Superparamagnetic Relaxation in Ensembles of Ultrasmall Ferrihydrite Nanoparticles
- Authors: Knyazev Y.V.1, Balaev D.A.1, Skorobogatov S.A.1, Velikanov D.A.1, Bayukov O.A.1, Stolyar S.V.1,2, Ladygina V.P.2, Krasikov A.A.1, Iskhakov R.S.1
-
Affiliations:
- Kirensky Institute of Physics - a branch of the Krasnoyarsk Scientific Center of the Siberian Branch of the Russian Academy of Sciences
- Krasnoyarsk Scientific Center of the Siberian Branch of the Russian Academy of Sciences
- Issue: Vol 125, No 4 (2024)
- Pages: 420-429
- Section: ЭЛЕКТРИЧЕСКИЕ И МАГНИТНЫЕ СВОЙСТВА
- URL: https://journal-vniispk.ru/0015-3230/article/view/267431
- DOI: https://doi.org/10.31857/S0015323024040068
- EDN: https://elibrary.ru/WQYARU
- ID: 267431
Cite item
Full Text
Abstract
The paper examines the impact of interparticle interactions on the superparamagnetic relaxation of ultrasmall nanoparticle ensembles, using Fe2O3∙nH2O iron oxyhydroxide (ferrihydrite) nanoparticles as an example. Two samples were analyzed: ferrihydrite of biogenic origin (with an average particle size of d ≈ 2.7 nm) with a natural organic shell, and a sample (with d ≈ 3.5 nm) that underwent low-temperature annealing, during which the organic shell was partially removed. The DC and AC magnetic susceptibilities (χ′(T), χ′′(T)) in a small magnetic field in the superparamagnetic (SPM) blocking region of the nanoparticles were measured. The results show that an increase in interparticle interactions leads to an increase in the SPM blocking temperature from 28 to 52 K according to DC magnetization data. It is shown that below the SPM blocking temperature, magnetic interactions of nanoparticles lead to the formation of a collective state similar to spin glass in bulk materials. The scaling approach reveals that the dynamics of correlated magnetic moments on the particle surface slow down with increasing interparticle interactions. Simulation of χ′′(T) dependence has shown that the dissipation of magnetic energy occurs in two stages. The first stage is directly related to the blocking of the magnetic moment of nanoparticles, while the second stage reflects the spin-glass behavior of surface spins and strongly depends on the strength of interparticle interactions.
Keywords
Full Text
ВВЕДЕНИЕ
В последнее время все большее внимание исследователей уделяется возможным практическим применениям наноразмерных материалов. Несомненно, наиболее актуальной среди практических приложений наноматериалов является область биомедицинских приложений [1, 2]. Обычно предполагается использование внешнего магнитного поля для реализации термического воздействия на пораженные ткани, в которых предварительно локализуют магнитные наночастицы. Такой процесс называется магнитной гипертермией. Нагрев магнитных наночастиц во внешнем переменном магнитном поле в основном обусловлен гистерезисными потерями, связанными с релаксационными процессами магнитных моментов частиц. Здесь под термином “релаксационные процессы” подразумевается характерное время переворота магнитного момента частицы. Параметром, который определяет эффективность магнитного нагрева при гипертермии, является величина эффективного поглощения энергии (SAR) для осуществления нагрева магнитным полем [3]. Очевидно, что величина SAR зависит от выбора материала, диаметра наночастиц и ширины распределения наночастиц по размерам [4–6].
На эффективность такого нагрева могут влиять различные параметры, определяющие магнитные взаимодействия между частицами [7, 8], которые, в конечном счете, связаны с характером релаксационных процессов магнитных моментов частиц. Это открывает еще один возможный путь для получения магнитных наноматериалов с необходимыми свойствами. Взаимодействия между наночастицами можно настроить путем модификации поверхности наночастиц [9–11]. В однофазных порошковых наноматериалах частицы находятся в непосредственном контакте друг с другом, поэтому магнитные межчастичные взаимодействия могут быть сильными. Тогда образцы невзаимодействующих или слабо взаимодействующих частиц могут быть получены путем покрытия частиц неорганическими веществами, например, SiO2 [9, 12] или углеродом [13]. Среди органических модификаторов можно выделить такие белки, как декстран [14], ПЭГ [15], арабиногалактан [16].
Обратным эффектом может быть, например, использование сушки или отжига образцов, что было продемонстрировано на примере наночастиц гематита α-Fe2O3 [17]. Экспериментальные исследования свойств антиферромагнитных наночастиц показали, что агрегация может кардинально изменить магнитную динамику. Например, температура блокировки, при которой частицы становятся суперпарамагнитными (СПМ), может увеличиваться более чем на сотню градусов [18–20]. Связанным с температурой блокировки СПМ частиц критическим параметром является время релаксации магнитного момента частицы τ, которое в общем случае описывается хорошо известной зависимостью Нееля–Брауна:
. (1)
В этом выражении Keff – эффективная константа магнитной анизотропии, V – объем частицы, τ0 – характерное время релаксации частицы, обычно находящееся в пределах 10–13–10–9 c [17]. Важно понимать, что величина τ непосредственно влияет на эффективность поглощения энергии наночастицами (в западной литературе SAR) [21], и с помощью ее регулирования возможно получать образцы с необходимыми для магнитной гипертермии характеристиками.
В антиферромагнитных наночастицах из-за дефектов структуры возникает нескомпенсированный магнитный момент, достигающий величин несколько сотен магнетон Бора. Ранее выполненные оценки межчастичных взаимодействий на примере наноразмерного гематита (<d>~20 нм) показали, что энергии только дипольных взаимодействий может оказаться недостаточной, чтобы существенно повлиять на суперпарамагнитную релаксацию [18, 22, 23]. В то же время экспериментально и теоретически показано, что температура суперпарамагнитной блокировки антиферромагнитных ультрамалых наночастиц существенно изменяется в случае включения межчастичных взаимодействий [22, 24–26]. Поэтому образцы антиферромагнитных ультрамалых наночастиц могут также являться перспективными кандидатами для биомедицинских приложений [17, 27–31].
В данной работе мы исследовали СПМ-релаксацию магнитных моментов в зависимости от степени межчастичных взаимодействий на примере наночастиц ферригидрита (номинальная химическая формула Fe2O3∙nH2O). По данным дифракции нейтронов этот материал имеет антиферромагнитное упорядочение магнитных моментов атомов железа, температура Нееля составляет около 350 K [32]. Ферригидрит существует только в наноразмерном виде, поэтому системы на его основе могут быть хорошими модельными образцами для изучения процессов суперпарамагнитной релаксации. С целью изучения особенностей релаксации магнитных моментов (нескомпенсированных моментов) в системе ультрамалых наночастиц были тщательно проанализированы результаты измерения dc-намагниченности и ac-магнитной восприимчивости (χ′, χ′′) в малом магнитном поле в области суперпарамагнитной блокировки на ансамблях сильно взаимодействующих и слабо взаимодействующих магнитных наночастиц ферригидрита.
ЭКСПЕРИМЕНТ
Синтез образцов наночастиц и их характеризация подробно описаны в работах [33, 34]. Исходный образец (FH-0h) представляет собой набор наночастиц, полученный биогенным способом при культивировании бактерии Klebsiella oxytoca. Для образцов, полученных этим методом, констатировали наличие органической оболочки на поверхности частиц [34], что обуславливает ослабленные магнитные межчастичные взаимодействия. Второй образец (FH-24h) был получен путем отжига исходного образца при температуре 150°С в воздушной атмосфере в течение 24 часов. При данном процессе происходит “выгорание” органической оболочки, что приводит к частичной агломерации частиц и их укрупнению [35, 36]. Таким образом, исследуемые образцы представляют собой ансамбли наночастиц ферригидрита с сильными (FH-24h) и слабыми (FH-0h) магнитными межчастичными взаимодействиями.
Микродифракцию и распределение наночастиц по размерам исследовали методом просвечивающей электронной микроскопии (ПЭМ). Электронно-микроскопические исследования проводили на просвечивающем электронном микроскопе Hitachi HT7700 при ускоряющем напряжении 100 кВ. Средний диаметр частиц, рассчитанный по гистограммам, составляет <d>~2.7 нм и <d>~3.45 нм для FH-0h и FH-24h соответственно. Эти данные согласуются с оценкой, полученной из ширины дифракционных колец по формуле Шеррера [33, 34].
Измерения статической намагниченности (в постоянном поле) была проведены на оригинальном СКВИД магнетометре [36]. Использованы режимы охлаждения в нулевом поле (ZFC) и во внешнем поле (FC). Измерения динамической магнитной восприимчивости (зависимости χ′(T) и χ′′(T)) выполнены на установке PPMS-9 (Quantum Design) в частотном диапазоне 10–10000 Гц с амплитудой поля 2 Э (в условиях ZFC).
РЕЗУЛЬТАТЫ
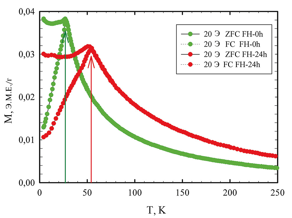
Температурные зависимости намагниченности M(T) исследованных образцов в поле H = 20 Э в режимах ZFC и FC приведены на рис. 1. Вид этих характеристик и взаимное расположение кривых для различной термомагнитной предыстории указывает (1) на СПМ состояние при достаточно высоких температурах и (2) на процессы блокировки магнитных моментов частиц в области низких температур. Если определять температуру СПМ-блокировки TB как точку максимума на зависимости M(T) в ZFC-режиме, то значения TB составляют 28 K и 52 K (показано стрелками на рис. 1) для образцов FH-0h и FH-24h соответственно. Значительное увеличение температуры перехода в СПМ-состояние для образца, прошедшего отжиг, вызвано двумя факторами: увеличением размера частиц в результате низкотемпературного отжига [23, 35, 36] и влиянием магнитных межчастичных взаимодействий. Последнее было продемонстрировано из анализа поведения полевой зависимости величины TB для подобного отожженного образца ферригидрита в работе [23]. Отметим, что при температуре TB блокируются именно нескомпенсированные магнитные моменты антиферромагнитно упорядоченных наночастиц ферригидрита.
Рис. 1. Температурные зависимости намагниченности исследованных образцов в поле H = 20 Э в условиях ZFC и FC. Стрелки указывают на температуры СПМ-разблокировки TB при 28 К и 52 К
Для систем невзаимодействующих частиц температура СПМ-блокировки может быть получена из выражения Нееля–Брауна (1). В экспериментах, как правило, определяется значение TB, и тогда время релаксации магнитного момента частицы τ совпадает с характерным временем измерительной методики τm (τ = τm при T = TB). Отсюда вытекает факт зависимости величины TB от выбранной методики измерений. Для магнитной ac-восприимчивости τm ≈ 1/2πf, где f – частота переменного поля, для статической намагниченности значение τm составляет 10–100 c [17]. Следовательно, имея набор экспериментальных методик, можно получить информацию о температурной зависимости времени релаксации магнитного момента частицы, т.е. фактически о динамике блокировки магнитного момента.
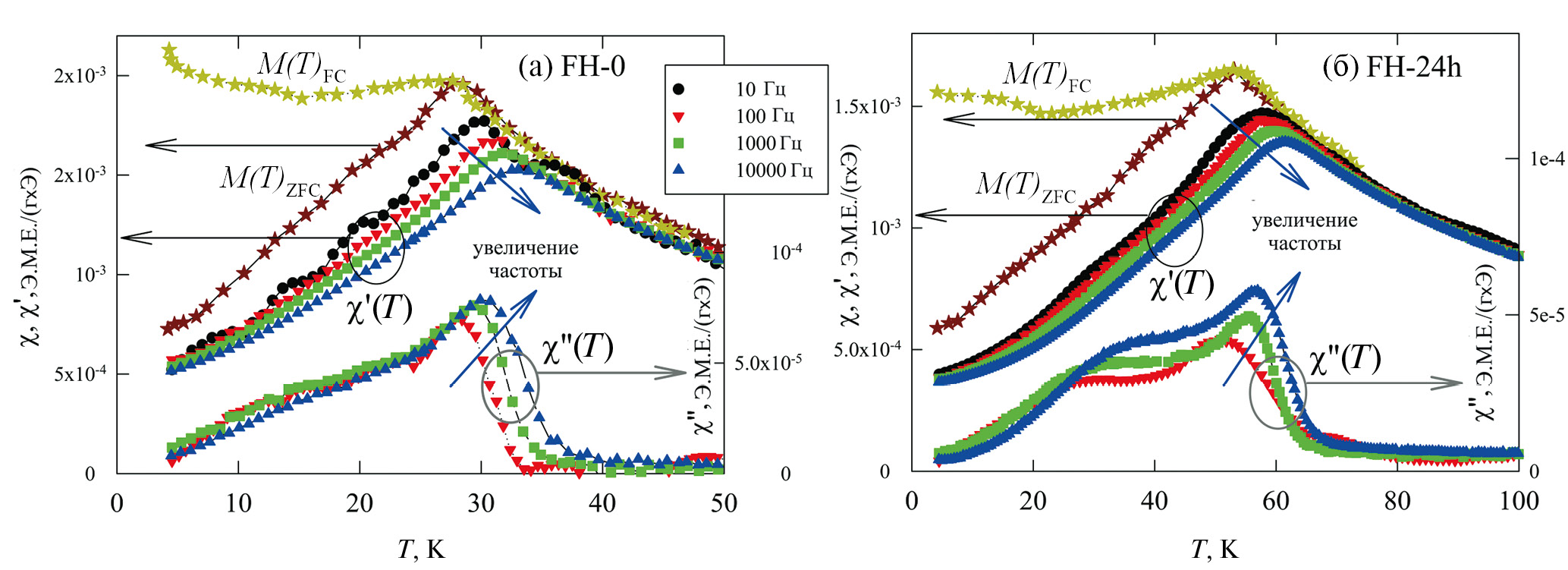
На рис. 2 приведены кривые температурной зависимости действительной χ′(T) и мнимой χ′′(T) частей магнитной ac-восприимчивости, а также статической намагниченности (в единицах χ = M/H во внешнем магнитном поле H = 2 Э) для обоих исследованных образцов. Поведение зависимостей χ′(T) типично для процессов блокировки (разблокировки) систем магнитных наночастиц. Можно выделить следующие характерные особенности: 1) в диапазоне температур выше TB (точка максимума на зависимости χ′(T) или M(T) в ZFC режиме) поведение восприимчивости не зависит от частоты для обоих образцов, 2) ниже температуры TB частотная зависимость восприимчивости явно выражена, 3) с увеличением частоты f (или с уменьшением характерного времени τm) температура СПМ блокировки возрастает. В целом, поведение зависимостей χ′′(T) схоже с описанным выше. Однако для образца FH-24h (рис. 2б) обращает на себя внимание одна ярко выраженная особенность – наличие дополнительного “плеча” (плато) в области температур, меньших температуры максимума. Для образца FH-0h (рис. 2a) данная особенность также видима, однако выражена в меньшей степени.
Рис. 2. Температурные зависимости статической магнитной восприимчивости χ(T) = M(T)/H (левая шкала), а также реальной χ′(T) (левая шкала) и мнимой χ′′(T) (правая шкала) частей ас-восприимчивости образцов FH-0h (a) и FH-24h (б), полученные в диапазоне частот 10–10000 Гц
Естественно, что блокировка магнитного момента наночастиц сопровождается диссипацией энергии (которая определяет параметр SAR). Диссипация может быть оценена исходя из данных мнимой части магнитной восприимчивости. Количественный анализ температурных зависимостей ac-восприимчивости был выполнен на основе подхода, описанного в работах [38–40], с учетом распределения частиц по размерам для обоих образцов. В случае магнитных межчастичных взаимодействий в ансамблях наночастиц мнимая часть магнитной восприимчивости может быть описана выражением вида [38–40]:
, (2)
где функция ψ (f, γ) определена в работах [38, 39] через приближение среднего поля и учитывает частотный сдвиг максимума восприимчивости, M – магнитный момент частицы, принятый 170 μB [33], δ – ширина распределения частиц по размерам, которая является параметром подгонки. Параметр θ учитывает энергию анизотропии частиц ЕА = KeffV, nK – в общем виде представляет собой количество магнитных подсистем (в наших расчетах nK = 2), а qi – их весовой множитель, который варьировали в процессе моделирования. В нашем случае подгонка дала неплохое согласие при учете двух, практически независимых, магнитных подсистем. Результат обработки зависимости χ′′(T) для обоих образцов показан на рис. 3, а численные параметры приведены в табл. 1.
Таблица 1. Результаты математического моделирования противофазной восприимчивости образцов FH-0h и FH-24h. Kэфф – константа эффективной анизотропии наночастиц, δc и δs – ширина распределения ядра и оболочки соответственно. Соотношение площадей под кривыми указано в последнем столбце
Образец | f, Гц | Kэфф, ×106 эрг/см3 | δc | δs | Соотношение ядро/оболочка, отн. ед |
FH-24h | 100 | 2.6±0.25 | 0.09 | 0.85 | 0.15±2 |
FH-0h | 2.4±0.25 | 0.1 | 0.8 | 0.32±2 | |
FH-24h | 1000 | 2.6±0.25 | 0.08 | 0.80 | 0.20±2 |
FH-0h | 2.4±0.25 | 0.092 | 0.75 | 0.42±2 | |
FH-24h | 10000 | 2.6±0.25 | 0.08 | 0.70 | 0.16±2 |
FH-0h | 2.4±0.25 | 0.09 | 0.7 | 0.45±2 |
Математическая обработка правой части зависимостей χ′′(T) (область выраженного максимума χ′′(T)) указывает на достаточно узкое распределение наночастиц по размерам в ансамблях, что согласуется с результатами ПЭМ. Рассчитанные значения константы эффективной анизотропии хорошо согласуются с полученными ранее значениями (Keff = 2.1×106 эрг/см3) в работе [41].
Вышесказанное подтверждает, что правая часть зависимости χ′′(T) (в окрестности наибольшего максимума) отвечает за блокировку магнитного момента частиц. Выраженное “плечо” в области более низких температур имеет значительно более широкое распределение по энергии, которое не находит отражения в экспериментальных результатах ПЭМ и, следовательно, относится к диссипации энергии, связанной с другой магнитной подсистемой. В работе [40] мы отождествили эту подсистему с коллективным состоянием спинов поверхностных атомов железа, в котором формируется структура спин-стекольного типа. Ширина распределений магнитных моментов ядра и оболочки обозначены в табл. 1 как δc и δs. Необходимо учитывать, что в представлении выражения (2) эти подсистемы считаются независимыми, однако мы наблюдаем изменение соотношения долей ядра и оболочки в последнем столбце табл. 1. Это может указывать на существование связи между этими двумя подсистемами, что наблюдали также в работе [40].
Площади под кривыми для указанных компонент достаточно сильно различаются для образцов FH-0h и FH-24h. Для FH-24h с сильными межчастичными взаимодействиями диссипация энергии происходит, в основном, за счет поверхностных магнитных моментов частиц (левая часть зависимости χ′′(T)), в то время как в FH-0h эта подсистема проявляется значительно слабее. Вероятно, это связано с формированием двух слабо зависимых магнитных систем. Первая из них образована нескомпенсированными магнитными моментами частиц, а вторая состоит из скоррелированных атомных магнитных моментов на поверхности частиц в результате действия межчастичных взаимодействий [42]. В ряде работ было показано, что поверхностные магнитные моменты способны формировать состояние подобное спиновому стеклу в случае межчастичных взаимодействий [18, 43–45].
Таким образом, замораживание магнитных моментов на поверхности наночастиц является прямым следствием магнитных межчастичных взаимодействий, что схематично показано на рис. 3. Поэтому можно предположить, что левая часть кривых мнимой части ас-восприимчивости, обозначенная широким оранжевым распределением на рис. 3, соответствует потерям энергии в результате блокировки скоррелированных поверхностных магнитных моментов в кластерах (агрегатах) наночастиц. Эти скоррелированные моменты формируют состояние подобное спиновому стеклу ниже температуры блокировки. Этот процесс наиболее ярко проявляется в образце FH-24h и значительно редуцирован в образце наночастиц FH-0h с органическим покрытием. Можно также отметить, что в ансамблях взаимодействующих частиц ферригидрита диссипация эффективно проявляется аналогично поведению наночастиц типа ядро-оболочка [46–48].
Рис. 3. Результаты подгонки мнимой χ′′(T) части ас-восприимчивости образцов FH-0h (a) и FH-24h (б) по выражению (2). В центре показано модельное представление взаимодействующих наночастиц. Большие стрелки – нескомпенсированный магнитный момент наночастицы, маленькие стрелки – магнитные моменты атомов на поверхности
Известно, что магнитный момент каждого иона в спиновом стекле ниже температуры замерзания располагается преимущественно вдоль локальной оси легкого намагничивания, определяемой локальным кристаллическим полем, формируя неколлинеарную спин-стекольную структуру [49]. Для наночастиц такой сценарий можно реализовать благодаря случайному распределению осей анизотропии взаимодействующих наночастиц. Под влиянием межчастичных взаимодействий возникает некоторая скоррелированная структура спинов, находящихся на поверхности разных частиц.
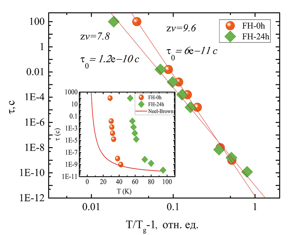
Динамика замерзания (стеклования) магнитных моментов в спиновых стеклах часто описывается с помощью скейлинговых зависимостей [50–52]. Подобный подход с успехом применяли и к анализу влияния межчастичных взаимодействий в случае ансамблей наночастиц [24, 46, 53]. В этом случае нередко используется термин “суперспин”, подразумевая под ним магнитный момент однодоменной магнитной частицы (для антиферромагнитных частиц – нескомпенсированный магнитный момент). Для ансамблей взаимодействующих наночастиц время релаксации суперспина имеет расходимость при некоторой температуре так же, как в случае обычного спинового стекла [38, 39]. Тогда справедливо использовать для подгонки зависимости τ(Т) выражение вида [54]:
. (3)
В выражении (3) показатель степени zv качественно позволяет оценить степень взаимодействия частиц и имеет диапазон 4–12 [46, 50, 55], а Tg соответствует температуре замерзания магнитных моментов. Величина Tg определяется путем подгонки и обычно имеет значение, несколько меньшее температуры блокировки (разблокировки) для методики с наибольшим временем измерения τm (в нашем случае – для статической намагниченности). Помимо статической намагниченности и ac-восприимчивости, для анализа в рамках выражения (3) можно использовать результаты мессбауэровской спектроскопии, для которой значение τm находится во временном интервале 10-8–10-10 c. Принимая во внимание полученные ранее результаты анализа мессбауэровских спектров образцов FH-0h и FH-24h [34], мы выполнили оценку влияния магнитных межчастичных взаимодействий на формирование скоррелированного состояния типа спинового стекла в исследуемых ансамблях наночастиц образцов FH-0h и FH-24h.
На рис. 4 символами показаны данные (τ = τm, T = ТB), полученные из использованного набора экспериментальных методик. Построение в двойных логарифмических координатах позволяет простой линейной аппроксимацией извлечь значение степени zv для обоих образцов. Результат аппроксимации показан сплошной линией. Показатели степени составляют zv = 7.8 и zv = 9.6 при температурах замерзания магнитных моментов Tg = 52.8 К и Tg = 27.6 К, для FH-24h и FH-0h соответственно. Уменьшение этого показателя с ростом влияния межчастичных взаимодействий согласуется с нашими недавними результатами [23]. Такой эффект связан с замедлением суперпарамагнитной релаксации “суперспинов” вследствие коллективных эффектов поверхностных магнитных моментов железа в наночастицах ферригидрита.
Рис. 4. Температурная зависимость времени СПМ- релаксации τ образцов ультрамалых наночастиц ферригидрита в скейлинговых координатах. На вставке показана зависимость τ в прямых координатах
Следует отметить, что механизм СПМ-релаксации достаточно сложен, поскольку многие параметры дают разнонаправленный вклад в изменение скорости релаксации. Увеличение размера наночастиц ферригидрита в результате отжига может привести к росту параметра τ0 в выражении (3), согласно работе [56]. В то же время увеличение размера наночастиц должно приводить и к уменьшению эффективной константы магнитной анизотропии наночастиц в результате уменьшения ее поверхностного вклада. Согласно той же работе [56], увеличение размера частиц влечет уменьшение и параметра τ0. Поэтому мы наблюдаем результат комплексного проявления разных факторов. Сильное увеличение температуры блокировки и уменьшение zv в образце без органической оболочки частиц указывает на доминирующее влияние межчастичных взаимодействий в рассматриваемый эффект замедления СПМ-релаксации.
На вставке к рис. 4 показана зависимость времен релаксации от температуры τm(ТB) в прямых координатах. Сплошной линией показана теоретическая зависимость, полученная по выражению (1) для наночастиц ферригидрита со средним размером 3 нм. Она описывает изменение времени СПМ-релаксации для магнитных моментов наночастиц в ансамбле без магнитных взаимодействий при константе анизотропии Keff = 1.1×106 эрг/см3. Взаимное расположение этой зависимости и экспериментальных данных (описываемых скейлинговым законом (3)) достаточно наглядно показывает, что влияние магнитных межчастичных взаимодействий есть в обоих образцах, и для образца FH-24h эти взаимодействия заметно сильнее. Как отмечено выше, большее влияние магнитных взаимодействий связано с отсутствием органической оболочки наночастиц у образца, прошедшего низкотемпературный отжиг; в исходном образце органическая оболочка, видимо, полностью не изолирует отдельные наночастицы [23].
ЗАКЛЮЧЕНИЕ
Регулирование магнитных межчастичных взаимодействий позволяет варьировать температуру СПМ-блокировки в достаточно широких пределах. На примере наночастиц ферригирита было показано, что процедура низкотемпературного отжига приводит к увеличению температуры СПМ-блокировки от 28 К (для FH-0h) до 52 К (для FH-24h) по данным dc-намагниченности.
По данным магнитных измерений (статической магнитометрии, ac-восприимчивости) и мессбауэроской спектроскопии получена экспериментальная зависимость времени СПМ-релаксации от температуры. Результат аппроксимации этой зависимости в рамках скейлинговой модели позволил определить значения температуры формирования состояния, подобного спиновому стеклу, и характерные показатели степени zv. В нашем случае эти величины составляют zv = 9.6 и zv = 7.8 при температурах замерзания магнитных моментов Tg = 52.8 К и Tg = 27.6 К для отожженного (FH-24h) и исходного (FH-0h) образцов соответственно. Уменьшение показателя zv объясняется ростом влияния магнитных межчастичных взаимодействий и замедлением СПМ-релаксации.
Работа выполнена в рамках государственного задания Института физики им. Л.В. Киренского ФИЦ КНЦ СО РАН. Синтез биогенного ферригидрита проведен в рамках государственного задания КНЦ СО РАН.
Авторы данной работы заявляют, что у них нет конфликта интересов.
About the authors
Yu. V. Knyazev
Kirensky Institute of Physics - a branch of the Krasnoyarsk Scientific Center of the Siberian Branch of the Russian Academy of Sciences
Author for correspondence.
Email: yuk@iph.krasn.ru
Russian Federation, Krasnoyarsk
D. A. Balaev
Kirensky Institute of Physics - a branch of the Krasnoyarsk Scientific Center of the Siberian Branch of the Russian Academy of Sciences
Email: yuk@iph.krasn.ru
Russian Federation, Krasnoyarsk
S. A. Skorobogatov
Kirensky Institute of Physics - a branch of the Krasnoyarsk Scientific Center of the Siberian Branch of the Russian Academy of Sciences
Email: yuk@iph.krasn.ru
Russian Federation, Krasnoyarsk
D. A. Velikanov
Kirensky Institute of Physics - a branch of the Krasnoyarsk Scientific Center of the Siberian Branch of the Russian Academy of Sciences
Email: yuk@iph.krasn.ru
Russian Federation, Krasnoyarsk
O. A. Bayukov
Kirensky Institute of Physics - a branch of the Krasnoyarsk Scientific Center of the Siberian Branch of the Russian Academy of Sciences
Email: yuk@iph.krasn.ru
Russian Federation, Krasnoyarsk
S. V. Stolyar
Kirensky Institute of Physics - a branch of the Krasnoyarsk Scientific Center of the Siberian Branch of the Russian Academy of Sciences; Krasnoyarsk Scientific Center of the Siberian Branch of the Russian Academy of Sciences
Email: yuk@iph.krasn.ru
Russian Federation, Krasnoyarsk; Krasnoyarsk
V. P. Ladygina
Krasnoyarsk Scientific Center of the Siberian Branch of the Russian Academy of Sciences
Email: yuk@iph.krasn.ru
Russian Federation, Krasnoyarsk
A. A. Krasikov
Kirensky Institute of Physics - a branch of the Krasnoyarsk Scientific Center of the Siberian Branch of the Russian Academy of Sciences
Email: yuk@iph.krasn.ru
Russian Federation, Krasnoyarsk
R. S. Iskhakov
Kirensky Institute of Physics - a branch of the Krasnoyarsk Scientific Center of the Siberian Branch of the Russian Academy of Sciences
Email: yuk@iph.krasn.ru
Russian Federation, Krasnoyarsk
References
- Lee J.H., Kim B., Kim Y. and Kim S.K. Ultra-high rate of temperature increment from superparamagnetic nanoparticles for highly efficient hyperthermia // Sci. Rep. 2021. V. 11. № 1. P. 4969.
- Stolyar S.V., Balaev D.A., Ladygina V.P., Dubrovskiy A.A., Krasikov A.A., Popkov S.I., Bayukov O.A., Knyazev Y.V., Yaroslavtsev R.N., Volochaev M.N., Iskhakov R.S., Dobretsov K.G., Morozov E.V., Falaleev O.V., Inzhevatkin E.V., Kolenchukova O.A. and Chizhova I.A. Bacterial Ferrihydrite Nanoparticles: Preparation, Magnetic Properties, and Application in Medicine // J. Supercond Nov. Magn. 2018. V. 31. № 8. P. 2297–2304.
- Zhang L.Y., Gu H.C., Wang X.M. Magnetite ferrofluid with high specific absorption rate for application in hyperthermia // J. Magn. Magn. Mater. 2007. V. 311. № 1. P. 228–233.
- Tkachenko M.V., Kamzin A.S. Synthesis and properties of hybrid hydroxyapatite–ferrite (Fe3O4) particles for hyperthermia applications // Phys. Solid State. 2016. V. 58. № 4. P. 763–770.
- Kamzin A.S., Das H., Wakiya N. and Valiullin A.A. Magnetic Core/Shell Nanocomposites MgFe2O4/SiO2 for Biomedical Application: Synthesis and Properties // Phys. Solid State. 2018. V. 60. № 9. P. 1752–1761.
- Kamzin A.S., Obaidat I.M., Kozlov V.S., Voronina E.V. Magnetic Nanocomposites Graphene Oxide/Magnetite + Cobalt Ferrite (GrO/Fe3O4 + CoFe2O4) for Magnetic Hyperthermia // Phys. Solid State. 2021. V. 63. № 7. P. 998–1008.
- Wabler M., Zhu W., Hedayati M., Attaluri A., Zhou H., Mihalic J., Geyh A., Deweese T.L., Ivkov R. and Artemov D. Magnetic resonance imaging contrast of iron oxide nanoparticles developed for hyperthermia is dominated by iron content // International Journal of Hyperthermia. 2014. V. 30. № 3. P. 192–200.
- Abbasi A.Z., Gutiérrez L., Del Mercato L.L., Herranz F., Chubykalo-Fesenko O., Veintemillas-Verdaguer S., Parak W.J., Morales M.P., González J.M., Hernando A. and De La Presa P. Magnetic capsules for NMR imaging: Effect of magnetic nanoparticles spatial distribution and aggregation // J. Phys. Chem. C. 2011. V. 115. № 14. P. 6257–6264.
- Allia P., Tiberto P., Coisson M., Chiolerio A., Celegato F., Vinai F., Sangermano M., Suber L. and Marchegiani G. Evidence for magnetic interactions among magnetite nanoparticles dispersed in photoreticulated PEGDA-600 matrix // J. Nanoparticle Research. 2011. V. 13. № 11. P. 5615–5626.
- Rivas Rojas P.C., Tancredi P., Moscoso Londoño O., Knobel M. and Socolovsky L.M. Tuning dipolar magnetic interactions by controlling individual silica coating of iron oxide nanoparticles // J. Magn. Magn. Mater. 2018. V. 451. P. 688–696.
- Yusoff A.H.M., Salimi M.N., Jamlos M.F. A review: Synthetic strategy control of magnetite nanoparticles production // Adv. Nano Res. 2018. V. 6. № 1. P. 1.
- Yakushkin S.S., Balaev D.A., Dubrovskiy A.A., Semenov S.V., Knyazev Y.V., Bayukov O.A., Kirillov V.L., Ivantsov R.D., Edelman I.S. and Martyanov O.N. ε-Fe2O3 nanoparticles embedded in silica xerogel – Magnetic metamaterial // Ceram. Int. 2018. V. 44. № 15. P. 17852–17857.
- Petrov D.A., Lin C.R., Ivantsov R.D., Ovchinnikov S.G., Zharkov S.M., Yurkin G.Y., Velikanov D.A., Knyazev Y.V., Molokeev M.S., Tseng Y.T., Lin E.S., Edelman I.S., Baskakov A.O., Starchikov S.S. and Lyubutin I.S. Characterization of the iron oxide phases formed during the synthesis of core-shell FexOy@C nanoparticles modified with Ag // Nanotechnology. 2020. V. 31. № 39. P. 395703.
- Hong R.Y., Feng B., Chen L.L., Liu G.H., Li H.Z., Zheng Y. and Wei D. G. Synthesis, characterization and MRI application of dextran-coated Fe3O4 magnetic nanoparticles // Biochem. Eng. J. 2008. V. 42. № 3. Р. 290–300.
- Yang Y., Tian Q., Wu S., Li Y., Yang K., Yan Y., Shang L., Li A. and Zhang L. Blue light-triggered Fe2+-release from monodispersed ferrihydrite nanoparticles for cancer iron therapy // Biomaterials. 2021. V. 271. P. 120739.
- Khutsishvili S.S., Aleksandrova G.P., Vakulskaya T.I. and Sukhov B.G. Structural and Magnetic Properties of Biocompatible-Coated Magnetite Nanoparticles for Treating Antianemia // IEEE Trans. Magn. 2021. V. 57. № 10. P. 1–9.
- Mørup S., Madsen D.E., Frandsen C., Bahl C.R.H. and Hansen M.F. Experimental and theoretical studies of nanoparticles of antiferromagnetic materials // J. Phys. Condensed Matter. 2007. V. 19. № 21. P. 213202.
- Hansen M.F., Koch C.B. Magnetic dynamics of weakly and strongly interacting hematite nanoparticles // Phys. Rev. B. Condens. Matter Mater Phys. 2000. V. 62. № 2. P. 1124.
- Bødker F., Hansen M.F., Bender Koch C. and Mørup S. Particle interaction effects in antiferromagnetic NiO nanoparticles // J. Magn. Magn. Mater. 2000. V. 221. № 1–2. P. 32–36.
- Frandsen C., Mørup S. Inter-particle interactions in composites of antiferromagnetic nanoparticles // J. Magn. Magn. Mater. 2003. V. 266. № 1–2. P. 36–48.
- De La Presa P., Luengo Y., Multigner M., Costo R., Morales M.P., Rivero G. and Hernando A. Study of heating efficiency as a function of concentration, size, and applied field in γ-Fe2O3 nanoparticles // J. Phys. Chem. C. 2012. V. 116. № 48. P. 25602–25610.
- Krasikov A.A., Knyazev Y.V, Balaev D. A., Velikanov D. A., Stolyar S.V., Mikhlin Y.L., Yaroslavtsev R.N. and Iskhakov R.S. Interparticle magnetic interactions and magnetic field dependence of superparamagnetic blocking temperature in ferrihydrite nanoparticle powder systems // Physica B: Condens Matter. 2023. V. 660. P. 414901.
- Красиков А.А., Князев Ю.В., Балаев Д.А., Столяр С.В., Ладыгина В.П., Балаев А.Д. и Исхаков Р.С. Магнитные межчастичные взаимодействия и суперпарамагнитная блокировка порошковых систем наночастиц биогенного ферригидрита // ЖЭТФ. 2023. Т. 164. № 6. С. 1026–1038
- Knyazev Yu V., Balaev D.A., Stolyar S.V., Krasikov A. A., Bayukov O.A., Volochaev M.N., Yaroslavtsev R.N., Ladygina V.P., Velikanov D.A. and Iskhakov R.S. Interparticle magnetic interactions in synthetic ferrihydrite: Mössbauer spectroscopy and magnetometry study of the dynamic and static manifestations // J. Alloys. Compd. 2022. V. 889. P. 161623.
- Kuhn L.T., Lefmann K., Bahl C.R.H., Ancona S.N., Lindgård P.-A., Frandsen C., Madsen D.E. and Mørup S. Neutron study of magnetic excitations in 8-nm α-Fe2O3 nanoparticles // Phys. Rev. B. 2006. V. 74. № 18. P. 184406.
- Salvador M., Nicolao L., Figueiredo W. Non-monotonic Behavior of the Blocking Temperature of Interacting Magnetic Nanoparticles // Brazilian J. Phys. 2023. V. 53. № 3. Р. 70
- Popkov S.I., Krasikov A.A., Dubrovskiy A.A., Volochaev M.N., Kirillov V.L., Martyanov O.N. and Balaev D.A. Size effects in the formation of an uncompensated ferromagnetic moment in NiO nanoparticles // J. Appl. Phys. 2019. V. 126. № 10. Р. 103904.
- Popkov S.I., Krasikov A.A., Velikanov D.A., Kirillov V.L., Martyanov O.N. and Balaev D.A. Formation of the magnetic subsystems in antiferromagnetic NiO nanoparticles using the data of magnetic measurements in fields up to 250 kOe // J. Magn. Magn. Mater. Elsevier, 2019. V. 483. P. 21–26.
- Iimori T., Imamoto Y., Uchida N., Kikuchi Y., Honda K., Iwahashi T. and Ouchi Y. Magnetic moment distribution in nanosized antiferromagnetic NiO // J. Appl. Phys. 2020. V. 127. № 2. Р. 023902.
- Balaev D.A., Krasikov A.A., Popkov S.I., Semenov S.V., Volochaev M.N., Velikanov D.A., Kirillov V.L. and Martyanov O.N. Uncompensated magnetic moment and surface and size effects in few-nanometer antiferromagnetic NiO particles // J. Magn. Magn. Mater. 2021. V. 539. Р. 168343.
- Столяр С.В., Николаева Е.Д., Ли О.А., Великанов Д.А., Воротынов А.М., Пьянков В.Ф., Ладыгина В.П., Суханов А.Л., Балаев Д.А. и Исхаков Р.С. Микроволновый нагрев порошков окисленного железа в режиме ферромагнитного резонанса// Материаловедение. 2023. Т. 9. С. 10–14.
- Seehra M.S., Babu V.S., Manivannan A. and Lynn J. W. Neutron scattering and magnetic studies of ferrihydrite nanoparticles // Phys. Rev. B. 2000. V. 61. № 5. P. 3513.
- Knyazev Yu.V., Balaev D.A., Stolyar S.V., Bayukov O.A., Yaroslavtsev R.N., Ladygina V.P., Velikanov D.A. and Iskhakov R.S. Magnetic anisotropy and core-shell structure origin of the biogenic ferrihydrite nanoparticles // J. Alloys. Compd. 2021. V. 851. P. 156753.
- Knyazev Yu.V., Balaev D.A., Yaroslavtsev R.N., Krasikov A.A., Velikanov D.A., Mikhlin Y.L., Volochaev M.N., Bayukov O.A., Stolyar S.V. and Iskhakov R.S. Tuning of the Interparticle interactions in ultrafine ferrihydrite nanoparticles // Adv. Nano Res. 2022. V. 12. № 6. P. 605–616.
- Балаев Д.А., Красиков А.А., Дубровский А.А., Семенов С.В., Баюков О.А., Столяр С.В., Исхаков Р.С., Ладыгина В.П. и Ищенко Л.А. Магнитные свойства и механизм формирования нескомпенсированного магнитного момента антиферромагнитных наночастиц ферригидрита бактериального происхождения // ЖЭТФ. 2014. Т. 146. P. 546–556.
- Балаев Д.А., Красиков А.А., Столяр С.В., Исхаков Р.С., Ладыгина В.П., Ярославцев Р.Н., Баюков О.А., Воротынов А.М., Волочаев М.Н. и Дубровский А.А. Изменение магнитных свойств наноферригидрита в ходе низкотемпературного отжига, обусловленное ростом объема наночастиц // ФТТ. 2016. Т. 58. № 9. C. 1724–1732.
- Velikanov D.A. SQUID magnetometer for investigations of the magnetic properties of materials in the temperature range 4, 2–370 К // Siberian Aerospace Journal. 2013. V. 14. № 2. P. 176–181.
- Landi G.T., Arantes F.R., Cornejo D.R., Bakuzis A.F., Andreu I. and Natividad E. AC susceptibility as a tool to probe the dipolar interaction in magnetic nanoparticles // J. Magn. Magn. Mater. 2017. V. 421. P. 138–151.
- Landi G.T. Role of dipolar interaction in magnetic hyperthermia // Phys. Rev. B. 2014. V. 89. № 1. P. 014403.
- Knyazev Y.V., Balaev D.A., Skorobogatov S.A., Velikanov D.A., Bayukov O.A., Stolyar S.V., Yaroslavtsev R.N. and Iskhakov R. S. Spin dynamics in ensembles of ultrafine ferrihydrite nanoparticles // Phys. Rev. B. 2023. V. 107. № 11. P. 115413.
- Balaev D.A., Stolyar S.V., Knyazev Y.V., Yaroslavtsev R.N., Pankrats A.I., Vorotynov A.M., Krasikov A.A., Velikanov D. A., Bayukov O.A., Ladygina V.P. and Iskhakov R.S. Role of the surface effects and interparticle magnetic interactions in the temperature evolution of magnetic resonance spectra of ferrihydrite nanoparticle ensembles // Results Phys. 2022. V. 35. P. 105340.
- Jefremovas E.M., Alfonso Masa J., de la Fuente Rodríguez M., Rodríguez Fernández J., Espeso J.I., Rojas D.P., García-Prieto A., Fernández-Gubieda M.L. and Fernández Barquín L. Investigating the size and microstrain influence in the magnetic order/disorder state of GdCu2 nanoparticles // Nanomaterials. 2020. V. 10. № 6. P. 1117.
- Djurberg C., Svedlindh P., Nordblad P., Hansen M.F., Bødker F. and Mørup S. Dynamics of an interacting particle system: evidence of critical slowing down // Phys. Rev. Lett. 1997. V. 79. № 25. P. 5154.
- Mørup S., Madsen M.B., Franck J., Villadsen J. and Koch C.J.W. A new interpretation of Mössbauer spectra of microcrystalline goethite: “Super-ferromagnetism” or “super-spin-glass” behaviour? // J. Magn. Magn. Mater. 1983. V. 40. № 1–2. P. 163–174.
- Stolyar S.V., Balaev D.A., Ladygina V.P., Pankrats A.I., Yaroslavtsev R.N., Velikanov D.A. and Iskhakov R.S. Ferromagnetic resonance study of biogenic ferrihydrite nanoparticles: spin-glass state of surface spins // JETP Lett. 2020. V. 111. P. 183–187.
- Nemati Z., Khurshid H., Alonso J., Phan M.H., Mukherjee P. and Srikanth H. From core/shell to hollow Fe/γ-Fe2O3 nanoparticles: evolution of the magnetic behavior // Nanotechnology. 2015. V. 26. № 40. P. 405705.
- Vasilakaki M., Gemenetzi F., Devlin E., Yi D.K., Riduan S.N., Lee S.S., Ying J.Y., Papaefthymiou G.C. and Trohidou K. N. Size effects on the magnetic behavior of γ-Fe2O3 core/SiO2 shell nanoparticle assemblies // J. Magn. Magn. Mater. 2021. V. 522. P. 167570.
- Silva F.G. da, Depeyrot J., Raikher Y.L., Stepanov V.I., Poperechny I.S., Aquino R., Ballon G., Geshev J., Dubois E. and Perzynski R. Exchange-bias and magnetic anisotropy fields in core–shell ferrite nanoparticles // Scientific Reports. Nature Publishing Group UK London. 2021. V. 11. № 1. P. 5474.
- Fisher D.S., Huse D.A. Equilibrium behavior of the spin-glass ordered phase // Phys. Rev. B. 1988. V. 38. № 1. P. 386.
- Mathieu R., Asamitsu A., Kaneko Y., He J.P. and Tokura Y. Eu0.5Sr1.5MnO4: A three-dimensional XY spin glass // Phys. Rev. B. 2005. V. 72. № 1. P. 014436.
- Nair S., Nigam A.K. Critical exponents and the correlation length in the charge exchange manganite spin glass Eu0.5Ba0.5MnO3 // Phys. Rev. B. 2007. V. 75. № 21. P. 214415.
- Kumar A., Senyshyn A., Pandey D. Evidence for cluster spin glass phase with precursor short-range antiferromagnetic correlations in the B-site disordered Ca(Fe1/2Nb1/2)O3 perovskite // Phys. Rev. B. 2019. V. 99. № 21. P. 214425.
- Silva N.J.O., Amaral V.S., Carlos L.D. Relevance of magnetic moment distribution and scaling law methods to study the magnetic behavior of antiferromagnetic nanoparticles: Application to ferritin // Phys. Rev. B. 2005. V. 71. № 18. P. 184408.
- Mørup S., Hansen M.F., Frandsen C. Magnetic interactions between nanoparticles // Beilstein Journal of Nanotechnology. 2010. V. 1. № 1. P. 182–190.
- Nayak S., Ghorai S., Padhan A.M., Hajra S., Svedlindh P. and Murugavel P. Cationic redistribution induced spin-glass and cluster-glass states in spinel ferrite // Phys. Rev. B. 2022. V. 106. № 17. P. 174402.
- Bødker F., Mørup S. Size dependence of the properties of hematite nanoparticles //Europhysics Letters. 2000. V. 52. № 2. P. 217.
Supplementary files






