Anomalous Magnetic Viscosity in (Sm,Zr)Fe11Ti Alloys with ThMn12-Type Structure
- Authors: Neznakhin D.S.1, Volegov A.S.1, Maltseva V.E.1, Andreev S.V.1
-
Affiliations:
- Ural Federal University Named after the First President of Russia B.N. Yeltsin
- Issue: Vol 124, No 12 (2023)
- Pages: 1205-1210
- Section: ЭЛЕКТРИЧЕСКИЕ И МАГНИТНЫЕ СВОЙСТВА
- URL: https://journal-vniispk.ru/0015-3230/article/view/232730
- DOI: https://doi.org/10.31857/S0015323023600727
- EDN: https://elibrary.ru/GGOETV
- ID: 232730
Cite item
Full Text
Abstract
Abstract—
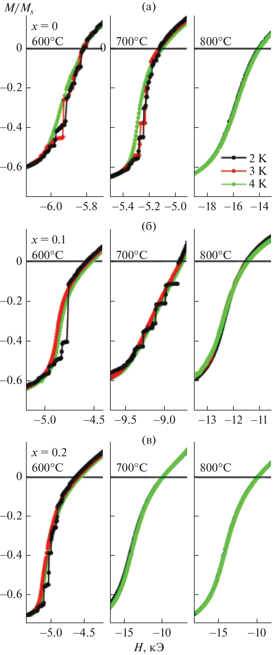
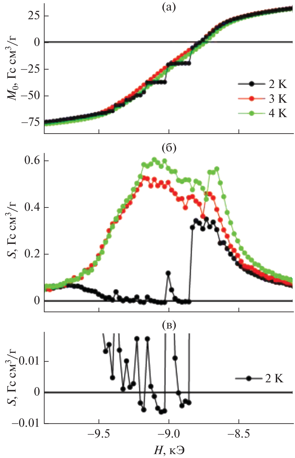
Magnetic properties of the microcrystalline Sm1 – xZrxFe11Ti (x = 0, 0.1, 0.2) alloys with ThMn12-type structure were investigated. Irreversible jumps of magnetization on major hysteresis loops at low temperatures (2–4 K) were found. The jumps are random either in the magnitude of the magnetic field in which they occur or in their amplitude, and are independent of the chemical composition. There is a specific annealing temperature for each alloy, above which magnetization jumps are not observed in annealed alloys at low temperatures. The magnetic viscosity of Sm0.9Zr0.1Fe11Ti alloy annealed at 700°C was investigated at temperatures of 2–4 K. The magnetic viscosity coefficient has a discontinuity in the field of magnetization jump. This behavior is explained by thermal processes occurring during magnetization of the alloy through the magnetization jump.
About the authors
D. S. Neznakhin
Ural Federal University Named after the First President of Russia B.N. Yeltsin
Author for correspondence.
Email: D.S.Neznakhin@urfu.ru
Russia, 620002, Ekaterinburg
A. S. Volegov
Ural Federal University Named after the First President of Russia B.N. Yeltsin
Email: D.S.Neznakhin@urfu.ru
Russia, 620002, Ekaterinburg
V. E. Maltseva
Ural Federal University Named after the First President of Russia B.N. Yeltsin
Email: D.S.Neznakhin@urfu.ru
Russia, 620002, Ekaterinburg
S. V. Andreev
Ural Federal University Named after the First President of Russia B.N. Yeltsin
Email: D.S.Neznakhin@urfu.ru
Russia, 620002, Ekaterinburg
References
- Givord D., Lienard A., Tenaud P., Viadieu T. Magnetic viscosity in Nd–Fe–B sintered magnets // J. Magn. Magn. Mater. 1987. V. 67. P. L281–L285.
- Calvo-de La Rosa J., Danilyuk A.L., Komissarov I.V., Prischepa S.L., Tejada J. Magnetic Relaxation Experiments in CNT-Based Magnetic Nanocomposite // J. Supercond. Nov. Magn. 2019. V. 32. P. 3329–3337.
- Volegova E.A., Andreev S.V., Selezneva N.V., Urzhumtsev A.N., Volegov A.S. Effect of intergrain exchange interaction on magnetic viscosity of nanocrystalline isotropic NdFeB magnets // J. Phys.: Conf. Ser. 2019. V. 1389. P. 012 121.
- Müller K.-H. Magnetic viscosity. Encyclopedia of Materials: Science and Technology. 2001. P. 4997–5004.
- Collocott S.J., Dunlop J.B. Anomalous magnetic viscosity in the bulk-amorphous ferromagnet Nd60Fe20Co10Al10 // Phys. Rev. B. 2002. V. 66. P. 224420.
- Collocott S.J., Dunlop J.B. Anomalous magnetic viscosity in the bulk amorphous ferromagnets Nd60Fe30Al10 and Nd60Fe20Co10Al10 // J. Phys.: Conf. Ser. 2009. V. 144. P. 012059.
- Collocott S.J., Dunlop J.B. The fluctuation field and anomalous magnetic viscosity in commercial NdFeB alloys, AlNiCo and the bulk amorphous ferromagnets and // J. Magn. Magn. Mater. 2008. V. 320. P. 2089–2093.
- Collocott S.J., Watterson P.A., Tan X.H., Xu H. The peak in anomalous magnetic viscosity // J. Magn. Magn. Mater. 2014. V. 360. P. 118–125.
- Hai N.H., Chau N., Ngo D.T., Gam D.T.H. Anomalous magnetic viscosity in α-Fe(Co)/(Nd,Pr)2Fe14B exchange-spring magnet // J. Magn. Magn. Mater. 2011. V. 323. P. 3156–3161.
- Wang L., Ding J., Li Y., Feng Y.P., Wang X.Z. Anomalous magnetic viscosity in bulk-amorphous materials // J. Magn. Magn. Mater. 1999. V. 206. P. 127–134.
- Protasov A.V., Popov A.G., Volegov A.S., Gaviko V.S., Shitov A.V., Golovnya O.A. The Microstructure and Magnetic Properties of the Strip-Cast (Sm,Zr)(Fe,Co)10.3Ti0.7 Alloy // Phys. Metals Metallogr. 2023. V. 124. № 1. P. 15–21.
- Zhang J.S., Tang X., Bolyachkin A.S., Srinithi A.K., Ohkubo T., Sepehri-Amin H., Hono K. Microstructure and extrinsic magnetic properties of anisotropic Sm(Fe,Ti,V)12-based sintered magnets // Acta Mater. 2022. V. 238. P. 118228.
- Neznakhin D.S., Maltseva V.E., Andreev S.V., Selezneva N.V., Patrakov E.I., Golovnia O.A., Volegov A.S. Phase composition and magnetic properties of (Sm,Zr)Fe11Ti magnets produced by selective laser melting // J. Magn. Magn. Mater. 2022. V. 563. P. 169 937.
- Neznakhin D.S., Andreev S.V., Semkin M.A., Selezneva N.V., Volochaev M.N., Bolyachkin A.S., Kudrevatykh N.V., Volegov A.S. Structure and magnetic properties of (Sm0.9Zr0.1)Fe11Ti alloys with ThMn12-type structure // J. Magn. Magn. Mater. 2019. V. 484. P. 212–217.
- Ryzhikhin I., Andreev S., Semkin M., Selezneva N., Volegov A., Kudrevatykh N. Structure and magnetic properties of (Sm1 – xZrx)Fe11Ti (x = 0–0.2) alloys // J. Phys.: Conf. Ser. 2019. V. 1389. P. 012117.
- Otani Y., Coey J.M.D., Barbara B., Miyajima H., Chikazumi S., Uehara M. Anomalous demagnetization process at very low temperature in Nd-Fe-B magnets // J. Appl. Physics. 1990. V. 67. P. 4619–4621.
- Baranov N.V., Sinitsyn E.V., Ignatyev E.A., Andreev S.V. Magnetization reversal of Nd–Fe–B sintered magnets at low temperatures // J. Magn. Magn. Mater. 1994. V. 130. P. 133.
- Uehara M. Magnetization reversal in SmCo3.5Cu1.5 single crystal and Sm(Co–Cu–Fe–Ti)6.8 sintered magnet at very low temperatures // J. Magn. Magn. Mater. 1983. V. 31. P. 1017.
- Handstein A., Eckert D., Muller K.H., Wall B., Rodewald W. Jumps of magnetic polarization in Sm2Co17-based magnets // IEEE Trans. Magn. 1994. V. 30. № 2. P. 598–600.
- Neznakhin D.S., Bolyachkin A.S., Volegov A.S., Markin P.E., Andreev S.V., Kudrevatykh N.V. Magnetization jumps in nanostructured Nd–Fe–B alloy at low temperatures // J. Magn. Magn. Mater. 2015. V. 377. P. 477–479.
- Volegov A.S., Müller K.H., Bittner F., Mix T., Neznakhin D.S., Volegova E.A., Nenkov K., Schultz L., Woodcock T.G. Magnetic viscosity of L10 structured Mn-Ga and Mn–Al alloys // J. Magn. Magn. Mater. 2017. V. 441. P. 750–756.
Supplementary files






