Влияние релаксационного отжига на магнитные свойства и магнитный импеданс аморфных проволок на основе кобальта
- Авторы: Букреев Д.А.1, Деревянко М.С.1, Моисеев А.А.1, Курляндская Г.В.2, Семиров А.В.1
-
Учреждения:
- Иркутский государственный университет
- Уральский федеральный университет им. первого Президента России Б.Н. Ельцина
- Выпуск: Том 124, № 12 (2023)
- Страницы: 1159-1164
- Раздел: ЭЛЕКТРИЧЕСКИЕ И МАГНИТНЫЕ СВОЙСТВА
- URL: https://journal-vniispk.ru/0015-3230/article/view/232725
- DOI: https://doi.org/10.31857/S0015323023601204
- EDN: https://elibrary.ru/CKTXDB
- ID: 232725
Цитировать
Полный текст
Аннотация
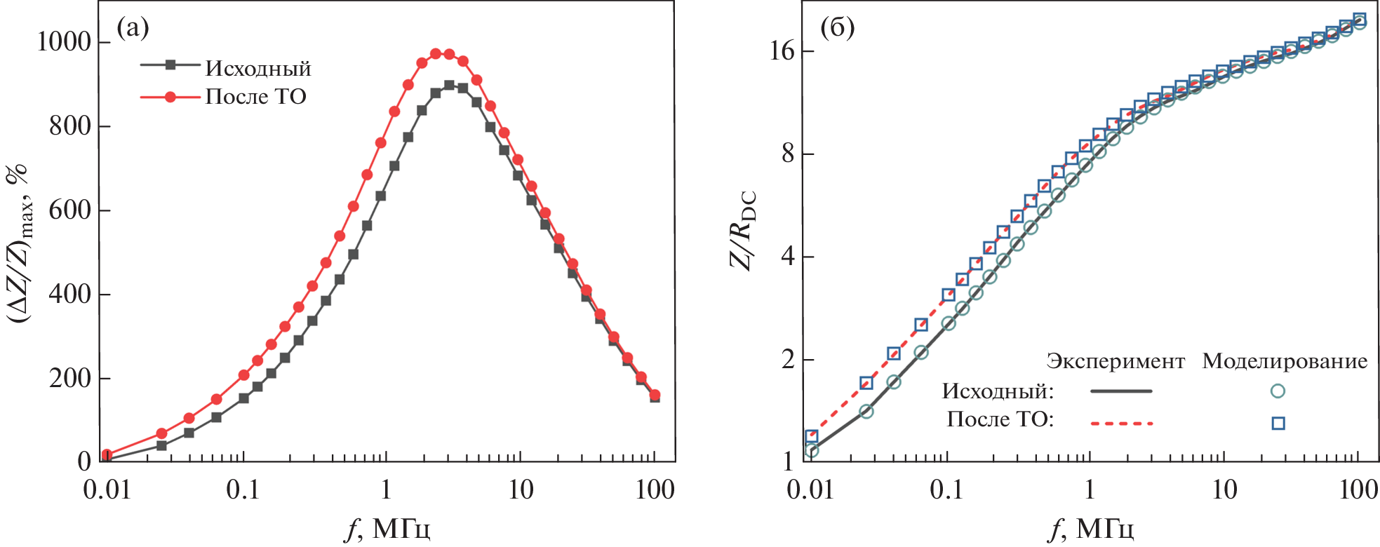
Представлены результаты исследования влияния релаксационного отжига продолжительностью 2 ч при температуре 620 K на магнитоимпедансный эффект (МИ) в аморфных проволоках Co66Fe4Nb2.5Si12.5B15. Обнаружено, что МИ на низких частотах переменного тока после термообработки заметно увеличивается, тогда как на высоких частотах он изменяется слабо. С помощью магнитоимпедансной томографии показано, что это связано с тем, что изменения магнитных свойств, вызванные термообработкой, неодинаковы в различных областях проволоки. Так, в поверхностной области толщиной около 2.5 мкм магнитная проницаемость остается практически неизменной, а во внутренних областях после отжига значительно увеличивается.
Об авторах
Д. А. Букреев
Иркутский государственный университет
Автор, ответственный за переписку.
Email: da.bukreev@gmail.com
Россия, 664003, Иркутск, ул. К. Маркса, 1
М. С. Деревянко
Иркутский государственный университет
Email: da.bukreev@gmail.com
Россия, 664003, Иркутск, ул. К. Маркса, 1
А. А. Моисеев
Иркутский государственный университет
Email: da.bukreev@gmail.com
Россия, 664003, Иркутск, ул. К. Маркса, 1
Г. В. Курляндская
Уральский федеральный университет им. первого Президента России Б.Н. Ельцина
Email: da.bukreev@gmail.com
Россия, 620108, Екатеринбург,
ул. Мира, 19
А. В. Семиров
Иркутский государственный университет
Email: da.bukreev@gmail.com
Россия, 664003, Иркутск, ул. К. Маркса, 1
Список литературы
- Beach R.S., Berkowitz A.E. Giant magnetic field dependent impedance of amorphous FeCoSiB wire // Appl. Phys. Lett. 1994. V. 64. P. 3652–3654.
- Gudoshnikov S., Tarasov V., Liubimov B., Odintsov V., Venediktov S., Nozdrin A. Scanning magnetic microscope based on magnetoimpedance sensor for measuring of local magnetic fields // JMMM. 2020. V. 510. P. 166 938.
- Makhotkin V.E., Shurukhin B.P., Lopatin V.A., Marchukov P.Yu., Levin Yu.K. Magnetic field sensors based on amorphous ribbons // Sens Actuators A. Phys. 1991. V. 27. P. 759–762.
- Uchiyama T., Ma J. Development of pico tesla resolution amorphous wire magneto-impedance sensor for bio-magnetic field measurements // JMMM. 2020. V. 514. P. 167 t148.
- Kumar A., Mohapatra S., Fal-Miyar V., Cerdeira A., García J.A., Srikanth H., Gass J., Kurlyandskaya G.V. Magnetoimpedance biosensor for Fe3O4 nanoparticle intracellular uptake evaluation // Appl. Phys. Lett. 2007. V. 91. P. 143 902.
- Ландау Л.Д., Лифшиц Е.М. Электродинамика сплошных сред. М.: Наука, 1982. 621 с.
- Kekalo I.B., Lubyanyi D.Z., Mogil’nikov P.S., Chichibaba I.A. Processes of structural relaxation in the amorphous alloy Co69Fe3.7Cr3.8Si12.5B11 with a near-zero magnetostriction and their effect on the magnetic properties and the characteristics of magnetic noise caused by Barkhausen jumps // Phys. Met. Metal. 2015. V. 116. P. 645–655.
- Kronmüller H., Fernengel W. The role of internal stresses in amorphous ferromagnetic alloys // Phys. Stat. Sol. (a). 1981. V. 64. P. 593–602.
- Mushnikov N.V., Potapov A.P., Shishkin D.A., Protasov A.V., Golovnya O.A., Shchegoleva N.N., Gaviko V.S., Shu-nyaev K.Yu., Bykov V.A., Starodubtsev Yu.N., Belozerov V.Ya. Magnetic properties and structure of nanocrystalline FINEMET alloys with various iron contents // Phys. Met. Metal. 2015. V. 116. P. 663–670.
- Kurlyandskaya G.V., Lukshina V.A., Larrañaga A., Orue I., Zaharova A.A., Shishkin D.A. Induced magnetic anisotropy features in FeCrSiBNbCu nanocrystalline alloy: Role of stress distribution proven by direct X-ray measurements // J. Alloys Compd. 2013. V. 566. P. 31–36.
- Sarkar P., Vcelak J., Roy R.K., Panda A.K., Mitra A., Ripka P. Co-Based Amorphous Material for Giant Magnetoimpedance and Fluxgate Sensing Cores // IEEE Trans Magn. 2015. V. 51. V. 1–4.
- Semirov A.V., Moiseev A.A., Bukreev D.A., Kudryavtsev V.O., Zakharov G.V., Gavrilyuk A.A., Sapozhnikov A.N. Magnetoimpedance detection of the structural relaxation of amorphous ferromagnetic alloys // Russian J. Nondestructive Testing. 2010. V. 46. № 12. P. 887–891.
- Zaichenko S.G., Perov N.S., Glezer A.M., Gan’shina E.A., Kachalov V.M., Calvo-Dalborg M., Dalborg U. Low-temperature irreversible structural relaxation of amorphous metallic alloys // JMMM. 2000. V. 215–216. P. 297–299.
- Semirov A.V., Gavrilyuk A.A., Kudryavtsev V.O., Moiseev A.A., Bukreev D.A., Semenov A.L., Ushchapovskaya Z.F. The effect of annealing on impedance properties of elastically deformed soft magnetic wires // Russian J. Nondestructive Testing. 2007. V. 43. № 10. P. 639–642.
- Serikov V.V., Kleinerman N.M., Volkova E.G., Lukshina V.A., Potapov A.P., Svalov A.V. Structure and magnetic properties of nanocrystalline FeCuNbSiB alloys after a thermomechanical treatment // Phys. Met. Metall. 2006. V. 102. P. 268–273.
- Antonov A.S., Borisov V.T., Borisov O.V., Pozdnyakov V.A., Prokoshin A.F., Usov N.A. Residual quenching stresses in amorphous ferromagnetic wires produced by an in-rotating-water spinning process // J. Phys. D Appl. Phys. 1999. V. 32. V. 1788–1794.
- Bukreev D.A., Derevyanko M.S., Moiseev A.A., Svalov A.V., Semirov A.V. The Study of the Distribution of Electrical and Magnetic Properties over the Conductor Cross-Section Using Magnetoimpedance Tomography: Modeling and Experiment // Sensors. 2022. V. 22. P. 9512.
- Bukreev D.A., Derevyanko M.S., Moiseev A.A., Semirov A.V., Savin P.A., Kurlyandskaya G.V. Magnetoimpedance and Stress-Impedance Effects in Amorphous CoFeSiB Ribbons at Elevated Temperatures // Materials. 2020. V. 13. P. 3216.
- Chen D.-X., Pascual L., Fraga E., Vazquez M., Hernando A. Magnetic and transport eddy-current anomalies in cylinders with core-and-shell regions // JMMM. 1999. V. 202. P. 385–396.
- Курляндская Г.В., Левит В.И. Материаловедение. Монокристаллы: учебное пособие. Екатеринбург: УрФУ, 2011. 170 с.
Дополнительные файлы






