The Dynamic Properties of Low-Alloyed Copper Alloys with a Submicrocrystalline Structure Obtained by High-Strain-Rate Deformation
- Authors: Abdullina D.N.1, Khomskaya I.V.1, Razorenov S.V.2, Shorokhov E.V.3
-
Affiliations:
- Miheev Institute of Metal Physics, Ural Branch of Russian Academy of Sciences
- Federal Research Center of Problems of Chemical Physics and Medicinal Chemistry of RAS
- Russian Federal Nuclear Center–Zababakhin All-Russian Research Institute of Technical Physics
- Issue: Vol 124, No 12 (2023)
- Pages: 1279-1287
- Section: ПРОЧНОСТЬ И ПЛАСТИЧНОСТЬ
- URL: https://journal-vniispk.ru/0015-3230/article/view/232747
- DOI: https://doi.org/10.31857/S0015323022601969
- EDN: https://elibrary.ru/GGIYHU
- ID: 232747
Cite item
Full Text
Abstract
Abstract—
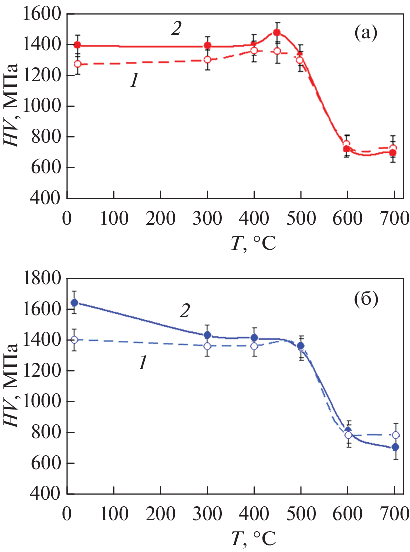
The mechanical properties of alloys Cu–0.03 wt % Zr and Cu–0.10 wt % Cr with a submicrocrystalline structure formed during dynamic channel-angular pressing and subsequent annealing. The properties of the alloys were studied under shock compression conditions with a pressure of 4.7–7.0 GPa and a deformation rate of (1.3–3.2) × 105 s–1. It is shown that grain grinding from 200–400 to 0.3–1.0 microns increases the dynamic elastic limit and the dynamic yield strength of the Cu–0.03% Zr alloy by 1.9 and 1.8 times, respectively, but reduces the shear strength by 1.4 times. Subsequent annealing at 400 and 450°C can increase the characteristics of the elastic-plastic transition by 3.0 and 3.7 times, respectively, and increase the shear strength to the level of a large-crystal analog. It is determined that the dispersion of the Cu–0.10% Cr alloy structure to 1.0–5.0 microns increases not only the dynamic elastic limit and dynamic yield strength by 3.7 and 2.6 times, respectively, and the shear strength by 1.5 times, compared with its value in the coarse-grained state.
About the authors
D. N. Abdullina
Miheev Institute of Metal Physics, Ural Branch of Russian Academy of Sciences
Author for correspondence.
Email: abdullina@imp.uran.ru
Russia, 620108, Ekaterinburg
I. V. Khomskaya
Miheev Institute of Metal Physics, Ural Branch of Russian Academy of Sciences
Email: abdullina@imp.uran.ru
Russia, 620108, Ekaterinburg
S. V. Razorenov
Federal Research Center of Problems of Chemical Physics and Medicinal Chemistry of RAS
Email: abdullina@imp.uran.ru
Russia, 142432, Chernogolovka
E. V. Shorokhov
Russian Federal Nuclear Center–Zababakhin All-Russian Research Institute of Technical Physics
Email: abdullina@imp.uran.ru
Russia, 456770, Snezhinsk
References
- Валиев Р.З., Александров И.В. Объемные наноструктурные металлические материалы: получение, структура, свойства. М.: ИКЦ Академкнига, 2007. 398 с.
- Глезер А.М., Громов В.Е. Наноматериалы, созданные путем экстремальных воздействий. Новокузнецк: Интер−Кузбасс, 2010. 171 с.
- Dobatkin S.V., Shangina D.V., Bochvar N.R., Janeček M. Effect of deformation schedules and initial states on structure and properties of Cu–0.18% Zr alloy after high-pressure torsion and heating // Mater. Sci. Eng. A. 2014. V. 598. P. 288–292.
- Дегтярев М.В., Чащухина Т.И., Романова М.Ю., Воронова Л.М. О связи структуры меди с температурно-скоростными параметрами деформации сдвигом под давлением // ДАН. 2004. Т. 397. № 2. С. 193−197.
- Бpодова И.Г., Зельдович В.И., Хомская И.В. Фазово-структурные превращения и свойства цветных сплавов при экстремальных воздействиях // ФММ. 2020. Т. 121. № 7. С. 696–730.
- Канель Г.И., Разоренов С.В., Фортов В.Е. Субмикросекундная прочность материалов. // Изв. РАН. МТТ. 2005. № 4. С. 86–111.
- Гаркушин Г.В., Игнатова О.Н., Канель Г.И., Мейер Л., Разоренов С.В. Субмикросекундная прочность ультрамелкозернистых материалов. Изв. РАН. МТТ. 2010. № 4. С. 155−163.
- Гаркушин Г.В., Иванчихина Г.Е., Игнатова О.Н., Каганова И.И., Малышев А.Н., Подурец А.М., Раевский В.А., Разоренов С.В., Скоков В.И., Тюпанова О.А. Механические свойства меди М1 до и после ударного сжатия в широком диапазоне длительности нагрузки // ФММ. 2011. Т. 111. № 2. С. 203−212.
- Разоренов С.В., Гаркушин Г.Н. Упрочнение металлов и сплавов при ударном сжатии // ЖТФ. 2015. Т. 85. № 7. С. 77−82.
- Шорохов Е.В., Жгилев И.Н., Валиев Р.З. Способ динамической обработки материалов. Пат. 2283717 Российская Федерация, МПК51 B 21 J 5/04, B 21 C 23/18, C 21 D 7/02. Опубл. 27.04.06. Бюл. № 26. 64 с.
- Brodova I.G., Shorokhov E.V., Petrova A.N., Shirinkina I.G., Minaev I.V., Zhgilev I.N., Abramov A.V. Fragmentation of the structure in Al-based alloys upon high speed effect // Rev. on Adv. Mater. Sci. 2010. V. 25. P. 128–135.
- Хомская И.В., Шорохов Е.В., Зельдович В.И., Хейфец А.Э., Фролова Н.Ю. Структура и свойства субмикрокристаллической и нанокристаллической меди, полученной методом канально-углового прессования // Металлы. 2012. № 6. С. 56–62.
- Попов В.В., Столбовский А.В., Попова Е.Н., Фалахутдинов Р.М., Шорохов Е.В. Эволюция структуры оловянистой бронзы при динамическом канально-угловом прессовании // ФММ. 2017. Т. 118. № 9. С. 909–916.
- Хомская И.В., Зельдович В.И., Шорохов Е.В., Фролова Н.Ю., Хейфец А.Э., Дякина В.П. Влияние высокоскоростной деформации на структуру, свойства и термическую стабильность меди, легированной хромом и цирконием // Деформация и разрушение материалов. 2017. № 4. С. 22–29.
- Khomskaya I.V., Zel’dovich V.I., Frolova N.Yu., Kheifets A.E., Shorokhov E.V., Abdullina D.N. Effect of high-speed dynamic channel angular pressing and aging on the microstructure and properties of Cu–Cr–Zr alloys // IOP Conference Series: Mater. Sci. Eng. 2018. V. 447. P. 12007–12012.
- Khomskaya I.V., Zel’dovich V.I., Frolova N.Yu., Abdullina D.N., Kheifets A.E. Investigation of Cu5Zr particles precipitation in Cu–Zr and Cu–Cr–Zr alloys subjected to quenching and high strain rate deformation // Letters Mater. 2019. V. 9. № 4. P. 400–404.
- Бродова И.Г., Петрова А.Н., Разоренов С.В., Шорохов Е.В. Сопротивление высоко-скоростному деформированию и разрушению субмикрокристаллических алюминиевых сплавов после динамического канально-углового прессования // ФММ. 2015. Т. 116. № 5. С. 548–556.
- Brodova I.G., Petrova A.N. Dynamic properties of submicrocrystalline aluminum alloys // Phys. Met. Metallogr. 2018. V. 119. P. 1342–1345.
- Петрова А.Н., Бродова И.Г., Разоренов С.В., Шорохов Е.В., Акопян Т.К. Механические свойства Al–Zn–Mg–Fe–Ni сплава эвтектического типа при разных скоростях деформации // ФММ. 2019. Т. 120. № 12. С. 1322–1328.
- Хомская И.В., Разоренов С.В., Гаркушин Г.В., Шорохов Е.В., Абдуллина Д.Н. Динамическая прочность субмикрокристаллической и нанокристаллической меди, полученной высокоскоростной деформацией // ФММ. 2020. Т. 121. № 4. С. 435–442.
Supplementary files








