Теплофизические свойства металлов в квазидвухфазной модели
- Авторы: Терехов С.В.1
-
Учреждения:
- Донецкий физико-технический институт им. А.А. Галкина
- Выпуск: Том 124, № 12 (2023)
- Страницы: 1261-1270
- Раздел: СТРУКТУРА, ФАЗОВЫЕ ПРЕВРАЩЕНИЯ И ДИФФУЗИЯ
- URL: https://journal-vniispk.ru/0015-3230/article/view/232742
- DOI: https://doi.org/10.31857/S0015323023601666
- EDN: https://elibrary.ru/ZHWYVT
- ID: 232742
Цитировать
Полный текст
Аннотация
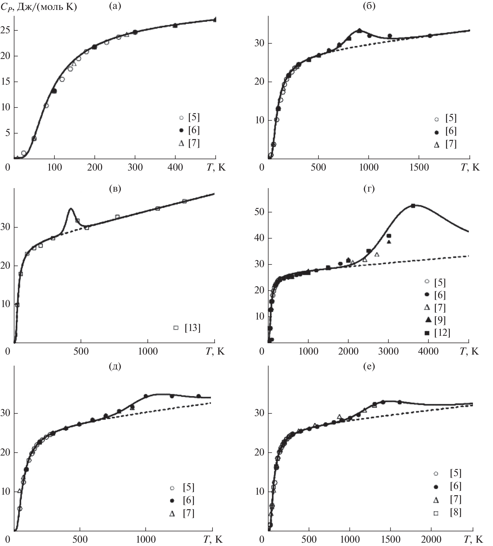
Продемонстрирована применимость модели двухфазной локально-равновесной области для расчета температурных зависимостей теплоемкости, коэффициентов линейного теплового расширения и температуропроводности различных металлов. Показано, что предложенные соотношения позволяют описывать возрастание термической характеристики при увеличении температуры и ее изменения, связанные с реализацией фазового перехода. Указано на возможность экстраполяции установленных зависимостей в экспериментально неисследованные области. Относительная простота установленных соотношений, определенный универсализм модели при описании различных твердых веществ и наглядность полученных теоретических результатов позволяют надеяться на использование модели в инженерно-технических расчетах.
Ключевые слова
Об авторах
С. В. Терехов
Донецкий физико-технический институт им. А.А. Галкина
Автор, ответственный за переписку.
Email: svlter@yandex.ru
Россия, 283048, Донецк, ул. Р. Люксембург, 72
Список литературы
- Памятных Е.А. Электронные квантовые волны в металлических нанопроволоках // ФММ. 2020. Т. 121. № 5. С. 451–453.
- Ганиев И.Н., Норова М.Т., Эшов Б.Б., Иброхимов Н.Ф., Иброхимов С.Ж. Влияние добавок скандия на температурную зависимость теплоемкости и термодинамических функций алюминиево-магниевых сплавов // ФММ. 2020. Т. 121. № 1. С. 25–31.
- Порсев В.Е., Ульянов А.Л., Дорофеев Г.А. Эволюция ближнего порядка в нанокристаллических механоактивированных сплавах Fe–Cr в процессе отжига // ФММ. 2020. Т. 121. № 8. С. 862–869.
- Воскобойников Р.Е. Моделирование первичных радиационных повреждений в никеле // ФММ. 2020. Т. 121. № 1. С. 18–24.
- Новицкий Л.А., Кожевников И.Г. Теплофизические свойства материалов при низких температурах. Справочник. М.: Машиностроение, 1975. 216 с.
- Зиновьев В.Е. Теплофизические свойства металлов при высоких температурах. М.: Металлургия, 1989. 384 с.
- Лариков Л.Н., Юрченко Ю.Ф. Структура и свойства металлов и сплавов. Тепловые свойства металлов и сплавов. Киев: Наукова думка, 1985. 437 с.
- Giauque W.F., Meads P.F. The heat capacities and entropies of aluminum and copper from 15 to 300 K // J. Amer. Chem. Soc. 1941. V. 63. № 7. P. 1897–1901.
- Дорогокупец П.И., Соколова Т.С., Данилов Б.С., Литасов К.Д. Почти абсолютные уравнения состояния алмаза, Ag, Al, Au, Cu, Mo, Nb, Pt, Ta, W для квазигидростатических условий // Геодинамика и тектонофизика. 2012. Т. 3. № 2. С. 129–166.
- Новикова С.И. Тепловое расширение твердых тел. М.: Наука, 1974. 292 с.
- Казанцев Е.И. Промышленные печи. Справочное руководство для расчетов и проектирования. М.: Металлургия, 1975. 367 с.
- Бодряков В.Ю. О корреляции температурных зависимостей теплового расширения и теплоемкости вплоть до точки плавления тугоплавкого металла: вольфрам // Теплофиз. высок. температур. 2015. Т. 53. № 5. С. 676.
- Свойства элементов. Справочник. М.Е. Дриц (ред.). М.: Металлургия, 1985. 671 с.
- Gopal E.S.R. Specific heats at low temperatures. New York: Plenum Press. 1966. 240 p.
- Бубнова Р.С., Филатов С.К. Терморентгенография поликристаллов. Часть II. Определение количественных характеристик тензора термического расширения. Санкт-Петербург: С.-Пб. гос. ун-т, 2013. 142 с.
- Desai P.D. Thermodynamic properties of iron and silicon // J. Phys. Chem. Ref. Data. 1986. V. 15. № 3. P. 967–983.
- Stølen S., Grande T. Chemical thermodynamics of materials: macroscopic and microscopic aspects. Chichester West Sussex: John Wiley & Sons Ltd, The Atrium. 2004. 396 p.
- Barron T.H.K., White G.K. Heat capacity and thermal expansion at low temperatures. New York: Springer Science + Business Media, LLC. 1999. 338 p.
- Li Z., Mao H., Selleby M. Thermodynamic modeling of pure Co accounting two magnetic states for the fcc phase // J. Phase Equil. Diffusion. 2018. № 39. P. 502–509.
- Ходаковский И.Л. О новых полуэмпирических уравнениях температурной зависимости теплоемкости и объемного коэффициента термического расширения минералов // Вестник ОНЗ РАН. 2012. Т. 4. NZ9001.
- Денисова Л.Т., Каргин Ю.Ф., Иртюго Л.А., Белоусова Н.В., Белецкий В.В., Денисов В.М. Теплоемкость In2Ge2O7 и YInGe2O7 в области температур 320–1000 K // Неорганич. материалы. 2018. Т. 54. № 12. С. 1315–1320.
- Терехов С.В. Термодинамическая модель размытого фазового перехода в металлическом стекле Fe40Ni40P14B6 // Физ. и техн. высоких давлений. 2018. Т. 28. № 1. С. 54–61.
- Терехов С.В. Моно- и мультистадийная кристаллизация аморфных сплавов // ФММ. 2020. Т. 121. № 7. С. 731–736.
- Терехов С.В. Тепловые свойства вещества в рамках модели двухфазной системы // ФТТ. 2022. Т. 64. № 8. С. 1077–1083.
- Терехов С.В. Размытый фазовый переход и теплоемкость твердого тела // Физ. и техн. высок. давлений. 2022. Т. 32. № 2. С. 36–51.
- Кубо Р. Термодинамика. М.: Мир, 1970. 304 с.
- Kингери У.Д. Введение в керамику. М.: Стройиздат, 1967. 499 с.
- Чертов А.Г. Единицы физических величин. М.: Высш. школа, 1977. 287 с.
- Шелудяк Ю.Е., Кашпоров Л.Я., Малинин Л.А., Цалков В.Н. Теплофизические свойства компонентов горючих систем / Справочник под ред. Н.А. Силина. М.: НПО “Информация и технико-экономические исследования”, 1992. 184 с.
- Физические величины. Справочник / А.П. Бабичев, Н.А. Бабушкина, А.М. Братковский и др. / Под. ред. И.С. Григорьева, Е.3. Мейлихова. М.: Энергоатомиздат, 1991. 1232 с.
- Терехов С.В. Влияние фазовых переходов на температурные зависимости тепловых свойств вещества // Физ. и техн. высоких давлений. 2022. Т. 32. № 4. С. 41–50.
- Терехов С.В. Теплоемкость и тепловое расширение вещества / Справочник. Донецк: ДонФТИ им. А.А. Галкина, 2022. 168 с.
Дополнительные файлы






