Effect of Titanium Diselenide Doping on the Magnetic State and Transport Properties of FeTe
- Authors: Kislov E.1, Selezneva N.V.1, Sherokalova E.M.1, Volegov A.S.1, Kuznetsov D.K.1, Baranov N.V.1,2
-
Affiliations:
- Institute of Natural Sciences and Mathematics, Ural Federal University
- Miheev Institute of Metal Physics, Ural Branch, Russian Academy of Sciences
- Issue: Vol 124, No 12 (2023)
- Pages: 1165-1176
- Section: ЭЛЕКТРИЧЕСКИЕ И МАГНИТНЫЕ СВОЙСТВА
- URL: https://journal-vniispk.ru/0015-3230/article/view/232726
- DOI: https://doi.org/10.31857/S0015323023601459
- EDN: https://elibrary.ru/CKMRKZ
- ID: 232726
Cite item
Full Text
Abstract
Abstract
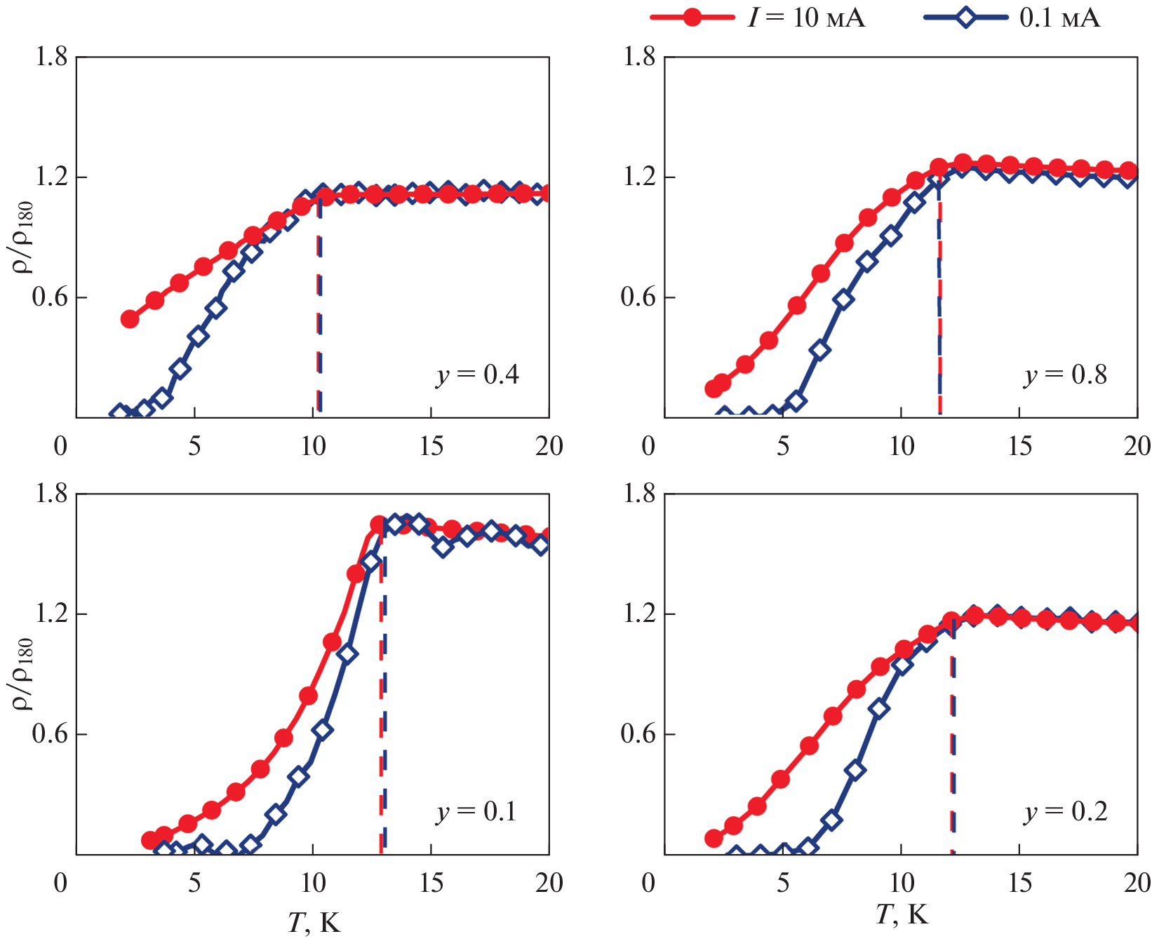
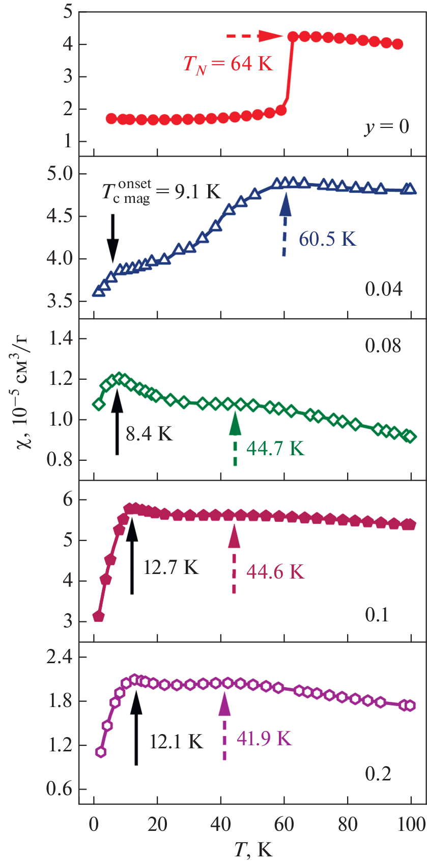
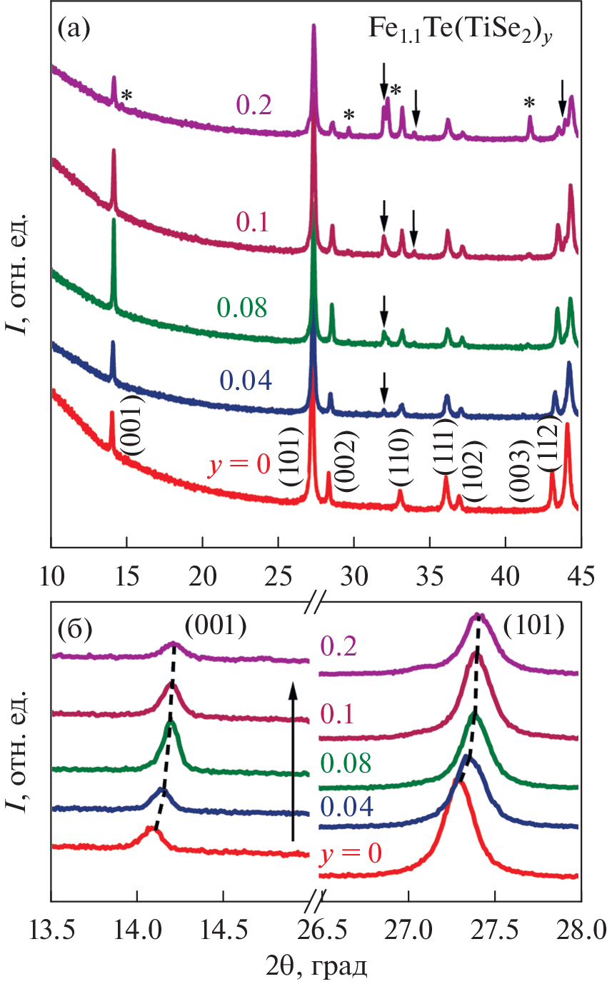
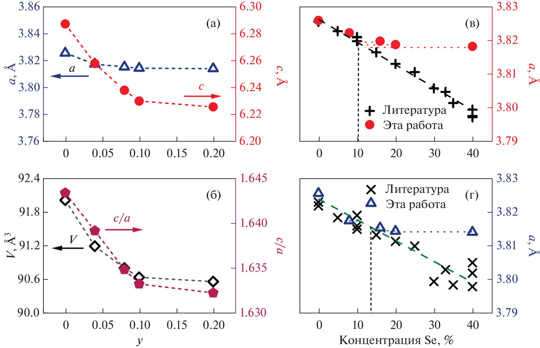
—The iron–tellurium-based compounds Fe1.1Te(TiSe2)y doped with titanium diselenide (y = 0, 0.04, 0.08, 0.1, 0.2) have been synthesized for the first time and studied by means of x-ray diffraction, electrical resistivity and magnetization measurements. It has been shown that the addition of a small amount of titanium diselenide to single-phase iron telluride with a tetragonal crystal structure leads to the appearance of superconductivity, a decrease in the Néel temperature and contraction of the crystal lattice at y ≥ 0.04. The maximal temperature of the onset of the superconducting transition \(T_{{\text{c}}}^{{{\text{onset}}}}\) ~ 13 K is observed for a sample with the nominal composition Fe1.1Te(TiSe2)0.1. The behavior of the resistivity with temperature below Tconset is observed to depend on the current value, which may indicate superconductivity characteristic of granular superconductors.
About the authors
E. Kislov
Institute of Natural Sciences and Mathematics, Ural Federal University
Author for correspondence.
Email: eu.kislov@gmail.com
Russia, 620083, Ekaterinburg
N. V. Selezneva
Institute of Natural Sciences and Mathematics, Ural Federal University
Email: eu.kislov@gmail.com
Russia, 620083, Ekaterinburg
E. M. Sherokalova
Institute of Natural Sciences and Mathematics, Ural Federal University
Email: eu.kislov@gmail.com
Russia, 620083, Ekaterinburg
A. S. Volegov
Institute of Natural Sciences and Mathematics, Ural Federal University
Email: eu.kislov@gmail.com
Russia, 620083, Ekaterinburg
D. K. Kuznetsov
Institute of Natural Sciences and Mathematics, Ural Federal University
Email: eu.kislov@gmail.com
Russia, 620083, Ekaterinburg
N. V. Baranov
Institute of Natural Sciences and Mathematics, Ural Federal University; Miheev Institute of Metal Physics, Ural Branch, Russian Academy of Sciences
Email: eu.kislov@gmail.com
Russia, 620083, Ekaterinburg; Russia, 620108, Ekaterinburg
References
- Mukasa K., Matsuura K., Qiu M., Saito M., Sugimura Y., Ishida K., Otani M., Onishi Y., Mizukami Y., Hashimoto K., Gouchi J., Kumai R., Uwatoko Y., Shibauchi T. High-pressure phase diagrams of FeSe1 – xTex: correlation between suppressed nematicity and enhanced superconductivity // Nat. Commun. 2021. V. 12. P. 381.
- Matsuura K., Mizukami Y., Arai Y., Sugimura Y., Maejima N., Machida A., Watanuki T., Fukuda T., Yajima T., Hiroi Z., Yip K.Y., Chan Y.C., Niu Q., Hosoi S., Ishida K., Mukasa K., Kasahara S., Cheng J.-G., Goh S.K., Matsuda Y., Uwatoko Y., Shibauchi T. Maximizing Tc by tuning nematicity and magnetism in FeSe1 – xSx superconductors // Nat. Commun. 2017. V. 8. P. 1143.
- Цаплева А.С., Абдюханов И.М., Панцырный В.И., Алексеев М.В., Раков Д.Н. Материаловедение современных технических сверхпроводящих материалов // ФММ. 2022. Т. 123. С. 897–928.
- Mizuguchi Y., Tomioka F., Tsuda S., Yamaguchi T., Takano Y. Substitution Effects on FeSe Superconductor // J. Phys. Soc. Jpn. 2009. V. 78. P. 074712.
- Mizuguchi Y., Tomioka F., Tsuda S., Yamaguchi T., Takano T. Superconductivity in S-substituted FeTe // Appl. Phys. Lett. 2009. V. 94. P. 012503.
- Mizuguchi Y., Takano Y. Review of Fe Chalcogenides as the Simplest Fe-Based Superconductor // J. Phys. Soc. Jpn. 2010. V. 79. P. 102001.
- Hsu F.-C., Luo J.-Y., Yeh K.-W., Chen T.-K., Huang T.-W., Wu P.M., Lee Y.-C., Huang Y.-L., Chu Y.-Y., Yan D.-C., Wu M.-K. Superconductivity in the PbO-type structure α-FeSe // Proc. Natl. Acad. Sci. U.S.A. 2008. V. 105. P. 14262–14264.
- Fang M.H., Pham H.M., Qian B., Liu T.J., Vehstedt E.K., Liu Y., Spinu L., Mao Z.Q. Superconductivity close to magnetic instability in Fe(Se1 – xTex)0.82 // Phys. Rev. B. 2008. V. 78. P. 224503.
- Yeh K.-W., Huang T.-W., Huang Y.-L., Chen T.-K., Hsu F.-C., Wu P.M., Lee Y.-C., Chu Y.-Y., Chen C.-L., Luo J.-Y., Yan D.-C., Wu M.-K. Tellurium substitution effect on superconductivity of the α-phase iron selenide // EPL. 2008. V. 84. P. 37002.
- Maheshwari P.K., Jha R., Gahtori B., Awana V.P.S. Structural and Magnetic Properties of Flux-Free Large FeTe Single Crystal // J. Supercond. Nov. Magn. 2015. V. 28. P. 2893–2897.
- Li S., de la Cruz C., Huang Q., Chen Y., Lynn J.W., Hu J., Huang Y.-L., Hsu F.-C., Yeh K.-W., Wu M.-K., Dai P. First-order magnetic and structural phase transitions in Fe1 + ySexTe1 – x // Phys. Rev. B. 2009. V. 79. P. 054503.
- Martinelli A., Palenzona A., Tropeano M., Ferdeghini C., Putti M., Cimberle M.R., Nguyen T.D., Affronte M., Ritter C. From antiferromagnetism to superconductivity in Fe1 + yTe1 – xSex (0 ≤ x ≤ 0.20): Neutron powder diffraction analysis // Phys. Rev. B. 2010. V. 81. P. 094115.
- Fobes D., Zaliznyak I.A., Xu Z., Zhong R., Gu G., Tranquada J.M., Harriger L., Singh D., Garlea V.O., Lumsden M., Winn B. Ferro-Orbital Ordering Transition in Iron Telluride Fe1 + yTe // Phys. Rev. Lett. 2014. V. 112. P. 187 202.
- Polash M.M.H., Vashaee D. Anomalous Thermoelectric Transport Properties of Fe-Rich Magnetic FeTe // Phys. Stat. Sol. RRL. 2021. V. 15. P. 2100231.
- Bao W., Qiu Y., Huang Q., Green M.A., Zajdel P., Fitzsimmons M.R., Zhernenkov M., Chang S., Fang M., Qian B., Vehstedt E.K., Yang J., Pham H.M., Spinu L., Mao Z.Q. Tunable (δπ, δπ)-Type Antiferromagnetic Order in α-Fe(Te,Se) Superconductors // Phys. Rev. Lett. 2009. V. 102. P. 247001.
- Subedi A., Zhang L., Singh D.J., Du M.H. Density functional study of FeS, FeSe, and FeTe: Electronic structure, magnetism, phonons, and superconductivity // Phys. Rev. B. 2008. V. 78. P. 134514.
- Khasanov R., Bendele M., Amato A., Babkevich P., Boothroyd A.T., Cervellino A., Conder K., Gvasaliya S.N., Keller H., Klauss H.-H., Luetkens H., Pomjakushin V., Pomjakushina E., Roessli B. Coexistence of incommensurate magnetism and superconductivity in Fe1 + ySexTe1 – x // Phys. Rev. B. 2009. V. 80. P. 140511.
- Zhou W., Sun Y., Zhang S., Zhuang J., Yuan F., Li X., Shi Z., Yamada T., Tsuchiya Y., Tamegai T. Bulk Superconductivity in Fe1+yTe0.6Se0.4 Induced by Removal of Excess Fe // J. Phys. Soc. Jpn. 2014. V. 83. P. 064 704.
- Moon C.-Y., Choi H.J. Chalcogen-Height Dependent Magnetic Interactions and Magnetic Order Switching in FeSexTe1 – x // Phys. Rev. Lett. 2010. V. 104. P. 057003.
- Ma Q., Gao Q., Shan W., Li X., Li H., Ma Z. The superconductivity and transport properties in FeTe with S addition // Vacuum. 2022. V. 195. P. 110661.
- Zajdel P., Hsieh P.-Y., Rodriguez E.E., Butch N.P., Magill J.D., Paglione J., Zavalij P., Suchomel M.R., Green M.A. Phase Separation and Suppression of the Structural and Magnetic Transitions in Superconducting Doped Iron Tellurides, Fe1 + xTe1 – ySy // J. Am. Chem. Soc. 2010. V. 132. P 13000–13007.
- Awana V.P.S., Pal A., Vajpayee A., Gahtori B., Kishan H. Superconductivity and thermal properties of sulphur doped FeTe with effect of oxygen post annealing // Phys. C: Supercond. Appl. 2011. V. 471. P. 77–82.
- Zhang L., Singh D.J., Du M.-H. Density functional study of excess Fe in Fe1 + xTe: Magnetism and doping // Phys. Rev. B. 2009. V. 79. P. 012506.
- Liu T.J., Hu J., Qian B., Fobes D., Mao Z.Q., Bao W., Reehuis M., Kimber S.A.J., Prokeš K., Matas S., Argyriou D.N., Hiess A., Rotaru A., Pham H., Spinu L., Qiu Y., Thampy V., Savici A.T., Rodriguez J.A., Broholm C. From (π, 0) magnetic order to superconductivity with (π, π) magnetic resonance in Fe1.02Te1 – xSex // Nature Mater. 2010. V. 9. P. 718–720.
- Janaki J., Govindaraj R., Geetha Kumary T., Mani A., Narasimha Rao G.V., Bharathi A. Synthesis, electrical transport and Mössbauer spectroscopy study of the layered iron tellurides Fe1.1 – xNixTe // Phys. Status Solidi B. 2012. V. 249. P. 134–137.
- Janaki J., Geetha Kumary T., Thirumurugan N., Mani A., Das A., Narasimha Rao G.V., Bharathi A. Influence of Ni Doping on the Low Temperature Properties of Layered Fe1 + δTe // J. Supercond. Nov. Magn. 2012. V. 25. P. 209–214.
- Zhu Y., Li L., Yang Z., Zhang Z., Yuan B., Chen J., Du H., Sun Y., Zhang Y. Co-doping effects on the transport and magnetic properties of FeTe // J. Magn. Magn. Mater. 2016. V. 397. P. 1–5.
- Cheng C., Feng Z., Li Q., Li T., Hou Q., Chen F., Ou Z., Ge J.-Y., Cao S., Zhang J. K-doping effect of the superconductivity in K2xFeTe1 – xSx (0.07 ≤ x ≤ 0.3) // Curr. Appl. Phys. 2019. V. 19. P. 475–479.
- Wang H., Dong C., Li Z., Yang J., Mao Q., Fang M. Evolution from antiferromagnetic order to spin-glass state in Fe1.05 – xCuxTe system // Phys. Lett. A. 2012. V. 376. P. 3645–3648.
- Gimazov I.I., Kiyamov A.G., Lyadov N.M., Vasilyev A.N., Chareev D.A., Talanov Yu.I. Impact of Impurity Phases and Superstoichiometric Iron on the Critical Temperature of Iron Chalcogenides // JETP Letters. 2021. V. 113. P. 454–460.
- Hartwig S., Schäfer N., Schulze M., Landsgesell S., Abou-Ras D., Blum Ch.G.F., Wurmehl S., Sokolowski A., Büchner B., Prokeš K. Inhomogeneities and superconductivity in poly-phase Fe–Se–Te systems // Phys. B: Condens. Matter. 2018. V. 531. P. 102–109.
- Yadav A.K., Sanchela A.V., Thakur A.D., Tomy C.V. Effect of nominal substitution of transition metals for excess Fe in Fe1 + xSe superconductor // Solid State Commun. 2015. V. 202. P. 8–13.
- Zhang Z.T., Yang Z.R., Lu W.J., Chen X.L., Li L., Sun Y.P., Xi C.Y., Ling L.S., Zhang C.J., Pi L., Tian M.L., Zhang Y.H. Superconductivity in Fe1.05Te:Ox single crystals // Phys. Rev. B. 2013. V. 88. P. 214511.
- Janaki J., Geetha Kumary T., Mani A., Amaladass E.P., Radhikesh Raveendran N., Magudapathy P., Kalavathi S., Sairam T.N., Ravindran T.R. Characterization and Low Temperature Study of Iron Telluride Thin Films Upon Ageing and Oxygen Ion Irradiation // J. Supercond. Nov. Magn. 2014. V. 27. P. 2639–2643.
- Fan L., Cheng P., Han J., Yuan P., Sun W., Lu W., Xiao Q., Ge J.-Y., Zhang J., Chen F. Annealing Effects on the Structural, Surface, and Superconducting Properties of FeTe0.55Se0.45 Single Crystals // J. Supercond. Nov. Magn. 2021. V. 34. P. 1739–1744.
- Li X., Sun Y., Zhang Y., Zhou W., Yuan F., Shi Zh. Improvement of superconductivity in Fe1 + yTe0.6Se0.4 induced by annealing with CaF2 and SmF3 // Phys. C: Supercond. Appl. 2015. V. 514. P. 16–19.
- Li Y., Wu Zh., An Y., Wang G., Sun Ch., Huang Y., Li P., Li L., Tang W. Influence of Nitrogen Atmosphere Annealing on Structural and Transport Properties of Fe1.125Te // Adv. Mat. Res. 2014. V. 936. P. 1234–1238.
- Kusmartseva A.F., Sipos B., Berger H., Forró L., Tutiš E. Pressure Induced Superconductivity in Pristine 1T‑TiSe2 // Phys. Rev. Lett. 2009. V. 103. P. 236401.
- Rodriguez-Carvajal J. Recent developments of the program Fullprof // Newsl. Comm. Powder Diffr. (IUCr). 2001. V. 26. P. 12–19.
- Lodhi P.D., Solanki N., Choudhary K.K., Kaurav N. Investigation of transport properties of FeTe compound // AIP Conf. Proc. 2018. V. 1953. P. 120031.
- Okamoto H., Tanner L.E. The Fe–Te (Iron–Tellurium) System // Bull. alloy phase diagr. 1990. V. 11. P. 371–376.
- Arvhult C.-M., Poissonnet S., Menut D., Gossé S., Guéneau C. Thermodynamic assessment of the Fe–Te system. Part I: Experimental study // J. Alloys Compd. 2019. V. 773. P. 314–326.
- Hirota T., Ueda Y., Kosuge K. Phase diagram of the TiSex system (0.95 ≤ x ≤ 2.00) // Mat. Res. Bull. 1988. V. 23. P. 1641–1650.
- Sales B.C., Sefat A.S., McGuire M.A., Jin R.Y., Mandrus D. Bulk superconductivity at 14 K in single crystals of Fe1 + yTexSe1 – x // Phys. Rev. B. 2009. V. 79. P. 094521.
- Dong Ch., Wang H., Li Z., Chen J., Yuan H.Q., Fang M. Revised phase diagram for the FeTe1 – xSex system with fewer excess Fe atoms // Phys. Rev. B. 2011. V. 84. P. 224 506.
- Qiu Y., Bao W., Zhao Y., Broholm C., Stanev V., Tesanovic Z., Gasparovic Y.C., Chang S., Hu J., Qian B., Fang M., Mao Z. Spin Gap and Resonance at the Nesting Wave Vector in Superconducting FeSe0.4Te0.6 // Phys. Rev. Lett. 2009. V. 103. P. 067 008.
- Tropeano M., Pallecchi I., Cimberle M.R., Ferdeghini C., Lamura G., Vignolo M., Martinelli A., Palenzona A., Putti M. Transport and superconducting properties of Fe-based superconductors: a comparison between SmFeAsO1 – xFx and Fe1 + yTe1 – xSex // Supercond. Sci. Technol. 2010. V. 23. P. 054001.
- Gawryluk D.J., Fink-Finowicki J., Wisniewski A., Puzniak R., Domukhovski V., Diduszko R., Kozłowski M., Berkowski M. Growth conditions, structure and superconductivity of pure and metal-doped FeTe1 – xSex single crystals // Supercond. Sci. Technol. 2011. V. 24. P. 065 011.
- Yadav C.S., Paulose P.L. Upper critical field, lower critical field and critical current density of FeTe0.60Se0.40 single crystals // New J. Phys. 2009. V. 11. P. 103046.
- Holleis S., Thomas A.A., Shipulin I.A., Hühne R., Steiger-Thirsfeld A., Bernardi J., Eisterer M. Magnetic granularity in PLD-grown Fe(Se,Te) films on simple RABiTS templates // Supercond. Sci. Technol. 2022. V. 35. P. 074001.
- Zaliznyak I.A., Xu Z.J., Wen J.S., Tranquada J.M., Gu G.D., Solovyov V., Glazkov V.N., Zheludev A.I., Garlea V.O., Stone M.B. Continuous magnetic and structural phase transitions in Fe1 + yTe // Phys. Rev. B. 2012. V. 85. P. 085105.
- Wang X.F., Zhang Z.T., Chen X.L., Kan X.C., Li L., Sun Y.P., Zhang L., Xi C.Y., Pi L., Yang Z.R., Zhang Y.H. Doping effects of Sb in FeTe1 – xSbx single crystals // Phys. C: Supercond. Appl. 2015. V. 513. P. 39–42.
- Koz C., Rößler S., Tsirlin A.A., Zor C., Armağan G., Wirth S., Schwarz U. Effect of Co and Ni substitution on the two magnetostructural phase transitions in Fe1.12Te // Phys. Rev. B. 2016. V. 93. P. 024504.
- Takahashi H., Okada H., Takahashi H., Mizuguchi Y., Takano Y. Electrical resistivity measurements under high pressure for FeTe0.92 // J. Phys.: Conf. Ser. 2010. V. 200. P. 012 196.
- Mydeen K., Kasinathan D., Koz C., Rößler S., Rößler U.K., Hanfland M., Tsirlin A.A., Schwarz U., Wirth S., Rosner H., Nicklas M. Pressure-induced ferromagnetism due to an anisotropic electronic topological transition in Fe1.08Te // Phys. Rev. Lett. 2017. V. 119. P. 227 003.
- Tian J., Ivanovski V.N., Abeykoon M., Martin R.M., Baranets S., Martin C., Liu Y., Du Q., Wang A., Chen S., Tong X., Zhang W., Bobev S., Koteski V., Petrovic C. Absence of long-range magnetic order in Fe1 – δTe2 (δ ≈ ≈ 0.1) crystals // Phys. Rev. B. 2021. V. 104. P. 224 109.
- Chen S., Liu H., Chen F., Zhou K., Xue Y. Synthesis, transfer, and properties of layered FeTe2 nanocrystals // ACS Nano. 2020. V. 14. P. 11 473–11 481.
Supplementary files










