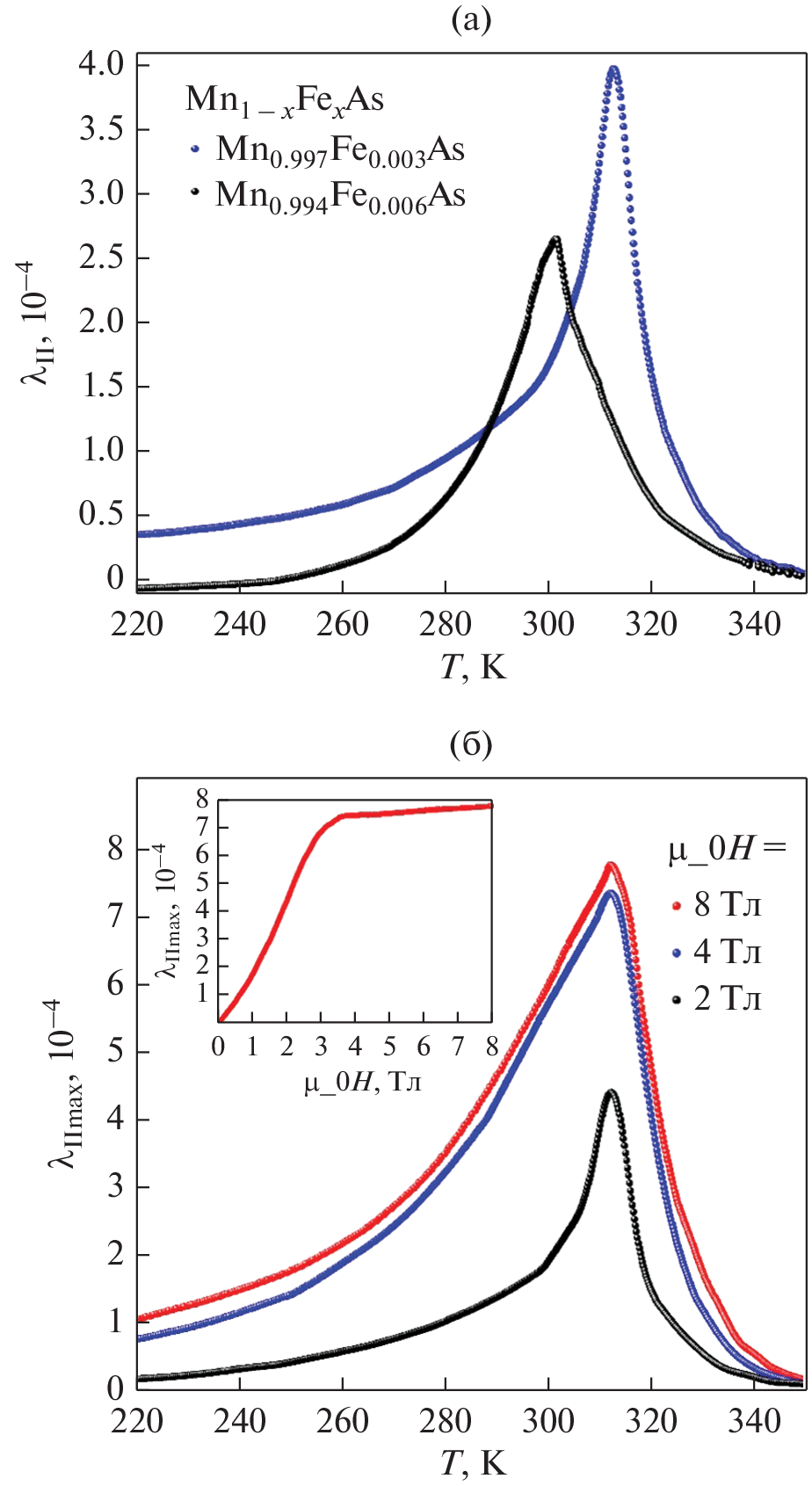
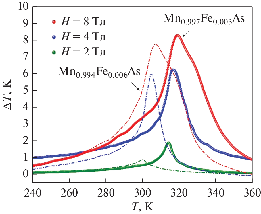
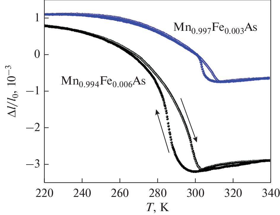
Представлены результаты исследования температурной зависимости магнитокалорического эффекта (ΔТad), теплового расширения и магнитострикции в системе Mn1 – хFexAs (х = 0.003, 0.006) в магнитных полях до 8 Тл. Показано, что увеличение концентрации железа в системе Mn1 – хFexAs приводит к смещению температуры фазового перехода в сторону низких температур на 15 K. В поле 8 Тл величина ΔТad = 8.3 K для образца Mn0.997Fe0.003As при начальной температуре T0 = 318 K, и ΔТad = 7.7 K для Mn0.994Fe0.006As при T0 = 307 K. Данные по тепловому расширению и магнитострикции показывают, что с увеличением концентрации железа магнитострикция уменьшается, что также приводит к уменьшению магнитокалорического эффекта.
Ключевые слова
Об авторах
А. Б. Гаджиев
Институт Физики им. Х.И. Амирханова, ДФИЦ РАН
Автор, ответственный за переписку.
Email: mr.gadzhiev.93@mail.ru
Россия, 367015, Махачкала, ул. М. Ярагского, 94
А. Г. Гамзатов
Институт Физики им. Х.И. Амирханова, ДФИЦ РАН
Email: mr.gadzhiev.93@mail.ru
Россия, 367015, Махачкала, ул. М. Ярагского, 94
Л. Н. Ханов
Институт Физики им. Х.И. Амирханова, ДФИЦ РАН
Email: mr.gadzhiev.93@mail.ru
Россия, 367015, Махачкала, ул. М. Ярагского, 94
В. И. Митюк
НПЦ НАН Белоруссии по материаловедению
Email: mr.gadzhiev.93@mail.ru
Беларусь, 220072, Минск, ул. Петруся Бровки, 19
Г. А. Говор
НПЦ НАН Белоруссии по материаловедению
Email: mr.gadzhiev.93@mail.ru
Беларусь, 220072, Минск, ул. Петруся Бровки, 19
А. М. Алиев
Институт Физики им. Х.И. Амирханова, ДФИЦ РАН
Email: mr.gadzhiev.93@mail.ru
Россия, 367015, Махачкала, ул. М. Ярагского, 94
Список литературы
- De Campos A., Rocco D.L., Carvalho A.M.G., Caron L., Coelho A.A., Gama S., da Silva L.M., Gandra F.C. G., dos Santos A.O., Cardoso L.P., von Ranke P.J. & de Oliveira N.A. Ambient pressure colossal magnetocaloric effect tuned by composition in Mn1 – xFexAs // Nature Materials. 2006. V. 5. P. 802–804.
- Gama S., Coelho A.A., de Campos A., Carvalho A.M.G., Gandra F.C.G., von Ranke P.J., de Oliveira N.A. Pressure-Induced Colossal Magnetocaloric Effect in MnAs // Phys. Rev. Lett. 2004. V. 93. P. 237202.
- Yu B.F., Gao Q., Zhang B., Meng X.Z., Chen Z. Review on research of room temperature magnetic refrigerationRecherches sur les systèmes frigorifiques magnétiques à température ambiante: la littérature passée en revue // Int. J. Refrigeration. 2003. V. 26. P. 622.
- Tocado L., Palacios E., Burriel R. Adiabatic measurement of the giant magnetocaloric effect in MnAs // Journal of Thermal Analysis and Calorimetry. 2003. V. 84. P. 213–217.
- Aliev A.M., Khanov L.N., Gamzatov A.G., Batdalov A.B., Kurbanova D.R., Yanushkevich K.I., Govor G.A. Giant magnetocaloric effect in MnAs1 − xPx in a cyclic magnetic field: Lattice and magnetic contributions and degradation of the effect // Appl. Phys. Lett. 2021. V. 118. P. 072404.
- Соколовский В.В., Мирошкина О.Н., Бучельников В.Д. Обзор современных теоретических методов исследования магнитокалорических материалов // ФММ. 2022. Т. 123. С. 344–402.
- Zarkevich N.A., Zverev V.I. Viable Materials with a Giant Magnetocaloric Effect // Crystals. 2020. V. 10. P. 815–845.
- Wada H., Tanabe Y. Giant magnetocaloric effect of MnAs1 – xSbx // Appl. Phys. Lett. 2001. V. 79. P. 3302–3304.
- Соколовский В.В., Мирошкина О.Н., Бучельников В.Д., Марченков В.В. Магнитокалорический эффект в металлах и сплавах // ФММ. 2022. Т. 123. С. 339–343.
- Krenke T., Duman E., Acet M., Wassermann E.F., Moya X., Manosa L., Planes A. Inverse magnetocaloric effect in ferromagnetic Ni–Mn–Sn alloys // Nat. Mater. 2005. V. 4. P. 450–454.
- Sandeman K.G., Daou R., Ozcan S., Durrell J.H., Mathur N.D., Fray D.J. Negative magnetocaloric effect from highly sensitive metamagnetism in CoMnSi1 – xGex // Phys. Rev. B. 2006. V. 74. P. 224 436–224 442.
- Алиев А.М., Батдалов А.Б., Калитка В.С. Магнитокалорические свойства манганитов в переменных магнитных полях // Письма в ЖТФ. 2009. Т. 90. С. 736–739.
- Yu B., Liu M., Egolf P.W., Kitanovski A. A review of magnetic refrigerator and heat pump prototypes built before the year 2010 // Intern. J. Refrigeration. 2010. V. 33. P. 1029–1060.
- Phan M.H., Yu S.C. Review of the magnetocaloric effect in manganite materials // J. Magn. Magn. Mater. 2007. V. 308. P. 325–340.
- Rocco D.L., de Campos A., Carvalho A.M.G., Caron L., Coelho A.A., Gama S., Gandra F.C.G., dos Santos A. O., Cardoso L.P., von Ranke P.J., de Oliveira N.A. Ambient Pressure Colossal Magnetocaloric Effect in Mn1 − xCuxAs compounds // Appl. Phys. Lett. 2007. V. 90. P. 242 507–242 510.
- Balli M., Fruchart D., Gignoux D., Dupuis C., Kedous-Lebouc A., Zach R. Giant magnetocaloric effect in Mn1 − x(Ti0.5V0.5)xAs: Experiments and calculations // J. Appl. Phys. 2008. V. 103. P. 103908–103911.
- Selte K., Kjekshus A., Andresen A.F., Zieba A. On the magnetic properties of transition metal substituted MnAs // J. Phys. Chem. of Solids. 1977. V. 38. P. 719–725.
- Ziba A., Zach R., Fjellvag H., Kjekshus A. Effect of external pressure and chemical substitution on the phase transitions in MnAs // Journal of Physics and Chemistry of Solids. 1987. V. 48. P. 79–89.
- Новикова С.И. Тепловое расширение твердых тел // М.: Наука, 1974. С. 294.
- Ханов Л.Н., Батдалов А.Б., Маширов А.В., Каманцев А.П., Алиев А.М. Магнитокалорический эффект и магнитострикция в сплаве Гейслера Ni49.3Mn40.4In10.3 в переменных магнитных полях // ФТТ. 2018. Т. 60. С. 1099–1102.
- Ido H., Yasuda S., Kido G. Magnetization and magnetostriction of MnAs0.7Sb0.3 in the paramagnetic temperature region // J. Appl. Phys. 1991. V. 69. P. 4621–4623.
- Rocco D.L., de Campos A., Carvalho M.A.G., dos Santos A.O., da Silva L.M., Gama S., da Luz M.S., von Ranke P., de Oliveira N.A., Coelho A.A., Cardoso L.P., Souza J.A. Influence of chemical doping and hydrostatic pressure on the magnetic properties of Mn1 − xFexAs magnetocaloric compounds // Phys. Rev. B. 2016. V. 93. P. 054431–054440.
Дополнительные файлы







